Sign in to use this feature.

Years

Between: -

Subjects

remove_circle_outline
remove_circle_outline
remove_circle_outline
remove_circle_outline
remove_circle_outline
remove_circle_outline
remove_circle_outline

Journals

Article Types

Countries / Regions

Search Results (7)

Search Parameters:
Keywords = seat design in high-speed trains

Order results
Result details
Results per page
Select all
Export citation of selected articles as:
18 pages, 9923 KB  
Article
Vibration Characteristics and Fatigue Performance of Bogie Frame with Inner Axle Box for High-Speed Trains
by Tao Guo, Bingzhi Chen, Yuedong Wang, Guojie Cai, Maorui Hou and Qi Dong
Machines 2025, 13(11), 1056; https://doi.org/10.3390/machines13111056 - 14 Nov 2025
Viewed by 593
Abstract
With the continuous increase in high-speed train operation speeds, lightweight bogie design has become a key means to enhance dynamic performance, which also increases the risk of structural fatigue. High-frequency wheel–rail excitations are transmitted to the bogie frame and couple with its higher-order [...] Read more.
With the continuous increase in high-speed train operation speeds, lightweight bogie design has become a key means to enhance dynamic performance, which also increases the risk of structural fatigue. High-frequency wheel–rail excitations are transmitted to the bogie frame and couple with its higher-order modes at around 200 Hz, inducing local high-frequency resonance. This coupling markedly increases the stress amplitude within the affected frequency range and accelerates vibration-induced fatigue damage. This study investigates the vibration fatigue characteristics of a bogie frame with an inner axle box under high-speed operation and wheel polygon wear conditions. Using a high-speed wheel–rail interaction test rig, dynamic stresses and the vibration acceleration of the bogie frame are measured under different speeds and polygon orders. Based on modal analysis and vibration fatigue methods, a high-frequency vibration fatigue assessment method for the bogie is developed. Wheel polygon significantly amplifies mid-to-high-frequency vibration energy, and for the bogie frame with an inner axle box, pronounced modal coupling is observed at around 200 Hz. In particular, under the 11th-order polygon condition, the equivalent stress at critical locations such as the traction motor seat weld seam exceeds the fatigue limit, while the effect of the 20th-order polygon is relatively mitigated. The proposed vibration fatigue assessment method provides a theoretical basis for the safe design and operational maintenance of high-speed trains with bogie frames with inner axle boxes. Full article
(This article belongs to the Special Issue Research and Application of Rail Vehicle Technology)
Show Figures

Figure 1

19 pages, 4558 KB  
Article
Study on the Effect of Seatback Recline Angle and Connection Stiffness on Occupant Injury in High-Speed Train Collisions
by Fei Yu, Xu Sang, Honglei Tian, Longxi Liu and Wenbin Wang
Appl. Sci. 2025, 15(19), 10852; https://doi.org/10.3390/app151910852 - 9 Oct 2025
Viewed by 616
Abstract
This study investigates occupant–seat interaction dynamics in high-speed train frontal collisions. A finite element model of a second-class double seat was developed and simulated using LS-DYNA R12.1 software with a Hybrid III dummy, applying trapezoidal and triangular acceleration pulses per European and American [...] Read more.
This study investigates occupant–seat interaction dynamics in high-speed train frontal collisions. A finite element model of a second-class double seat was developed and simulated using LS-DYNA R12.1 software with a Hybrid III dummy, applying trapezoidal and triangular acceleration pulses per European and American standards. The research analyzes the impact of front-row seatback recline angles (0°, 10°, 20°) and seatback-to-base connection stiffness (1000 N/mm to 0 N/mm) on head, neck, chest, and leg injury severity. Results show that a 10° recline provides optimal protection under fixed stiffness. When optimizing both parameters, a 0° recline with approximately 300 N/mm stiffness minimizes composite injury metrics (HIC15, Nij, CTI). However, reducing stiffness at non-zero recline angles increases neck injury risk due to tray table displacement toward the cervical region. These findings emphasize the critical importance of integrated seat design optimization for rail passenger passive safety and highlight the need to mitigate tray table hazards. Full article
Show Figures

Figure 1

18 pages, 4490 KB  
Article
Tandem Neural Network Based Design of Acoustic Metamaterials for Low-Frequency Vibration Reduction in Automobiles
by Jianjiao Deng, Jiawei Wu, Xi Chen, Xinpeng Zhang, Shoukui Li, Yu Song, Jian Wu, Jing Xu, Shiqi Deng and Yudong Wu
Crystals 2025, 15(8), 676; https://doi.org/10.3390/cryst15080676 - 24 Jul 2025
Cited by 1 | Viewed by 1313
Abstract
Automotive NVH (Noise, Vibration, and Harshness) performance significantly impacts driving comfort and traffic safety. Vehicles exhibiting superior NVH characteristics are more likely to achieve consumer acceptance and enhance their competitiveness in the marketplace. In the development of automotive NVH performance, traditional vibration reduction [...] Read more.
Automotive NVH (Noise, Vibration, and Harshness) performance significantly impacts driving comfort and traffic safety. Vehicles exhibiting superior NVH characteristics are more likely to achieve consumer acceptance and enhance their competitiveness in the marketplace. In the development of automotive NVH performance, traditional vibration reduction methods have proven to be mature and widely implemented. However, due to constraints related to size and weight, these methods typically address only high-frequency vibration control. Consequently, they struggle to effectively mitigate vehicle body and component vibration noise at frequencies below 200 Hz. In recent years, acoustic metamaterials (AMMs) have emerged as a promising solution for suppressing low-frequency vibrations. This development offers a novel approach for low-frequency vibration control. Nevertheless, conventional design methodologies for AMMs predominantly rely on empirical knowledge and necessitate continuous parameter adjustments to achieve desired bandgap characteristics—an endeavor that entails extensive calculations and considerable time investment. With advancements in machine learning technology, more efficient design strategies have become feasible. This paper presents a tandem neural network (TNN) specifically developed for the design of AMMs. The trained neural network is capable of deriving both the bandgap characteristics from the design parameters of AMMs as well as deducing requisite design parameters based on specified bandgap targets. Focusing on addressing low-frequency vibrations in the back frame of automobile seats, this method facilitates the determination of necessary AMMs design parameters. Experimental results demonstrate that this approach can effectively guide AMMs designs with both speed and accuracy, and the designed AMMs achieved an impressive vibration attenuation rate of 63.6%. Full article
(This article belongs to the Special Issue Metamaterials and Their Devices, Second Edition)
Show Figures

Figure 1

30 pages, 29156 KB  
Article
Evaluation and Decision of a Seat Color Design Scheme for a High-Speed Train Based on the Practical Color Coordinate System and Hybrid Kansei Engineering
by Xuan-Hui Xie, Yunpeng Xu, Shilin Guo, Hongyang Zhu and Huiran Yan
Systems 2024, 12(8), 316; https://doi.org/10.3390/systems12080316 - 22 Aug 2024
Cited by 4 | Viewed by 2820
Abstract
Color is an important visual element of high-speed train seats, which has a significant impact on passenger travel experience. In order to solve the problem that color design relies on the subjective experience of designers, this study aims to establish an effective evaluation [...] Read more.
Color is an important visual element of high-speed train seats, which has a significant impact on passenger travel experience. In order to solve the problem that color design relies on the subjective experience of designers, this study aims to establish an effective evaluation and decision method for seat color design in a high-speed train based on the Practical Color Coordinate System (PCCS) and hybrid Kansei Engineering. Firstly, we created a series of design schemes based on the typical colors in the PCCS. Secondly, a new hybrid Kansei Engineering system was constructed; in this system, forward Kansei Engineering was constructed with Factor Analysis (FA) and Multidimensional Scaling Analysis (MDS) to analyze the cognitive feature of color sample. The Analytic Hierarchy Process (AHP) and Independent Weight Coefficient Method (IW) were used to calculate comprehensive weights, and backward Kansei Engineering was constructed with the TOPSIS to optimize and evaluate color design schemes. Finally, the design and evaluation methods were illustrated with a case. The results showed that (1) the three main influencing factors of seat color design for high-speed trains included function, aesthetics and experience, and comfort and harmony; two other potential factors included calmness and relaxation. (2) In the PCCS, warm colors have a better esthetic, while cool colors are calmer. Tones with medium brightness and saturation such as It- and Sf-tones are the optimal choice, while the V-tone is not suitable for seat color design. The effectiveness of this method is verified by a case study, which provides a reference for seat color design evaluation and optimization of high-speed trains. Full article
(This article belongs to the Special Issue Value Assessment of Product Service System Design)
Show Figures

Figure 1

19 pages, 22864 KB  
Article
Comfort Assessment and Optimization Based on FE Simulation for High-Speed Train Seats: Comparison with Different Design Parameters
by Shufang Huang, Dayan Sun, Liang Zhang, Jiahao Zhou and Zhihui Wang
Sustainability 2022, 14(22), 15185; https://doi.org/10.3390/su142215185 - 16 Nov 2022
Cited by 7 | Viewed by 3308
Abstract
Nowadays, riding comfort is more significant than before for evaluating the quality of high–speed railways and sitting is the most common posture for its passengers. This study aimed to analyze and optimize the pressure distribution and sitting comfort of second–class seats with different [...] Read more.
Nowadays, riding comfort is more significant than before for evaluating the quality of high–speed railways and sitting is the most common posture for its passengers. This study aimed to analyze and optimize the pressure distribution and sitting comfort of second–class seats with different design parameters. Firstly, 21 pressure features were calculated after the field sitting tests conducted on a CRH Train. The subjective comfort was quantified as a linear combination of 6 pressure features in 21, which were selected using stepwise regression analysis (R2 = 0.684). A seat-human finite element model was established using THUMS for a human body and MAT_57 for the seat foam. Finally, this study analyzed the effects of foam and seat angles on interface pressure distribution and comfort ratings. The set of design parameters with the highest comfort was selected from 12 free combinations. The results show that the seat foam with less stiffness may not improve sitting comfort due to the asymmetry of the seat frame. Moreover, appropriately increasing the stiffness of the cushion and backrest will not lead to a decrease in subjective feelings and the pressure distribution becomes more reasonable as the inclination angle increases within 10 degrees. The final optimization increases the computational comfort of the seat-human model by 6.5 in a −50 to 50 scale. Full article
(This article belongs to the Topic Built Environment and Human Comfort)
Show Figures

Figure 1

23 pages, 3767 KB  
Article
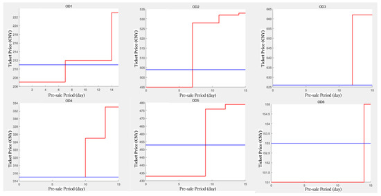
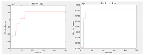
Joint Optimization of Ticket Pricing and Allocation on High-Speed Railway Based on Dynamic Passenger Demand during Pre-Sale Period: A Case Study of Beijing–Shanghai HSR
by Xiaofeng Yin, Di Liu, Wenyu Rong and Zheng Li
Appl. Sci. 2022, 12(19), 10026; https://doi.org/10.3390/app121910026 - 6 Oct 2022
Cited by 12 | Viewed by 3984
Abstract
Against the background of the gradual deepening of China Railway’s market-oriented reform, and in order to improve the revenue and competitiveness for high-speed railway (HSR) passenger transport, this paper studies the joint optimization problem of the high-speed railway ticket pricing and allocation considering [...] Read more.
Against the background of the gradual deepening of China Railway’s market-oriented reform, and in order to improve the revenue and competitiveness for high-speed railway (HSR) passenger transport, this paper studies the joint optimization problem of the high-speed railway ticket pricing and allocation considering the dynamic demand characteristics of passengers during the pre-sale period. Firstly, we use the compound non-homogeneous Poisson process to describe the passengers’ ticket-purchasing process and use the sparse method to simulate the passengers’ ticket demand during the pre-sale period. Secondly, taking the ticket pricing and allocation as the decision variables and considering the full utilization of the train seat capacity, a stochastic nonlinear-programming mathematical model is established with the goal of maximizing the train revenue. A particle swarm algorithm is designed to solve the model. Finally, this study takes the G19 train running on the Beijing–Shanghai HSR in China as a case study to verify the effectiveness of the model and algorithm. The results show that the joint optimization scheme of ticket pricing and allocation considering dynamic demand yields a revenue of CNY 601,881, which increases the revenue by 1.01% with a small adjustment of the price compared with the fixed ticket price and pre-allocation scheme. This study provides scientific support for the decisions made by railway transportation enterprises, which is conducive to further increasing the potential ticket revenue and promoting sustainable development. Full article
Show Figures

Figure 1

18 pages, 4064 KB  
Article
A Multi-Objective Optimization Model for the Intercity Railway Train Operation Plan: The Case of Beijing-Xiong’an ICR
by Zilong Fan, Di Liu, Wenyu Rong and Chengrui Li
Sustainability 2022, 14(14), 8557; https://doi.org/10.3390/su14148557 - 13 Jul 2022
Cited by 3 | Viewed by 2950
Abstract
For intercity railway transportation enterprises, a reasonable intercity train operation plan is not only the foundation of the intercity railway operation organization, but also the key to the sustainable development of the intercity railway (ICR). In this paper, taking into account the economic [...] Read more.
For intercity railway transportation enterprises, a reasonable intercity train operation plan is not only the foundation of the intercity railway operation organization, but also the key to the sustainable development of the intercity railway (ICR). In this paper, taking into account the economic benefits of railway transportation enterprises and the social benefits of passenger travel, an optimization model is established with the intercity railway train operation plan as the research object. The model aims to minimize the operating cost of railway transportation enterprises and minimize the travel time of passengers, and considers constraints such as passenger seat utilization, passenger flow, train frequency, and stops. It is a multi-objective optimization model that accumulates two objectives by introducing the passenger time value coefficient. According to the characteristics of the model, a genetic algorithm is designed to solve the model. Taking the Beijing-Xiong’an Intercity Railway (BXICR) as an example, the “smart business card” of China’s high-speed railway, two scenarios of passenger time value are designed, and the optimized train operation plan is obtained according to the existing OD passenger flow data, which verifies the effectiveness of the model and algorithm. The results show that compared with the original train operation plan, the number of stops per train of the optimized train operation plan under the two passenger time value scenarios decreased by 8.8% and 14.9%, the operating cost of the enterprise decreased by 7.7% and 1.6%, the travel time of passengers decreased by 0.7% and 1.5%, respectively. Under the condition of meeting the demand of passenger flow, the optimized train operation plan can effectively reduce the operating cost of enterprises and save the travel time of passengers, which is conducive to the sustainable development of intercity railways. Full article
(This article belongs to the Topic Sustainable Transportation)
Show Figures

Figure 1

Back to TopTop