Sign in to use this feature.

Years

Between: -

Subjects

remove_circle_outline
remove_circle_outline
remove_circle_outline
remove_circle_outline

Journals

Article Types

Countries / Regions

Search Results (12)

Search Parameters:
Keywords = ribosome hibernation

Order results
Result details
Results per page
Select all
Export citation of selected articles as:
16 pages, 3163 KB  
Article
Chloroplast Hibernation-Promoting Factor PSRP1 Prevents Ribosome Degradation Under Darkness Independently of 100S Dimer Formation
by Kenta Tanaka, Yusuke Yoshizawa, Takashi Oda and Yasuhiko Sekine
Plants 2025, 14(20), 3155; https://doi.org/10.3390/plants14203155 - 13 Oct 2025
Cited by 1 | Viewed by 990
Abstract
Ribosome hibernation is a conserved translational stress response in bacteria, regulated by the hibernation-promoting factor (HPF). Plastid-specific ribosomal protein 1 (PSRP1) is the chloroplast ortholog of bacterial HPF. Although bacterial HPFs have been extensively characterized, both structurally and mechanistically, the physiological roles and [...] Read more.
Ribosome hibernation is a conserved translational stress response in bacteria, regulated by the hibernation-promoting factor (HPF). Plastid-specific ribosomal protein 1 (PSRP1) is the chloroplast ortholog of bacterial HPF. Although bacterial HPFs have been extensively characterized, both structurally and mechanistically, the physiological roles and mechanisms of PSRP1 in plant chloroplasts remain unclear. Here, we aimed to clarify the role of PSRP1 in chloroplast ribosome hibernation by examining its function under dark-stress conditions in the moss Physcomitrium patens. The PSRP1 knockout mutant exhibited moderate but statistically significant growth defects under both long- and short-day conditions compared to those of the wild-type plants. Moreover, the mutant displayed pronounced growth delay when co-cultured with wild-type plants, indicating a competitive disadvantage. Under dark conditions, wild-type plants exhibit increased PSRP1 protein accumulation, whereas the knockout mutant displayed reduction in chloroplast rRNA content. Notably, although PSRP1 is capable of inducing 100S dimers, we detected no chloroplast 100S dimers either in vivo or in vitro, suggesting a chloroplast-specific ribosome protection mechanism distinct from that of bacteria. These findings reveal PSRP1-mediated chloroplast ribosome protection and could provide new insights into plant stress tolerance. Full article
Show Figures

Figure 1

18 pages, 3146 KB  
Article
Quorum-Sensing C12-HSL Drives Antibiotic Resistance Plasmid Transfer via Membrane Remodeling, Oxidative Stress, and RpoS-RMF Crosstalk
by Yang Yang, Ziyan Wu, Li’e Zhu, Zixin Han, Junpeng Li, Qiaoqiao Fang and Guoqiang Zhu
Microorganisms 2025, 13(8), 1837; https://doi.org/10.3390/microorganisms13081837 - 6 Aug 2025
Cited by 1 | Viewed by 1011
Abstract
Antibiotic misuse accelerates resistance dissemination via plasmid conjugation, but quorum sensing (QS) regulatory mechanisms remain undefined. Using Escherichia coli (E. coli) MG1655 conjugation models (RP4-7/EC600 plasmids), we demonstrate that long-chain acyl-homoserine lactones (C10/C12-HSL) enhance transfer frequency by up to 7.7-fold (200 [...] Read more.
Antibiotic misuse accelerates resistance dissemination via plasmid conjugation, but quorum sensing (QS) regulatory mechanisms remain undefined. Using Escherichia coli (E. coli) MG1655 conjugation models (RP4-7/EC600 plasmids), we demonstrate that long-chain acyl-homoserine lactones (C10/C12-HSL) enhance transfer frequency by up to 7.7-fold (200 μM C12-HSL; p < 0.001), while quorum-quenching by sub-inhibitory vanillin suppressed this effect by 95% (p < 0.0001). C12-HSL compromised membrane integrity via ompF upregulation (4-fold; p < 0.01) and conjugative pore assembly (trbBp upregulated by 1.38-fold; p < 0.05), coinciding with ROS accumulation (1.5-fold; p < 0.0001) and SOS response activation (recA upregulated by 1.68-fold; p < 0.001). Crucially, rpoS and rmf deletion mutants reduced conjugation by 65.5% and 55.8%, respectively (p < 0.001), exhibiting attenuated membrane permeability (≤65.5% reduced NPN influx; p < 0.0001), suppressed ROS (≤54% downregulated; p < 0.0001), and abolished transcriptional induction of conjugation/stress genes. Reciprocal RpoS–RMF (ribosomal hibernation factor) crosstalk was essential for AHL responsiveness, with deletions mutually suppressing expression (≤65.9% downregulated; p < 0.05). We establish a hierarchical mechanism wherein long-chain AHLs drive resistance dissemination through integrated membrane restructuring, stress adaptation, and RpoS–RMF-mediated genetic plasticity, positioning QS signaling as a viable target for curbing resistance spread. Full article
(This article belongs to the Section Antimicrobial Agents and Resistance)
Show Figures

Figure 1

15 pages, 2118 KB  
Article
Ribosomal Hibernation Factor Links Quorum-Sensing to Acid Resistance in EHEC
by Yang Yang, Xinyi Zhang, Zixin Han, Junpeng Li, Qiaoqiao Fang and Guoqiang Zhu
Microorganisms 2025, 13(8), 1730; https://doi.org/10.3390/microorganisms13081730 - 24 Jul 2025
Viewed by 702
Abstract
The mechanism by which quorum sensing (QS) enhances stress resistance in enterohemorrhagic Escherichia coli (E. coli) O157:H7 remains unclear. We employed optimized exogenous QS signal N-acyl-homoserinelactones (AHL) (100 μM 3-oxo-C6-AHL, 2 h) in EHEC O157:H7 strain EDL933, which was validated with [...] Read more.
The mechanism by which quorum sensing (QS) enhances stress resistance in enterohemorrhagic Escherichia coli (E. coli) O157:H7 remains unclear. We employed optimized exogenous QS signal N-acyl-homoserinelactones (AHL) (100 μM 3-oxo-C6-AHL, 2 h) in EHEC O157:H7 strain EDL933, which was validated with endogenous yenI-derived AHL, to investigate QS-mediated protection against acid stress. RNA-seq transcriptomics identified key upregulated genes (e.g., rmf). Functional validation using isogenic rmf knockout mutants generated via λ-Red demonstrated abolished stress resistance and pan-stress vulnerability. Mechanistic studies employing qRT-PCR and stress survival assays established Ribosomal Hibernation Factor (RMF) as a non-redundant executor in a SdiA–RMF–RpoS axis, which activates ribosomal dormancy and SOS response to enhance EHEC survival under diverse stresses. For the first time, we define ribosomal hibernation as the core adaptive strategy linking QS to pathogen resilience, providing crucial mechanistic insights for developing EHEC control measures against foodborne threats. Full article
(This article belongs to the Section Molecular Microbiology and Immunology)
Show Figures

Figure 1

11 pages, 3679 KB  
Article
Ribosome Protein Composition Mediates Translation during the Escherichia coli Stationary Phase
by Kaspar Reier, Aivar Liiv and Jaanus Remme
Int. J. Mol. Sci. 2023, 24(4), 3128; https://doi.org/10.3390/ijms24043128 - 4 Feb 2023
Cited by 6 | Viewed by 3329
Abstract
Bacterial ribosomes contain over 50 ribosome core proteins (r-proteins). Tens of non-ribosomal proteins bind to ribosomes to promote various steps of translation or suppress protein synthesis during ribosome hibernation. This study sets out to determine how translation activity is regulated during the prolonged [...] Read more.
Bacterial ribosomes contain over 50 ribosome core proteins (r-proteins). Tens of non-ribosomal proteins bind to ribosomes to promote various steps of translation or suppress protein synthesis during ribosome hibernation. This study sets out to determine how translation activity is regulated during the prolonged stationary phase. Here, we report the protein composition of ribosomes during the stationary phase. According to quantitative mass-spectrometry analysis, ribosome core proteins bL31B and bL36B are present during the late log and first days of the stationary phase and are replaced by corresponding A paralogs later in the prolonged stationary phase. Ribosome hibernation factors Rmf, Hpf, RaiA, and Sra are bound to the ribosomes during the onset and a few first days of the stationary phase when translation is strongly suppressed. In the prolonged stationary phase, a decrease in ribosome concentration is accompanied by an increase in translation and association of translation factors with simultaneous dissociation of ribosome hibernating factors. The dynamics of ribosome-associated proteins partially explain the changes in translation activity during the stationary phase. Full article
Show Figures

Figure 1

15 pages, 3517 KB  
Article
Persistence as a Constituent of a Biocontrol Mechanism (Competition for Nutrients and Niches) in Pseudomonas putida PCL1760
by Aynur Kamilevich Miftakhov, Roderic Gilles Claret Diabankana, Mikhail Frolov, Marat Miratovich Yusupov, Shamil Zavdatovich Validov and Daniel Mawuena Afordoanyi
Microorganisms 2023, 11(1), 19; https://doi.org/10.3390/microorganisms11010019 - 21 Dec 2022
Cited by 13 | Viewed by 2647
Abstract
Competition for nutrients and niches (CNN) is known to be one of the mechanisms for biocontrol mostly exhibited by Pseudomonas strains. Phenotypic and full genome analysis revealed Pseudomonas putida PCL1760 controlling tomato foot and root rot (TFRR) solely through CNN mechanism. Although the [...] Read more.
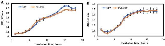
Competition for nutrients and niches (CNN) is known to be one of the mechanisms for biocontrol mostly exhibited by Pseudomonas strains. Phenotypic and full genome analysis revealed Pseudomonas putida PCL1760 controlling tomato foot and root rot (TFRR) solely through CNN mechanism. Although the availability of nutrients and motility are the known conditions for CNN, persistence of bacteria through dormancy by ribosomal hibernation is a key phenomenon to evade both biotic and abiotic stress. To confirm this hypothesis, rsfS gene knockout mutant of PCL1760 (SB9) was first obtained through genetic constructions and compared with the wild type PCL1760. Primarily, relative expression of rsfS in PCL1760 was conducted on tomato seedlings which showed a higher expression at the apical part (1.02 ± 0.18) of the plant roots than the basal (0.41 ± 0.13). The growth curve and persistence in ceftriaxone after the induction of starvation with rifampicin were performed on both strains. Colonization on the tomato root by CFU and qPCR, including biocontrol ability against Fusarium, was also tested. The growth dynamics of both PCL1760 and SB9 in basal and rich medium statistically did not differ (p ≤ 0.05). There was a significant difference observed in persistence showing PCL1760 to be more persistent than its mutant SB9, while SB9 (pJeM2:rsfS) was 221.07 folds more than PCL1760. In colonization and biocontrol ability tests, PCL1760 was dominant over SB9 colonizing and controlling TFRR (in total, 3.044 × 104 to 6.95 × 103 fg/µL and 55.28% to 30.24%, respectively). The deletion of the rsfS gene in PCL1760 reduced the persistence and effectiveness of the strain, suggesting persistence as one important characteristic of the CNN. Full article
(This article belongs to the Section Plant Microbe Interactions)
Show Figures

Figure 1

11 pages, 3751 KB  
Article
Y98 Mutation Leads to the Loss of RsfS Anti-Association Activity in Staphylococcus aureus
by Bulat Fatkhullin, Alexander Golubev, Natalia Garaeva, Shamil Validov, Azat Gabdulkhakov and Marat Yusupov
Int. J. Mol. Sci. 2022, 23(18), 10931; https://doi.org/10.3390/ijms231810931 - 18 Sep 2022
Cited by 3 | Viewed by 2327
Abstract
Ribosomal silencing factor S (RsfS) is a conserved protein that plays a role in the mechanisms of ribosome shutdown and cell survival during starvation. Recent studies demonstrated the involvement of RsfS in the biogenesis of the large ribosomal subunit. RsfS binds to the [...] Read more.
Ribosomal silencing factor S (RsfS) is a conserved protein that plays a role in the mechanisms of ribosome shutdown and cell survival during starvation. Recent studies demonstrated the involvement of RsfS in the biogenesis of the large ribosomal subunit. RsfS binds to the uL14 ribosomal protein on the large ribosomal subunit and prevents its association with the small subunit. Here, we estimated the contribution of RsfS amino acid side chains at the interface between RsfS and uL14 to RsfS anti-association function in Staphylococcus aureus through in vitro experiments: centrifugation in sucrose gradient profiles and an S. aureus cell-free system assay. The detected critical Y98 amino acid on the RsfS surface might become a new potential target for pharmacological drug development and treatment of S. aureus infections. Full article
(This article belongs to the Section Molecular Biology)
Show Figures

Graphical abstract

11 pages, 1372 KB  
Review
Ribosomal Hibernation-Associated Factors in Escherichia coli
by Yasushi Maki and Hideji Yoshida
Microorganisms 2022, 10(1), 33; https://doi.org/10.3390/microorganisms10010033 - 24 Dec 2021
Cited by 15 | Viewed by 6853
Abstract
Bacteria convert active 70S ribosomes to inactive 100S ribosomes to survive under various stress conditions. This state, in which the ribosome loses its translational activity, is known as ribosomal hibernation. In gammaproteobacteria such as Escherichia coli, ribosome modulation factor and hibernation-promoting factor [...] Read more.
Bacteria convert active 70S ribosomes to inactive 100S ribosomes to survive under various stress conditions. This state, in which the ribosome loses its translational activity, is known as ribosomal hibernation. In gammaproteobacteria such as Escherichia coli, ribosome modulation factor and hibernation-promoting factor are involved in forming 100S ribosomes. The expression of ribosome modulation factor is regulated by (p)ppGpp (which is induced by amino acid starvation), cAMP-CRP (which is stimulated by reduced metabolic energy), and transcription factors involved in biofilm formation. This indicates that the formation of 100S ribosomes is an important strategy for bacterial survival under various stress conditions. In recent years, the structures of 100S ribosomes from various bacteria have been reported, enhancing our understanding of the 100S ribosome. Here, we present previous findings on the 100S ribosome and related proteins and describe the stress-response pathways involved in ribosomal hibernation. Full article
(This article belongs to the Special Issue Analysis of Bacterial Ribosomes and Interacting Factors)
Show Figures

Figure 1

20 pages, 3987 KB  
Article
Role of Hibernation Promoting Factor in Ribosomal Protein Stability during Pseudomonas aeruginosa Dormancy
by Sokuntheary Theng, Kerry S. Williamson and Michael J. Franklin
Int. J. Mol. Sci. 2020, 21(24), 9494; https://doi.org/10.3390/ijms21249494 - 14 Dec 2020
Cited by 11 | Viewed by 4458
Abstract
Pseudomonas aeruginosa is an opportunistic pathogen that causes biofilm-associated infections. P. aeruginosa can survive in a dormant state with reduced metabolic activity in nutrient-limited environments, including the interiors of biofilms. When entering dormancy, the bacteria undergo metabolic remodeling, which includes reduced translation and [...] Read more.
Pseudomonas aeruginosa is an opportunistic pathogen that causes biofilm-associated infections. P. aeruginosa can survive in a dormant state with reduced metabolic activity in nutrient-limited environments, including the interiors of biofilms. When entering dormancy, the bacteria undergo metabolic remodeling, which includes reduced translation and degradation of cellular proteins. However, a supply of essential macromolecules, such as ribosomes, are protected from degradation during dormancy. The small ribosome-binding proteins, hibernation promoting factor (HPF) and ribosome modulation factor (RMF), inhibit translation by inducing formation of inactive 70S and 100S ribosome monomers and dimers. The inactivated ribosomes are protected from the initial steps in ribosome degradation, including endonuclease cleavage of the ribosomal RNA (rRNA). Here, we characterized the role of HPF in ribosomal protein (rProtein) stability and degradation during P. aeruginosa nutrient limitation. We determined the effect of the physiological status of P. aeruginosa prior to starvation on its ability to recover from starvation, and on its rRNA and rProtein stability during cell starvation. The results show that the wild-type strain and a stringent response mutant (∆relAspoT strain) maintain high cellular abundances of the rProteins L5 and S13 over the course of eight days of starvation. In contrast, the abundances of L5 and S13 reduce in the ∆hpf mutant cells. The loss of rProteins in the ∆hpf strain is dependent on the physiology of the cells prior to starvation. The greatest rProtein loss occurs when cells are first cultured to stationary phase prior to starvation, with less rProtein loss in the ∆hpf cells that are first cultured to exponential phase or in balanced minimal medium. Regardless of the pre-growth conditions, P. aeruginosa recovery from starvation and the integrity of its rRNA are impaired in the absence of HPF. The results indicate that protein remodeling during P. aeruginosa starvation includes the degradation of rProteins, and that HPF is essential to prevent rProtein loss in starved P. aeruginosa. The results also indicate that HPF is produced throughout cell growth, and that regardless of the cellular physiological status, HPF is required to protect against ribosome loss when the cells subsequently enter starvation phase. Full article
(This article belongs to the Special Issue Bacterial Proteins in Stress Management)
Show Figures

Figure 1

9 pages, 1706 KB  
Article
Functional Analysis of PSRP1, the Chloroplast Homolog of a Cyanobacterial Ribosome Hibernation Factor
by Kevin Swift, Prakitchai Chotewutmontri, Susan Belcher, Rosalind Williams-Carrier and Alice Barkan
Plants 2020, 9(2), 209; https://doi.org/10.3390/plants9020209 - 6 Feb 2020
Cited by 5 | Viewed by 3426
Abstract
Bacterial ribosome hibernation factors sequester ribosomes in an inactive state during the stationary phase and in response to stress. The cyanobacterial ribosome hibernation factor LrtA has been suggested to inactivate ribosomes in the dark and to be important for post-stress survival. In this [...] Read more.
Bacterial ribosome hibernation factors sequester ribosomes in an inactive state during the stationary phase and in response to stress. The cyanobacterial ribosome hibernation factor LrtA has been suggested to inactivate ribosomes in the dark and to be important for post-stress survival. In this study, we addressed the hypothesis that Plastid Specific Ribosomal Protein 1 (PSRP1), the chloroplast-localized LrtA homolog in plants, contributes to the global repression of chloroplast translation that occurs when plants are shifted from light to dark. We found that the abundance of PSRP1 and its association with ribosomes were similar in the light and the dark. Maize mutants lacking PSRP1 were phenotypically normal under standard laboratory growth conditions. Furthermore, the absence of PSRP1 did not alter the distribution of chloroplast ribosomes among monosomes and polysomes in the light or in the dark, and did not affect the light-regulated synthesis of the chloroplast psbA gene product. These results suggest that PSRP1 does not play a significant role in the regulation of chloroplast translation by light. As such, the physiological driving force for the retention of PSRP1 during chloroplast evolution remains unclear. Full article
(This article belongs to the Special Issue Chloroplast RNA Metabolism and Biology)
Show Figures

Figure 1

14 pages, 2189 KB  
Article
Hibernation Leads to Altered Gut Communities in Bumblebee Queens (Bombus terrestris)
by Lien Bosmans, María I. Pozo, Christel Verreth, Sam Crauwels, Felix Wäckers, Hans Jacquemyn and Bart Lievens
Insects 2018, 9(4), 188; https://doi.org/10.3390/insects9040188 - 7 Dec 2018
Cited by 26 | Viewed by 5028
Abstract
Many reptiles, amphibians, mammals, and insects practice some form of hibernation during which their metabolic rate is drastically reduced. This allows them to conserve energy and survive the harsh winter conditions with little or no food. While it can be expected that a [...] Read more.
Many reptiles, amphibians, mammals, and insects practice some form of hibernation during which their metabolic rate is drastically reduced. This allows them to conserve energy and survive the harsh winter conditions with little or no food. While it can be expected that a reduction in host metabolism has a substantial influence on the gut microbial community, little is known about the effects of hibernation on the composition of the microbial gut community, especially for insects. In this study, we assessed and compared the bacterial gut community composition within the midgut and ileum of indoor-reared queens of Bombus terrestris before and after an artificial hibernation period of 16 weeks. Deep sequencing of 16S ribosomal RNA gene amplicons and clustering of sequence reads into operational taxonomic units (OTUs) at a similarity threshold of 97% revealed several bacterial taxa that are known to be strongly associated with corbiculate bees. Bacterial community composition after hibernation compared to before hibernation was characterized by higher OTU richness and evenness, with decreased levels of the core bacteria Gilliamella (Proteobacteria, Orbaceae) and Snodgrassella (Proteobacteria, Neisseriaceae), and increased relative abundance of non-core bacteria, including several psychrophilic and psychrotrophic taxa. Full article
Show Figures

Figure 1

16 pages, 2223 KB  
Article
The C Terminus of the Ribosomal-Associated Protein LrtA Is an Intrinsically Disordered Oligomer
by José L. Neira, A. Marcela Giudici, Felipe Hornos, Arantxa Arbe and Bruno Rizzuti
Int. J. Mol. Sci. 2018, 19(12), 3902; https://doi.org/10.3390/ijms19123902 - 5 Dec 2018
Cited by 2 | Viewed by 3296
Abstract
The 191-residue-long LrtA protein of Synechocystis sp. PCC 6803 is involved in post-stress survival and in stabilizing 70S ribosomal particles. It belongs to the hibernating promoting factor (HPF) family, intervening in protein synthesis. The protein consists of two domains: The N-terminal region (N-LrtA, [...] Read more.
The 191-residue-long LrtA protein of Synechocystis sp. PCC 6803 is involved in post-stress survival and in stabilizing 70S ribosomal particles. It belongs to the hibernating promoting factor (HPF) family, intervening in protein synthesis. The protein consists of two domains: The N-terminal region (N-LrtA, residues 1–101), which is common to all the members of the HPF, and seems to be well-folded; and the C-terminal region (C-LrtA, residues 102–191), which is hypothesized to be disordered. In this work, we studied the conformational preferences of isolated C-LrtA in solution. The protein was disordered, as shown by computational modelling, 1D-1H NMR, steady-state far-UV circular dichroism (CD) and chemical and thermal denaturations followed by fluorescence and far-UV CD. Moreover, at physiological conditions, as indicated by several biochemical and hydrodynamic techniques, isolated C-LrtA intervened in a self-association equilibrium, involving several oligomerization reactions. Thus, C-LrtA was an oligomeric disordered protein. Full article
Show Figures

Graphical abstract

21 pages, 2942 KB  
Article
The Cyanobacterial Ribosomal-Associated Protein LrtA from Synechocystis sp. PCC 6803 Is an Oligomeric Protein in Solution with Chameleonic Sequence Properties
by Lellys M. Contreras, Paz Sevilla, Ana Cámara-Artigas, José G. Hernández-Cifre, Bruno Rizzuti, Francisco J. Florencio, María Isabel Muro-Pastor, José García de la Torre and José L. Neira
Int. J. Mol. Sci. 2018, 19(7), 1857; https://doi.org/10.3390/ijms19071857 - 24 Jun 2018
Cited by 7 | Viewed by 4162
Abstract
The LrtA protein of Synechocystis sp. PCC 6803 intervenes in cyanobacterial post-stress survival and in stabilizing 70S ribosomal particles. It belongs to the hibernating promoting factor (HPF) family of proteins, involved in protein synthesis. In this work, we studied the conformational preferences and [...] Read more.
The LrtA protein of Synechocystis sp. PCC 6803 intervenes in cyanobacterial post-stress survival and in stabilizing 70S ribosomal particles. It belongs to the hibernating promoting factor (HPF) family of proteins, involved in protein synthesis. In this work, we studied the conformational preferences and stability of isolated LrtA in solution. At physiological conditions, as shown by hydrodynamic techniques, LrtA was involved in a self-association equilibrium. As indicated by Nuclear Magnetic Resonance (NMR), circular dichroism (CD) and fluorescence, the protein acquired a folded, native-like conformation between pH 6.0 and 9.0. However, that conformation was not very stable, as suggested by thermal and chemical denaturations followed by CD and fluorescence. Theoretical studies of its highly-charged sequence suggest that LrtA had a Janus sequence, with a context-dependent fold. Our modelling and molecular dynamics (MD) simulations indicate that the protein adopted the same fold observed in other members of the HPF family (β-α-β-β-β-α) at its N-terminal region (residues 1–100), whereas the C terminus (residues 100–197) appeared disordered and collapsed, supporting the overall percentage of overall secondary structure obtained by CD deconvolution. Then, LrtA has a chameleonic sequence and it is the first member of the HPF family involved in a self-association equilibrium, when isolated in solution. Full article
Show Figures

Graphical abstract

Back to TopTop