Sign in to use this feature.

Years

Between: -

Subjects

remove_circle_outline
remove_circle_outline
remove_circle_outline
remove_circle_outline
remove_circle_outline

Journals

Article Types

Countries / Regions

Search Results (8)

Search Parameters:
Keywords = renal perfusion scan

Order results
Result details
Results per page
Select all
Export citation of selected articles as:
15 pages, 19144 KB  
Case Report
Purtscher-like Retinopathy in a Patient with Acute Alcoholic Pancreatitis and a Literature Review
by Vesela Todorova Mitkova-Hristova, Marin Anguelov Atanassov, Yumyut Remzi Idriz and Steffanie Hristova Hristova
Diagnostics 2025, 15(18), 2317; https://doi.org/10.3390/diagnostics15182317 - 12 Sep 2025
Cited by 1 | Viewed by 806
Abstract
Background and Clinical Significance: Purtscher-like retinopathy is a rare occlusive microangiopathy that causes sudden vision loss of varying severity. It presents with diverse retinal findings, such as cotton-wool spots, haemorrhages, and optic disc and macular edema, among others. A key characteristic is [...] Read more.
Background and Clinical Significance: Purtscher-like retinopathy is a rare occlusive microangiopathy that causes sudden vision loss of varying severity. It presents with diverse retinal findings, such as cotton-wool spots, haemorrhages, and optic disc and macular edema, among others. A key characteristic is the absence of trauma. This condition has been observed in patients with acute pancreatitis, renal failure, preeclampsia, HELLP syndrome, childbirth, and other systemic disorders. Case Presentation: A 35-year-old male presented with complaints of seeing spots in front of both eyes, with a duration of ten days following the initiation of treatment for acute alcoholic pancreatitis. On examination, best-corrected visual acuity (BCVA) in both eyes was 5/6. Fundus examination revealed multiple cotton-wool spots and haemorrhages located in the posterior pole and around the optic disc, more pronounced in the left eye, where the optic disc had blurred margins and the macular reflex was absent. Perimetry showed paracentral scotomas, and optical coherence tomography (OCT) revealed thickening and disruption of the inner retinal layers in the papillomacular region of both eyes. Fundus fluorescein angiography demonstrated adequate perfusion of the vascular network, with hypofluorescent areas in the arteriovenous phase, peripapillary and in the papillomacular zone, due to masking by cotton-wool spots and haemorrhages. Treatment included systemic antiplatelet agents, anticoagulants, and vitamins, along with topical non-steroidal anti-inflammatory drugs. Two months after the initial presentation visual acuity improved to 6/6 in both eyes. Follow-up OCT scans showed atrophy of the inner retinal layers corresponding to the previous cotton-wool spot and the areas of reduced light sensitivity on perimetry had decreased in size. Conclusions: Acute pancreatitis is the most common systemic condition associated with the development of Purtscher-like retinopathy. Timely diagnosis and management of the underlying systemic disease are essential for preventing ocular complications. Ophthalmological evaluation is necessary in patients with acute pancreatitis who present with visual symptoms in order to detect this often-overlooked rare condition. Full article
(This article belongs to the Special Issue Diagnosing, Treating, and Preventing Eye Diseases)
Show Figures

Figure 1

13 pages, 1728 KB  
Article
Influence of Aortic Arch Morphology on Renal Perfusion in Patients with Coarctation of the Aorta: An Exploratory Study
by Sigitas Cesna, Augustinas Bielinis, Tadas Zvirblis, Marius Miglinas and Virgilijus Tarutis
Medicina 2024, 60(6), 886; https://doi.org/10.3390/medicina60060886 - 28 May 2024
Cited by 1 | Viewed by 1920
Abstract
Objectives: The configuration of the aortic arch, particularly a Gothic arch shape, in individuals with corrected coarctation of the aorta (CoA) has been associated with a decreased systolic wave amplitude across the arch, which could potentially impair renal perfusion and elevate the [...] Read more.
Objectives: The configuration of the aortic arch, particularly a Gothic arch shape, in individuals with corrected coarctation of the aorta (CoA) has been associated with a decreased systolic wave amplitude across the arch, which could potentially impair renal perfusion and elevate the risk of arterial hypertension. This study aims to explore the relationship between the morphological characteristics of the aortic arch and their impact on renal perfusion in patients with CoA. Methods: Seventy-one subjects with corrected CoA underwent continuous 24 h ambulatory blood pressure monitoring, computed tomography to assess the aortic arch, and renal perfusion scanning. Subjects were stratified into three groups based on the height-to-width (H/W) ratio of their aortic arch: Group 1 with a H/W ratio of <0.65, Group 2 with a H/W ratio between 0.65 and 0.85, and Group 3 with a H/W ratio of >0.85. Results: Groups 1 and 2 (53,78% and 62.63%) presented with a higher hypertension prevalence of elevated blood pressure than Group 3 (38.89%). Notable variations were observed among the subjects in the time to peak perfusion (Tmax) in the left kidney across the groups. Group 1 showed a median Tmax at 0.27, Group 2 at 0.13, and Group 3 at −0.38 (p-value = 0.079). The differences in Tmax for the right kidney followed a similar trend but were not statistically significant (Group 1 at 0.61, Group 2 at 0.22, and Group 3 at 0.11; p-value = 0.229). Conclusions: This study suggests that variations in the aortic arch morphology might not significantly influence renal perfusion in CoA patients. This indicates the potential adaptability of the renal blood flow, which appears to compensate for reduced perfusion, thus minimizing adverse effects on the kidney function. This adaptability suggests an inherent physiological resilience, emphasizing the need for further targeted research to understand the specific interactions and impacts on treatment strategies for CoA. Full article
Show Figures

Figure 1

13 pages, 1781 KB  
Article
Multiparametric Renal Magnetic Resonance Imaging for Prediction and Annual Monitoring of the Progression of Chronic Kidney Disease over Two Years
by Charlotte E. Buchanan, Huda Mahmoud, Eleanor F. Cox, Benjamin L. Prestwich, Rebecca A. Noble, Nicholas M. Selby, Maarten W. Taal and Susan T. Francis
J. Clin. Med. 2023, 12(23), 7282; https://doi.org/10.3390/jcm12237282 - 24 Nov 2023
Cited by 2 | Viewed by 2011
Abstract
Background: Multiparametric renal Magnetic Resonance Imaging (MRI) provides a non-invasive method to assess kidney structure and function, but longitudinal studies are limited. Methods: A total of 22 patients with CKD category G3-4 (estimated glomerular filtration rate (eGFR) 15–59 mL/min/1.73 m2) were [...] Read more.
Background: Multiparametric renal Magnetic Resonance Imaging (MRI) provides a non-invasive method to assess kidney structure and function, but longitudinal studies are limited. Methods: A total of 22 patients with CKD category G3-4 (estimated glomerular filtration rate (eGFR) 15–59 mL/min/1.73 m2) were recruited. Annual 3T multiparametric renal MRI scans were performed, comprising total kidney volume (TKV), longitudinal relaxation time (T1), apparent diffusion coefficient (ADC), Arterial Spin Labelling, and Blood Oxygen Level Dependent relaxation time (T2*), with 15 patients completing a Year 2 scan. CKD progression over 2 years was defined as eGFR_slope ≥ −5 mL/min/1.73 m2/year. Results: At baseline, T1 was higher (cortex p = 0.05, medulla p = 0.03) and cortex perfusion lower (p = 0.015) in participants with subsequent progression versus stable eGFR. A significant decrease in TKV and ADC and an increase in cortex T1 occurred in progressors at Year 1 and Year 2, with a significant decrease in perfusion in progressors only at Year 2. The only decline in the stable group was a reduction in TKV. There was no significant change in cortex or medulla T2* at Year 1 or Year 2 for progressors or stable participants. Conclusion: Lower renal cortex perfusion and higher T1 in the cortex and medulla may predict CKD progression, while renal cortex T1, TKV, and ADC may be useful to monitor progression. This study provides pilot data for future large-scale studies. Full article
(This article belongs to the Special Issue Recent Advances in Kidney Disease Imaging)
Show Figures

Figure 1

10 pages, 1436 KB  
Article
Repeatability of Contrast-Enhanced Ultrasound to Determine Renal Cortical Perfusion
by Shatha J. Almushayt, Alisa Pham, Bethan E. Phillips, John P. Williams, Maarten W. Taal and Nicholas M. Selby
Diagnostics 2022, 12(5), 1293; https://doi.org/10.3390/diagnostics12051293 - 23 May 2022
Cited by 10 | Viewed by 3424
Abstract
Alterations in renal perfusion play a major role in the pathogenesis of renal diseases. Renal contrast-enhanced ultrasound (CEUS) is increasingly applied to quantify renal cortical perfusion and to assess its change over time, but comprehensive assessment of the technique’s repeatability is lacking. Ten [...] Read more.
Alterations in renal perfusion play a major role in the pathogenesis of renal diseases. Renal contrast-enhanced ultrasound (CEUS) is increasingly applied to quantify renal cortical perfusion and to assess its change over time, but comprehensive assessment of the technique’s repeatability is lacking. Ten adults attended two renal CEUS scans within 14 days. In each session, five destruction/reperfusion sequences were captured. One-phase association was performed to derive the following parameters: acoustic index (AI), mean transit time (mTT), perfusion index (PI), and wash-in rate (WiR). Intra-individual and inter-operator (image analysis) repeatability for the perfusion variables were assessed using intra-class correlation (ICC), with the agreement assessed using a Bland–Altman analysis. The 10 adults had a median (IQR) age of 39 years (30–46). Good intra-individual repeatability was found for mTT (ICC: 0.71) and PI (ICC: 0.65). Lower repeatability was found for AI (ICC: 0.50) and WiR (ICC: 0.56). The correlation between the two operators was excellent for all variables: the ICCs were 0.99 for PI, 0.98 for AI, 0.87 for mTT, and 0.83 for WiR. The Bland–Altman analysis showed that the mean biases (± SD) between the two operators were 0.03 ± 0.16 for mTT, 0.005 ± 0.09 for PI, 0.04 ± 0.19 for AI, and −0.02 ± 0.11 for WiR. Full article
(This article belongs to the Topic Medical Image Analysis)
Show Figures

Graphical abstract

22 pages, 1766 KB  
Article
Healthy Kidney Segmentation in the Dce-Mr Images Using a Convolutional Neural Network and Temporal Signal Characteristics
by Artur Klepaczko, Eli Eikefjord and Arvid Lundervold
Sensors 2021, 21(20), 6714; https://doi.org/10.3390/s21206714 - 9 Oct 2021
Cited by 6 | Viewed by 3309
Abstract
Quantification of renal perfusion based on dynamic contrast-enhanced magnetic resonance imaging (DCE-MRI) requires determination of signal intensity time courses in the region of renal parenchyma. Thus, selection of voxels representing the kidney must be accomplished with special care and constitutes one of the [...] Read more.
Quantification of renal perfusion based on dynamic contrast-enhanced magnetic resonance imaging (DCE-MRI) requires determination of signal intensity time courses in the region of renal parenchyma. Thus, selection of voxels representing the kidney must be accomplished with special care and constitutes one of the major technical limitations which hampers wider usage of this technique as a standard clinical routine. Manual segmentation of renal compartments—even if performed by experts—is a common source of decreased repeatability and reproducibility. In this paper, we present a processing framework for the automatic kidney segmentation in DCE-MR images. The framework consists of two stages. Firstly, kidney masks are generated using a convolutional neural network. Then, mask voxels are classified to one of three regions—cortex, medulla, and pelvis–based on DCE-MRI signal intensity time courses. The proposed approach was evaluated on a cohort of 10 healthy volunteers who underwent the DCE-MRI examination. MRI scanning was repeated on two time events within a 10-day interval. For semantic segmentation task we employed a classic U-Net architecture, whereas experiments on voxel classification were performed using three alternative algorithms—support vector machines, logistic regression and extreme gradient boosting trees, among which SVM produced the most accurate results. Both segmentation and classification steps were accomplished by a series of models, each trained separately for a given subject using the data from other participants only. The mean achieved accuracy of the whole kidney segmentation was 94% in terms of IoU coefficient. Cortex, medulla and pelvis were segmented with IoU ranging from 90 to 93% depending on the tissue and body side. The results were also validated by comparing image-derived perfusion parameters with ground truth measurements of glomerular filtration rate (GFR). The repeatability of GFR calculation, as assessed by the coefficient of variation was determined at the level of 14.5 and 17.5% for the left and right kidney, respectively and it improved relative to manual segmentation. Reproduciblity, in turn, was evaluated by measuring agreement between image-derived and iohexol-based GFR values. The estimated absolute mean differences were equal to 9.4 and 12.9 mL/min/1.73 m2 for scanning sessions 1 and 2 and the proposed automated segmentation method. The result for session 2 was comparable with manual segmentation, whereas for session 1 reproducibility in the automatic pipeline was weaker. Full article
(This article belongs to the Collection Artificial Intelligence (AI) in Biomedical Imaging)
Show Figures

Figure 1

12 pages, 3826 KB  
Article
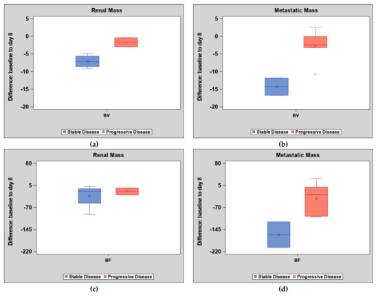
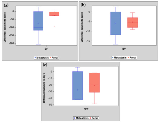
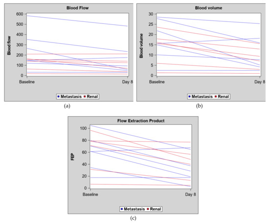
Early Changes in CT Perfusion Parameters: Primary Renal Carcinoma Versus Metastases After Treatment with Targeted Therapy
by Alice C. Fan, Vandana Sundaram, Aya Kino, Heiko Schmiedeskamp, Thomas J. Metzner and Aya Kamaya
Cancers 2019, 11(5), 608; https://doi.org/10.3390/cancers11050608 - 30 Apr 2019
Cited by 7 | Viewed by 3711
Abstract
Computed tomography (CT) perfusion is a novel imaging method to determine tumor perfusion using a low-dose CT technique to measure iodine concentration at multiple time points. We determined if early changes in perfusion differ between primary renal tumors and metastatic tumor sites in [...] Read more.
Computed tomography (CT) perfusion is a novel imaging method to determine tumor perfusion using a low-dose CT technique to measure iodine concentration at multiple time points. We determined if early changes in perfusion differ between primary renal tumors and metastatic tumor sites in patients with renal cell carcinoma (RCC) receiving targeted anti-angiogenic therapy. A total of 10 patients with advanced RCC underwent a CT perfusion scan at treatment baseline and at one week after initiating treatment. Perfusion measurements included blood volume (BV), blood flow (BF), and flow extraction product (FEP) in a total of 13 lesions (six primary RCC tumors, seven RCC metastases). Changes between baseline and week 1 were compared between tumor locations: primary kidney tumors vs metastases. Metastatic lesions had a greater decrease in BF (average BF difference ± standard deviation (SD): −75.0 mL/100 mL/min ± 81) compared to primary kidney masses (−25.5 mL/100 mL/min ± 35). Metastatic tumors had a wider variation of change in BF, BV and FEP measures compared to primary renal tumors. Tumor diameters showed little change after one week, but early perfusion changes are evident, especially in metastatic lesions compared to primary lesions. Future studies are needed to determine if these changes can predict which patients are benefiting from targeted therapy. Full article
Show Figures

Figure 1

10 pages, 2057 KB  
Article
Evaluation of 2D Imaging Schemes for Pulsed Arterial Spin Labeling of the Human Kidney Cortex
by Charlotte E. Buchanan, Eleanor F. Cox and Susan T. Francis
Diagnostics 2018, 8(3), 43; https://doi.org/10.3390/diagnostics8030043 - 28 Jun 2018
Cited by 14 | Viewed by 5976
Abstract
A number of imaging readout schemes are proposed for renal arterial spin labeling (ASL) to quantify kidney cortex perfusion, including gradient echo-based methods of balanced fast field echo (bFFE) and gradient-echo echo-planar imaging (GE-EPI), or spin echo-based schemes of spin-echo echo-planar imaging (SE-EPI) [...] Read more.
A number of imaging readout schemes are proposed for renal arterial spin labeling (ASL) to quantify kidney cortex perfusion, including gradient echo-based methods of balanced fast field echo (bFFE) and gradient-echo echo-planar imaging (GE-EPI), or spin echo-based schemes of spin-echo echo-planar imaging (SE-EPI) and turbo spin-echo (TSE). Here, we compare these two-dimensional (2D) imaging schemes to evaluate the optimal imaging scheme for pulsed ASL (PASL) assessment of human kidney cortex perfusion at 3 T. Ten healthy volunteers with normal renal function were scanned using each 2D multi-slice imaging scheme, in combination with a respiratory triggered flow-sensitive alternating inversion recovery (FAIR) ASL scheme on a 3 T Philips Achieva scanner. All volunteers returned for a second identical scan session within two weeks of the first scan session. Comparisons were made between the imaging schemes in terms of perfusion-weighted image (PWI) signal-to-noise ratio (SNR) and perfusion quantification, temporal SNR (tSNR), spatial coverage, and repeatability. For each imaging scheme, the renal cortex perfusion was calculated (bFFE: 276 ± 29 mL/100g/min, GE-EPI: 222 ± 18 mL/100g/min, SE-EPI: 201 ± 36 mL/100g/min, and TSE: 200 ± 20 mL/100g/min). Perfusion was found to be higher for GE-based readouts when compared with SE-based readouts, with significantly higher measured perfusion for the bFFE readout when compared with all other schemes (p < 0.05), attributed to the greater vascular signal present. Despite the PWI-SNR being significantly lower for SE-EPI when compared with all other schemes (p < 0.05), the SE-EPI readout gave the highest tSNR, and was found to be the most reproducible scheme for the assessment of kidney cortex, with a coefficient of variation (CoV) of 17.2%, whilst minimizing variability of the perfusion-weighted signal across slices for whole-kidney perfusion assessment. For the assessment of kidney cortex perfusion using 2D readout schemes, SE-EPI provides optimal tSNR, minimal variability across slices, and repeatable data acquired in a short scan time with low specific absorption rate. Full article
(This article belongs to the Special Issue Functional and Molecular Imaging of Kidney and Urogenital Disease)
Show Figures

Figure 1

7 pages, 2616 KB  
Article
Correction of Gradient Nonlinearity Bias in Quantitative Diffusion Parameters of Renal Tissue with Intravoxel Incoherent Motion
by Dariya I. Malyarenko, Yuxi Pang, Julien Senegas, Marko K. Ivancevic, Brian D. Ross and Thomas L. Chenevert
Tomography 2015, 1(2), 145-151; https://doi.org/10.18383/j.tom.2015.00160 - 1 Dec 2015
Cited by 8 | Viewed by 974
Abstract
Spatially nonuniform diffusion weighting bias as a result of gradient nonlinearity (GNL) causes substantial errors in apparent diffusion coefficient (ADC) maps for anatomical regions imaged distant from the magnet isocenter. Our previously described approach effectively removed spatial ADC bias from 3 orthogonal diffusion-weighted [...] Read more.
Spatially nonuniform diffusion weighting bias as a result of gradient nonlinearity (GNL) causes substantial errors in apparent diffusion coefficient (ADC) maps for anatomical regions imaged distant from the magnet isocenter. Our previously described approach effectively removed spatial ADC bias from 3 orthogonal diffusion-weighted imaging (DWI) measurements for monoexponential media of arbitrary anisotropy. This work evaluates correction feasibility and performance for quantitative diffusion parameters of the 2-component intravoxel incoherent motion (IVIM) model for well-perfused and nearly isotropic renal tissue. Sagittal kidney DWI scans of a volunteer were performed on a clinical 3T magnetic resonance imaging scanner near isocenter and offset superiorly. Spatially nonuniform diffusion weighting caused by GNL resulted both in shifting and broadening of perfusion-suppressed ADC histograms for off-center DWI relative to unbiased measurements close to the isocenter. Direction-average diffusion weighting bias correctors were computed based on the known gradient design provided by the vendor. The computed bias maps were empirically confirmed by coronal DWI measurements for an isotropic gel-flood phantom. Both phantom and renal tissue ADC bias for off-center measurements was effectively removed by applying precomputed 3D correction maps. Comparable ADC accuracy was achieved for corrections of both b maps and DWI intensities in the presence of IVIM perfusion. No significant bias impact was observed for the IVIM perfusion fraction. Full article
Back to TopTop