Sign in to use this feature.

Years

Between: -

Subjects

remove_circle_outline
remove_circle_outline
remove_circle_outline
remove_circle_outline
remove_circle_outline

Journals

Article Types

Countries / Regions

Search Results (4)

Search Parameters:
Keywords = raw earth dwelling

Order results
Result details
Results per page
Select all
Export citation of selected articles as:
20 pages, 7314 KB  
Article
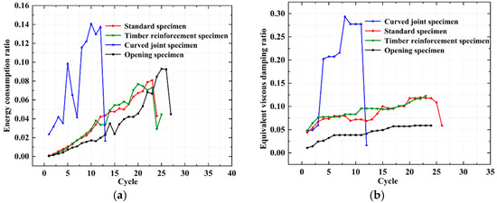
Experimental Study on Seismic Performance of Rammed Earth and Rubble Masonry Walls
by Yang Liu, Zhenchao Zhou, Ming Chang and Zuan Pei
Buildings 2026, 16(1), 149; https://doi.org/10.3390/buildings16010149 - 29 Dec 2025
Viewed by 210
Abstract
Rammed earth and rubble masonry walls are constructed using raw stones as aggregate and native soil as binding material. To investigate the impact of different configurations on the seismic performance of rammed earth and rubble masonry wall, four wall specimens were subjected to [...] Read more.
Rammed earth and rubble masonry walls are constructed using raw stones as aggregate and native soil as binding material. To investigate the impact of different configurations on the seismic performance of rammed earth and rubble masonry wall, four wall specimens were subjected to quasi-static testing. Through comparative analysis of hysteresis curves, skeleton curves, stiffness degradation curves, and energy dissipation capacity, the failure modes and seismic performance of the walls were elucidated. Research indicates that under horizontal low-cycle cyclic loading, rammed earth and rubble masonry walls undergo three stages of failure: microcrack initiation and propagation, macrocrack formation and local failure, and ultimate collapse. The arched counter-arch joint wall exhibits the highest energy dissipation capacity and maximum shear bearing capacity, demonstrating an 18.7% improvement over the standard wall. Timber reinforcement walls exhibited lower energy dissipation capacity than curved joint walls but higher than standard walls, with shear bearing capacity being 1.3% greater than standard walls. The opening wall demonstrated the poorest energy dissipation capacity, with shear bearing capacity being 35% lower than standard walls and having the weakest seismic performance. These findings provide theoretical support for optimizing the seismic design of traditional rammed earth and rubble masonry dwellings. Full article
Show Figures

Figure 1

21 pages, 16684 KB  
Article
Vernacular Wisdom in Hani Ethnic Courtyard Houses: Architectural Heritage and Construction Systems in the Samaba Terraced Landscape
by Ling Wang, Dayu Yang, Yaoning Yang, Yuliang Cui and Hongshuo Pan
Buildings 2025, 15(20), 3710; https://doi.org/10.3390/buildings15203710 - 15 Oct 2025
Viewed by 834
Abstract
The terraced fields of Samaba in Honghe County are one of the key protected sites within the globally important agricultural heritage systems. This study focuses on the traditional courtyard dwellings of the Hani people in this area, proposing that their architectural practices reflect [...] Read more.
The terraced fields of Samaba in Honghe County are one of the key protected sites within the globally important agricultural heritage systems. This study focuses on the traditional courtyard dwellings of the Hani people in this area, proposing that their architectural practices reflect a profound and sustainable adaptation to the local environment and socio-agricultural systems. Through field investigations, architectural surveys, and in-depth interviews with Hani Bema (ritual specialists), artisans, and residents, this research analyzes the settlement characteristics and distribution of the area, the spatial features of traditional Hani courtyard dwellings, three typical floor plans, and the construction techniques of key components such as wooden structures, earthen walls, and roofs. The findings indicate that the use of local materials (e.g., wood, raw earth, stone) and their specific construction methods are inherently responsive to the regional climate, forming a sustainable residential model that spans material acquisition, construction, and maintenance. Crucially, the study reveals a strong isomorphic relationship between the material and energy cycles involved in Hani settlement construction and those of terrace farming activities. We argue that the sustainability of villages and architecture is essential for the sustainability of the entire terrace agricultural ecosystem. By elucidating the wisdom of Hani dwellings in terms of materials, construction, and maintenance, this study provides significant insights for discussions on sustainable vernacular architecture and offers valuable perspectives for its green renewal and contemporary adaptation. Full article
(This article belongs to the Section Architectural Design, Urban Science, and Real Estate)
Show Figures

Figure 1

22 pages, 13274 KB  
Article
The Impact of Traditional Raw Earth Dwellings’ Envelope Retrofitting on Energy Saving: A Case Study from Zhushan Village, in West of Hunan, China
by Liang Xie, Zhe Li, Jiayu Li, Guanglei Yang, Jishui Jiang, Zhezheng Liu and Shuyuan Tong
Atmosphere 2022, 13(10), 1537; https://doi.org/10.3390/atmos13101537 - 20 Sep 2022
Cited by 8 | Viewed by 2605
Abstract
This study presents the CO2 emissions and energy performance of traditional raw earth dwellings’ envelope retrofitting located in the Zhushan Village, western Hunan Province, China. The numerical simulations of heating energy consumption on the building models were performed using DesignBuilder, an energy [...] Read more.
This study presents the CO2 emissions and energy performance of traditional raw earth dwellings’ envelope retrofitting located in the Zhushan Village, western Hunan Province, China. The numerical simulations of heating energy consumption on the building models were performed using DesignBuilder, an energy simulation program. The energy performance was evaluated using the indexes (including energy consumption, CO2 emissions, heat balance analysis, and air temperature profiles). The detailed evaluation process of the energy performance is presented as follows. First, the current situation was analyzed through the field research, and two typical building models were built. Second, all schemes were simulated using the DesignBuilder software. Subsequently, the four main retrofit measures (replacing the external insulation windows, setting the external wall insulation layer, setting the roof insulation layer, and setting the ceiling insulation layer) were analyzed, respectively. The optimal parameters of the respective retrofit measure were calculated. Lastly, a multi-objective optimization analysis was conducted on all retrofit plans using the coupling method. In the winter, the results indicated that the “I-shape” dwelling heat consumption of the enclosure structure was reduced by 12.8 kW·h/m2, and the CO2 emissions were reduced by 882.8 kg. While in the benchmark building, the results showed that the “L-shape” dwelling heat consumption of the enclosure structure was decreased by 13.27 kW·h/m2, and the CO2 emissions were reduced by 894.4 kg. As the renewal scheme has been progressively implemented, the whole Zhushan Village will save energy by 11.2 × 104 kW·h after the insulation renewal of the envelope structure is completed. Full article
(This article belongs to the Special Issue Numerical Simulations of Building Thermal and Indoor Air Quality)
Show Figures

Figure 1

19 pages, 18375 KB  
Article
Climate Adaptability Based on Indoor Physical Environment of Traditional Dwelling in North Dong Areas, China
by Fupeng Zhang, Lei Shi, Simian Liu, Jiaqi Shi, Qian Ma and Jinyue Zhang
Sustainability 2022, 14(2), 850; https://doi.org/10.3390/su14020850 - 12 Jan 2022
Cited by 18 | Viewed by 3293
Abstract
In this study, climate-responsive solutions used in traditional dwellings in the North Dong region of China were identified, and the impact of these solutions on the indoor physical environment and energy consumption was analysed. First, over the course of a year, sample dwellings [...] Read more.
In this study, climate-responsive solutions used in traditional dwellings in the North Dong region of China were identified, and the impact of these solutions on the indoor physical environment and energy consumption was analysed. First, over the course of a year, sample dwellings and short-term on-site indoor physical environment measurements were selected from the local climate. Then, three building materials, namely, brick, wood, and rammed earth, and different structural forms were selected to simulate the indoor thermal environment, ventilation conditions, and energy consumption of traditional dwellings. The study also summarised the advantages and disadvantages of the physical environment of traditional dwellings in response to climate characteristics. The results showed that the fluctuation in indoor temperature and humidity of typical dwellings in the North Dong region is approximately 5 °C, which is 14% lower than that outdoors. Traditional Dong dwellings have good indoor conditioning abilities. Traditional wood structure dwellings can save 26% and 39% of energy per year compared with those of raw earth and brick wood, respectively. Traditional dwellings in the Dong region are well adapted to the local climate in terms of form, materials, and structure and contribute to climate-responsive buildings in the harsh climatic conditions of the region. The solutions used in these dwellings can also be used to design new climate-responsive buildings; however, the indoor thermal comfort is not entirely satisfactory. We proposed an effective adaptation strategy for Dong traditional dwellings. Full article
Show Figures

Figure 1

Back to TopTop