Sign in to use this feature.

Years

Between: -

Subjects

remove_circle_outline
remove_circle_outline
remove_circle_outline
remove_circle_outline
remove_circle_outline
remove_circle_outline
remove_circle_outline
remove_circle_outline
remove_circle_outline

Journals

remove_circle_outline
remove_circle_outline
remove_circle_outline
remove_circle_outline
remove_circle_outline
remove_circle_outline
remove_circle_outline
remove_circle_outline
remove_circle_outline

Article Types

Countries / Regions

remove_circle_outline
remove_circle_outline
remove_circle_outline
remove_circle_outline

Search Results (644)

Search Parameters:
Keywords = postural angles

Order results
Result details
Results per page
Select all
Export citation of selected articles as:
13 pages, 1503 KB  
Article
Craniocervical Posture and Skeletal Malocclusion in Adolescents: A Cross-Sectional Study
by Hande Ertem Arslan, Nuri Can Tanrısever and Mehmet Okan Akçam
J. Clin. Med. 2026, 15(5), 1974; https://doi.org/10.3390/jcm15051974 - 4 Mar 2026
Abstract
Objective: This study aimed to evaluate the relationship between craniocervical posture and skeletal malocclusion patterns in adolescents. Methods: This cross-sectional study included 80 adolescents aged 10–15 years diagnosed with skeletal Class I, Class II Division 1, Class II Division 2, or Class III [...] Read more.
Objective: This study aimed to evaluate the relationship between craniocervical posture and skeletal malocclusion patterns in adolescents. Methods: This cross-sectional study included 80 adolescents aged 10–15 years diagnosed with skeletal Class I, Class II Division 1, Class II Division 2, or Class III malocclusion. Postural parameters—Sagittal Head Angle (SHA), Craniocervical Angle (CA), and Shoulder Angle (SA)—were assessed using standardized sagittal-plane digital photographs obtained in Natural Head Position. Skeletal classification and cephalometric measurements (SNA°, SNB°, ANB°, GoGn/SN°, and Occlusal Plane/SN°) were determined from lateral cephalometric radiographs. Intergroup comparisons were performed using the Kruskal–Wallis test, and posture–skeletal relationships were evaluated using Pearson and Spearman correlation analyses (p < 0.05). Results: No significant differences were observed in postural parameters among skeletal malocclusion classes (p > 0.05). In the overall sample, SHA showed weak negative correlations with SNA° (r = −0.284, p < 0.01) and SNB° (r = −0.381, p < 0.01), and a weak positive correlation with Occlusal Plane/SN° (r = 0.235, p < 0.05). No significant associations were identified for CA or SA. Subgroup analysis demonstrated that these associations were present exclusively in the Class II Division 2 group, where SHA showed strong negative correlations with both SNA° (r = −0.653, p < 0.01) and SNB° (r = −0.605, p < 0.01). Conclusions: Sagittal head posture may show phenotype-specific associations during adolescence, particularly in Class II Division 2 malocclusion. Incorporating postural assessment into orthodontic evaluation may enhance diagnostic understanding during growth. Full article
(This article belongs to the Section Dentistry, Oral Surgery and Oral Medicine)
Show Figures

Figure 1

15 pages, 1656 KB  
Article
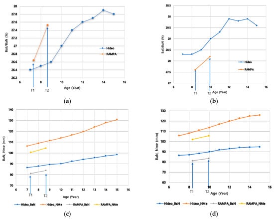
RAMPA Therapy: Effects on Craniofacial Growth Assessed by Coben Analysis and Statistical Evaluation
by Yasushi Mitani, Yuko Okai-Kojima, Takahisa Shimazaki, Mohammad Moshfeghi, Morio Tonogi, Shouhei Ogisawa, Bumkyoo Choi and Mitsuru Motoyoshi
J. Clin. Med. 2026, 15(5), 1882; https://doi.org/10.3390/jcm15051882 - 1 Mar 2026
Viewed by 160
Abstract
Objective: This retrospective comparative cohort study investigated the craniofacial growth effects of the RAMPA (Right Angle Maxillary Protraction Appliance) system. The system aims to protract the maxilla in an anterosuperior direction to address maxillary hypoplasia and skeletal Class III malocclusion, potentially mitigating the [...] Read more.
Objective: This retrospective comparative cohort study investigated the craniofacial growth effects of the RAMPA (Right Angle Maxillary Protraction Appliance) system. The system aims to protract the maxilla in an anterosuperior direction to address maxillary hypoplasia and skeletal Class III malocclusion, potentially mitigating the posteroinferior displacement often associated with conventional orthopedic approaches. Materials and Methods: Craniofacial measurements were analyzed before (T1) and after (T2) RAMPA treatment in 30 growing patients (17 males, mean age 7.32 years; 13 females, mean age 8.34 years). Coben analysis was utilized to quantitatively evaluate coordinate relationships and proportional changes based on the Frankfurt Horizontal plane. Statistical significance was determined using paired t-tests or Wilcoxon signed-rank tests (two-sided, α = 0.05) without adjustment for multiple comparisons due to the exploratory nature of the study. Results: RAMPA treatment was associated with significant increases in facial depth (Ba-N) and anterior facial height (N-Me) in both sexes. Specifically, facial depth increased by an average of 2.65 mm in males (p = 0.001) and 2.18 mm in females (p = 0.007). Female patients showed a significant increase in the maxillary depth ratio (Ptm-A/Ba-N), while males exhibited a significant decrease in the Gonial Angle (avg. 1.47° decrease), suggesting anterior mandibular rotation. Conclusions: RAMPA treatment effectively promoted anterosuperior craniofacial growth and induced favorable mandibular rotation in this cohort. These findings suggest the system has potential clinical value for improving craniofacial balance in skeletal Class III malocclusion. While improved cervical posture is a theoretical benefit of such remodeling, systemic outcomes were not directly measured in this study. Full article
(This article belongs to the Section Dentistry, Oral Surgery and Oral Medicine)
Show Figures

Figure 1

18 pages, 2683 KB  
Article
Research on Coordinated Longitudinal–Vertical Control of Articulated Mining Trucks Using Extension Theory
by Xinying Li, Chongchong Li, Qing Ye and Renkai Ding
Machines 2026, 14(3), 266; https://doi.org/10.3390/machines14030266 - 26 Feb 2026
Viewed by 174
Abstract
This research addresses the coupling issue between speed tracking and vertical posture in articulated unmanned mining trucks within unstructured environments. An extension theory-based coordinated control strategy is proposed, incorporating both articulation joint safety and vehicle stability. The control framework employs extension theory to [...] Read more.
This research addresses the coupling issue between speed tracking and vertical posture in articulated unmanned mining trucks within unstructured environments. An extension theory-based coordinated control strategy is proposed, incorporating both articulation joint safety and vehicle stability. The control framework employs extension theory to classify operational modes based on articulation angle and velocity deviation. For longitudinal motion, active disturbance rejection control (ADRC) is adopted to mitigate the influence of varying payload mass and road slope on speed tracking performance. For vertical dynamics, a soft actor–critic (SAC) algorithm regulates active suspension to improve ride comfort. Both simulations and hardware-in-the-loop testing results demonstrate the superiority of the proposed strategy: coordinated control maintains speed tracking error below 4%, reduces body acceleration by 16.1%, 11.9%, and 17.5%, and improves articulation angle oscillations by 12.6%, 14.6%, and 15.1% across scenarios, confirming the strategy’s enhanced performance over conventional single-loop control approaches. Full article
(This article belongs to the Section Vehicle Engineering)
Show Figures

Figure 1

10 pages, 527 KB  
Article
Kinematic Characteristics and Reliability of Selective Toe Extension Tasks in Young and Older Adults
by Seiya Abe, Hitoshi Koda, Takashi Yasuda and Noriyuki Kida
J. Funct. Morphol. Kinesiol. 2026, 11(1), 93; https://doi.org/10.3390/jfmk11010093 - 26 Feb 2026
Viewed by 120
Abstract
Background: Toe motor control contributes to postural stability and walking, yet clinical assessments have focused on toe-grip strength. The kinematics of selective toe extension under conditions requiring non-target toes to remain in contact with the ground remain poorly quantified. The aim of [...] Read more.
Background: Toe motor control contributes to postural stability and walking, yet clinical assessments have focused on toe-grip strength. The kinematics of selective toe extension under conditions requiring non-target toes to remain in contact with the ground remain poorly quantified. The aim of the present study was to characterize the kinematics and reliability of selective toe extension tasks using three-dimensional motion capture and to compare young and older adults. Methods: A total of 40 participants (20 young adults and 20 older adults) performed three tasks twice: all-toe extension, selective hallux extension, and selective four-toe extension (toes 2–5), with non-target toes required to remain in contact with the ground during selective tasks. Extension angles of the hallux, second, and fifth toes were quantified, and toe-grip strength was measured. Reliability was assessed using the intraclass correlation coefficient (ICC(1,2)). Toe angles were analyzed using two-way analysis of variance (group × condition, including resting and task conditions). Results: Toe angles demonstrated moderate to excellent reliability (ICC(1,2) = 0.81–0.95; 95% CI: 0.637–0.974). Compared with all-toe extension, both selective tasks showed reduced extension ranges, indicating an incomplete extension phenomenon in both groups. Significant group × condition interactions were observed for the hallux and second toes. During selective tasks, older adults exhibited greater unintended extension of non-target toes. Toe-grip strength was significantly lower in older adults (p < 0.001, Cohen’s d = 2.51). Conclusions: Selective toe extension tasks provide reliable kinematic indices of inter-toe motor control by quantifying incomplete extension and associated movements. Older adults showed greater associated movements under ground-contact constraints, suggesting age-related declines in motor coordination and possible reductions in toe flexor strength. Full article
(This article belongs to the Section Kinesiology and Biomechanics)
Show Figures

Figure 1

16 pages, 1303 KB  
Article
Sagittal Posture Parameters of the Spine and Exposure to Awkward Postures in Mattress Manufacture Workers: An Analytical Cross-Sectional Study
by Sergio Hijazo-Larrosa, María Orosia Lucha-López, Sofía Monti-Ballano, Eva Barrio-Ollero, César Hidalgo-García, Begoña Martínez-Jarreta, Lucía Vicente-Pina and José Miguel Tricás-Moreno
J. Funct. Morphol. Kinesiol. 2026, 11(1), 87; https://doi.org/10.3390/jfmk11010087 - 20 Feb 2026
Viewed by 221
Abstract
Background: Awkward postures are among the most prevalent ergonomic risk factors in occupational environments, including industrial settings. Conventional ergonomic risk assessments rarely address the relationship between sustained awkward postures and alterations in sagittal spinal curvatures. The primary objective of this study was to [...] Read more.
Background: Awkward postures are among the most prevalent ergonomic risk factors in occupational environments, including industrial settings. Conventional ergonomic risk assessments rarely address the relationship between sustained awkward postures and alterations in sagittal spinal curvatures. The primary objective of this study was to analyze the association between sagittal spinal posture parameters and exposure to awkward postures in male workers from the mattress manufacturing industry. The potential confounding effects of age, job seniority, body mass index (BMI), and physical activity level were also examined. Methods: An analytical cross-sectional study was conducted. Data collected included age, job seniority, anthropometric variables, and physical activity level. Sagittal spinal posture parameters—head alignment, thoracic kyphotic curvature, lumbar lordotic curvature, and pelvic tilt—were assessed using photogrammetry. Exposure to awkward postures was recorded according to occupational health surveillance criteria. Results: A total of 116 male workers were randomly selected. BMI showed a significant negative association with head alignment (p = 0.001), with a medium effect size (η2 = 0.090). Lower BMI values (β = −0.517) were observed in association with a more posterior head position. In addition, participants not exposed to awkward postures presented, on average, a 6.479° lower thoracic kyphotic curvature angle compared with exposed workers (p = 0.050), indicating a greater kyphotic curvature among those exposed. Conclusions: In this sample, lower BMI was associated with a more posterior head position and improved alignment with the upper trunk. Furthermore, exposure to awkward postures was related to a modest increase in thoracic kyphotic curvature, suggesting postural adaptations to occupational demands. Full article
Show Figures

Figure 1

13 pages, 2109 KB  
Article
Assessment of a Passive Exoskeleton for Neck and Lower Back Support: A Task Study on Muscle Activity and User Perceived Exertion
by Niromand Jasimi Zindashti, Negar Riahi, Linda Miller, Mahdi Tavakoli, Hossein Rouhani and Ali Golabchi
Sensors 2026, 26(4), 1354; https://doi.org/10.3390/s26041354 - 20 Feb 2026
Viewed by 372
Abstract
Musculoskeletal disorders, particularly in the neck and back, are prevalent across various professions, stemming from prolonged static postures and awkward neck flexions. This study investigated the efficacy of a passive exoskeleton, designed to alleviate musculoskeletal neck and back strain, in a simulated neck [...] Read more.
Musculoskeletal disorders, particularly in the neck and back, are prevalent across various professions, stemming from prolonged static postures and awkward neck flexions. This study investigated the efficacy of a passive exoskeleton, designed to alleviate musculoskeletal neck and back strain, in a simulated neck flexion task. Ten participants performed tasks involving neck flexion at angles of 15°, 30°, 45°, and 60°, both with and without the exoskeleton. Additionally, the impact of using a headlight was evaluated at a 45° neck flexion angle. Wearable electromyography sensors were used to quantify muscle activity as an indicator of neuromuscular loading, while subjective discomfort was assessed using the Rate of Perceived Exertion scale, and endurance times were recorded. The results demonstrated significant reductions in neck and lower back muscle activity (median values up to 31.0%) and perceived discomfort (median values up to 50.0%), with the most improvements at 30° and 45° neck flexion angles. Participants reported 50% higher endurance time when using the exoskeleton. Minimal benefits were observed at 15° flexion, likely due to reduced musculoskeletal demand at this angle. These findings highlight the potential of exoskeletons as an ergonomic intervention to mitigate neck and back strain in occupations where high degrees of neck flexion are prevalent. Full article
Show Figures

Figure 1

19 pages, 292 KB  
Article
Associations Between Anthropometric Characteristics, Self-Reported Musculoskeletal and Visceral Symptoms, and Squat Movement Quality: A Cross-Section Study
by John Xerri de Caro, Andrew Pirotta, Emanuel Schembri and Malcolm Borg
J. Funct. Morphol. Kinesiol. 2026, 11(1), 86; https://doi.org/10.3390/jfmk11010086 - 20 Feb 2026
Viewed by 258
Abstract
Background: This study investigated associations between anthropometric characteristics, postural deviations, musculoskeletal and visceral symptoms, and squat movement quality to clarify how individual physical attributes and symptom profiles influence fundamental movement performance. Method(s): A cross-sectional observational study recruited adults aged 18–65 who [...] Read more.
Background: This study investigated associations between anthropometric characteristics, postural deviations, musculoskeletal and visceral symptoms, and squat movement quality to clarify how individual physical attributes and symptom profiles influence fundamental movement performance. Method(s): A cross-sectional observational study recruited adults aged 18–65 who could ambulate without pain. Anthropometric and body composition measures were collected. Standardized posture images and multi-angle squat videos were obtained, and visual classifications of posture and squat technique were conducted using predefined criteria. Descriptive statistics characterized the sample, and multivariable logistic regression with LASSO regularization examined associations between demographic, postural, and symptom variables and binary squat outcomes. Results: Two hundred participants (57.5% female; median age 26 years) were included. Males showed higher stature, lean mass, and waist circumference, whereas females exhibited higher body fat and reported more neck pain and headaches. Forward head posture was common (62%), while women demonstrated more favorable upper-body alignment. Most participants maintained neutral lumbar posture and grounded heels during squats, with sex differences in foot rotation and knee path. Higher fat mass predicted reduced squat depth (OR = 1.06, 95% CI: 1.00 to 1.11, p = 0.033); heel lift and absent forward knee movement were associated with better spinal neutrality (OR = 0.07 and 0.18, both p ≤ 0.002); and low skeletal muscle mass (OR = 0.87, 95% CI: 0.79 to 0.95, p = 0.004) and heel lift (OR = 7.09, 95% CI: 1.86 to 26.2, p = 0.003) predicted suboptimal knee tracking. Only 8% achieved a fully “perfect” squat. Conclusion(s): Suboptimal squat mechanics were linked to higher fat mass, lower skeletal muscle mass, and compensatory lower-limb strategies, suggesting that squat quality reflects an interaction among body composition, posture, and motor control rather than any single demographic or anthropometric factor. Full article
(This article belongs to the Section Functional Anatomy and Musculoskeletal System)
16 pages, 9023 KB  
Article
Optimising Camera–ChArUco Geometry for Motion Compensation in Standing Equine CT: A CT-Motivated Benchtop Study
by Cosimo Aliani, Cosimo Lorenzetto Bologna, Piergiorgio Francia and Leonardo Bocchi
Sensors 2026, 26(4), 1310; https://doi.org/10.3390/s26041310 - 18 Feb 2026
Viewed by 261
Abstract
Standing equine computed tomography (CT) acquisitions are susceptible to residual postural sway, which can introduce view-inconsistent motion and degrade image quality. External optical tracking based on ChArUco fiducials is a promising, low-cost strategy to enable projection-wise motion compensation, yet quantitative guidance on how [...] Read more.
Standing equine computed tomography (CT) acquisitions are susceptible to residual postural sway, which can introduce view-inconsistent motion and degrade image quality. External optical tracking based on ChArUco fiducials is a promising, low-cost strategy to enable projection-wise motion compensation, yet quantitative guidance on how camera–marker geometry affects pose-estimation performance remains limited. This CT-motivated benchtop study characterizes how the relative camera–ChArUco configuration influences both the accuracy (bias with respect to ground truth) and the precision (repeatability) of pose estimates obtained from RGB images using OpenCV ChArUco detection and reprojection-error minimization to estimate the rigid camera-to-board transformation. Controlled experiments systematically varied acquisition protocol (continuous repeated estimates at fixed pose versus cyclic repositioning), viewing angle over a wide angular range at two working distances, and camera-to-board distance over multiple depth settings. Ground truth for angular configurations was defined by a stepper-motor rotation stage, while distance ground truth was obtained by ruler measurements. Performance was summarized via mean absolute error and standard deviation across repeated measurements, complemented by variance-based statistical testing with multiple-comparison correction. Cyclic repositioning did not yield evidence of increased variability relative to continuous acquisitions, supporting view-by-view sampling. Viewing angle induced a consistent accuracy–precision trade-off for rotations: frontal views minimized mean error but exhibited higher variability, whereas oblique views reduced jitter at the expense of increased bias. Increasing working distance reduced repeatability, most prominently for depth-related components. Overall, these findings provide pre-clinical guidance for selecting camera/marker placement (moderately oblique viewpoints, limited working distance, sufficient image footprint) before in-scanner and in-vivo validation for standing equine CT motion compensation. Full article
Show Figures

Figure 1

14 pages, 2548 KB  
Article
Three-Dimensional Displacement of Upper Cervical Vertebrae in Severe Mandibular Deviation Caused by Condylar Hyperplasia: A Tomographic Segmentation Study
by Claudia Milena Ramírez, Rodrigo Cárdenas-Perilla, Luis Eduardo Almeida and Diego Fernando López
Diagnostics 2026, 16(4), 579; https://doi.org/10.3390/diagnostics16040579 - 14 Feb 2026
Viewed by 348
Abstract
Objective: To evaluate the three-dimensional (3D) angular displacement (Roll, Yaw, and Pitch) of the upper cervical vertebrae (C1, C2, and C3) in patients with severe mandibular deviation (MD) due to condylar hyperplasia (CH), utilizing a computed tomography (CT)-based segmentation approach. Methods: [...] Read more.
Objective: To evaluate the three-dimensional (3D) angular displacement (Roll, Yaw, and Pitch) of the upper cervical vertebrae (C1, C2, and C3) in patients with severe mandibular deviation (MD) due to condylar hyperplasia (CH), utilizing a computed tomography (CT)-based segmentation approach. Methods: This retrospective cross-sectional study included 50 patients with MD ≥ 6 mm caused by hemimandibular elongation (HE) or a hybrid form (HF) of CH. The skull, mandible, and cervical vertebrae (C1–C3) were segmented using 3D Slicer software. Angular deviations (Pitch, Yaw, Roll) were measured relative to the Frankfurt plane. Patients were categorized by the side of CH (right or left), and intergroup comparisons were performed using Kruskal–Wallis and Mann–Whitney U tests. Spearman’s correlation analyses assessed associations between MD magnitude and cervical angles. Results: CH was significantly more prevalent in females (58%; p = 0.021). C2 and C3 exhibited significantly increased lateral Roll inclination toward the side of deviation (p = 0.006 and p = 0.045, respectively). C2 Pitch negatively correlated with MD severity bilaterally (r ≈ −0.51, p = 0.02 right; r ≈ −0.50, p = 0.02 left). Strong intra-vertebral correlations between Pitch and Yaw were observed in C1 and C2, indicating synchronized vertical and rotational motion. No significant intergroup differences were found in Yaw angles (p > 0.05). Conclusions: Patients with CH and severe MD exhibit consistent patterns of 3D cervical displacement, particularly in lateral inclination and vertical movement, suggesting compensatory postural adaptations in the upper cervical spine. Full article
Show Figures

Figure 1

22 pages, 3424 KB  
Article
Effects of Flow Tube Structural Parameters on Flow Characteristics near a Blowout Well
by Yiming Li, Qishuang Yang, Ning Wang, Yi Liang, Wei Xia, Zhongjin Lv, Haonan Qi and Runyu Liu
Processes 2026, 14(4), 663; https://doi.org/10.3390/pr14040663 - 14 Feb 2026
Viewed by 261
Abstract
Flow tubes are key rescue devices used to respond to explosions and fires caused by blowouts. Improperly designed flow tubes can cause buckling failures, which can result in injuries or fatalities, particularly during high-speed blowouts, so optimizing the design based on the mechanism [...] Read more.
Flow tubes are key rescue devices used to respond to explosions and fires caused by blowouts. Improperly designed flow tubes can cause buckling failures, which can result in injuries or fatalities, particularly during high-speed blowouts, so optimizing the design based on the mechanism of high-speed blowout flow near the flow tube can improve rescue efficiency and reduce risk. This study investigated the flow control mechanism and analyzed the lift force of variable-diameter flow tubes. Simultaneously, the suction effect generated by the flow tubes was also quantified. The effect of flow tube structure and posture parameters on the flow field near a blowout well was numerically investigated using Fluent CDF software 2020R2, and the realizable k-ε turbulent model was used to account for turbulence. The inlet velocity was set to 300 m/s in order to simulate a high-speed blowout flow. The diameter ratio of the upper and lower parts of the flow tube changed from 1:1 to 1:2.4, and the ratio of the lower part to the total length changed from 1:10 to 3:10. The effects of the diameter ratio and length ratio on the distribution of the velocity and pressure in the flow tube were investigated. A strong negative pressure profile was observed in the equal-diameter flow tube. As the diameter ratio increased from 1:1.6 to 1:2.4, the negative pressure decreased from −1094 Pa to −214 Pa. In addition, the risk of personal suction due to negative pressure at the bottom of the flow tube was evaluated, and the effectiveness of drainage and the capability of flow control were analyzed. When the diameter ratio was increased by approximately 12.5%, the flow rate of entrainment decreased by 4% compared to the equal-diameter tube. Furthermore, the flow tube was subjected to significant upward lift forces during the snapping process, thereby increasing the risk of dislodgment. The effect of the changes in height and angle on the lift forces on the flow tube during buckling-up-installation was examined. It was found that the lift force decreases with height and is sensitive to the angle of inclination. Overall, it was concluded that the diameter ratio of the flow tube and the length of the lower section are key parameters for flow tube design. Full article
(This article belongs to the Special Issue Advanced Technology in Unconventional Resource Development)
Show Figures

Figure 1

15 pages, 1225 KB  
Article
Validation of the Posture Analyzing and Virtual Reconstruction (PAViR) System for Measuring the Hip–Knee–Ankle Angle Using 2D Photogrammetry and Computer Vision
by Carmen Aguilar Esteban, Elena Martinez Mendoza, Carla Martinez Navarro and Javier Torralba Estelles
Diagnostics 2026, 16(4), 568; https://doi.org/10.3390/diagnostics16040568 - 13 Feb 2026
Viewed by 206
Abstract
Background. Accurate assessment of lower limb alignment is critical in diagnostic decision-making for musculoskeletal disorders. This study aimed to validate the PAViR (Posture Analyzing and Virtual Reconstruction) system, a non-invasive device based on artificial vision and 2D photogrammetry, for measuring the Hip–Knee–Ankle [...] Read more.
Background. Accurate assessment of lower limb alignment is critical in diagnostic decision-making for musculoskeletal disorders. This study aimed to validate the PAViR (Posture Analyzing and Virtual Reconstruction) system, a non-invasive device based on artificial vision and 2D photogrammetry, for measuring the Hip–Knee–Ankle (HKA) angle. Method. A total of sixty-one adult participants were evaluated using the PAViR system, and the results were compared against Kinovea, a validated open-source software commonly used for 2D kinematic and angular analysis in clinical and sports biomechanics. Statistical analyses included the Shapiro–Wilk test, Pearson correlation, and Bland–Altman plots. Results. The correlation between both systems was perfect (r = 0.999; p < 0.001). The Bland–Altman analysis showed differences of 0.03° (left) and 0.04° (right), with limits of agreement between −0.25° and +0.75°, within the clinically acceptable margin of ±2°. These findings demonstrate that the PAViR system shows excellent agreement with a validated 2D photogrammetry reference method for measuring the Hip-Knee-Ankle angle in asymptomatic adults. The narrow limits of agreement (−0.25° to +0.75°) and minimal systematic bias (0.03–0.04°) support the technical validity of PAViR for static coronal plane alignment assessment under controlled conditions. Conclusions. Further validation studies in clinical populations and dynamic contexts are necessary to establish broader applicability and clinical utility. Its integration could enhance lower limb assessment in orthopedic, sports, and preventive care. Further validation studies in clinical populations with musculoskeletal pathology, dynamic functional contexts, and direct comparison with radiographic gold standards are necessary to establish broader applicability and clinical utility. Full article
(This article belongs to the Special Issue Advances in Musculoskeletal Imaging: From Diagnosis to Treatment)
Show Figures

Figure 1

27 pages, 5316 KB  
Article
Webcam-Based Exergame for Motor Recovery with Physical Assessment via DTW
by Norapat Labchurat, Kingkarn Sookhanaphibarn, Worawat Choensawat and Pujana Paliyawan
Sensors 2026, 26(4), 1219; https://doi.org/10.3390/s26041219 - 13 Feb 2026
Viewed by 301
Abstract
This paper presents RehabHub, a home-based exergaming system that integrates standardized physical assessment directly into gameplay by using a common webcam and MediaPipe for real-time pose estimation. The system quantifies upper-limb movement quality, specifically abduction, shoulder flexion, and elbow flexion based on FMA-UE [...] Read more.
This paper presents RehabHub, a home-based exergaming system that integrates standardized physical assessment directly into gameplay by using a common webcam and MediaPipe for real-time pose estimation. The system quantifies upper-limb movement quality, specifically abduction, shoulder flexion, and elbow flexion based on FMA-UE guidelines, by applying Dynamic Time Warping (DTW) together with a Z-score-based scoring model that relies on data from non-clinical adult participants. A pilot study, which included movements simulated with a 5-kg resistance band, evaluated three feature-extraction methods. The findings indicate that the single-angle method provides the clearest distinction between normal and abnormal movements, particularly for abduction and elbow flexion. In the case of shoulder flexion, the score separation was less distinct because of movement variability and posture-related angle fluctuations, which suggests that further refinement of feature design is needed. The cloud-based platform supports remote monitoring and gives caregivers access to both performance scores and recorded exercise videos. Overall, the results demonstrate the feasibility of a low-cost webcam-based assessment integrated into exergaming, and they highlight important trends for improving abnormal-movement detection in home rehabilitation systems. Full article
Show Figures

Graphical abstract

31 pages, 3468 KB  
Article
From RGB-D to RGB-Only: Reliability and Clinical Relevance of Markerless Skeletal Tracking for Postural Assessment in Parkinson’s Disease
by Claudia Ferraris, Gianluca Amprimo, Gabriella Olmo, Marco Ghislieri, Martina Patera, Antonio Suppa, Silvia Gallo, Gabriele Imbalzano, Leonardo Lopiano and Carlo Alberto Artusi
Sensors 2026, 26(4), 1146; https://doi.org/10.3390/s26041146 - 10 Feb 2026
Viewed by 335
Abstract
Axial postural abnormalities in Parkinson’s Disease (PD) are traditionally assessed using clinical rating scales, although picture-based assessment is considered the gold standard. This study evaluates the reliability and clinical relevance of two markerless body-tracking frameworks, the RGB-D-based Microsoft Azure Kinect (providing the reference [...] Read more.
Axial postural abnormalities in Parkinson’s Disease (PD) are traditionally assessed using clinical rating scales, although picture-based assessment is considered the gold standard. This study evaluates the reliability and clinical relevance of two markerless body-tracking frameworks, the RGB-D-based Microsoft Azure Kinect (providing the reference KIN_3D model) and the RGB-only Google MediaPipe Pose (MP), using a synchronous dual-camera setup. Forty PD patients performed a 60 s static standing task. We compared KIN_3D with three MP models (at different complexity levels) across horizontal, vertical, sagittal, and 3D joint angles. Results show that lower-complexity MP models achieved high congruence with KIN_3D for trunk and shoulder alignment (ρ > 0.75), while the lateral view significantly improved tracking of sagittal angles (ρ ≥ 0.72). Conversely, the high-complexity model introduced significant skeletal distortions. Clinically, several angular parameters emerged as robust metrics for postural assessment and global motor impairments, while sagittal angles correlated with motor complications. Unexpectedly, a more upright frontal alignment was associated with greater freezing of gait severity, suggesting that static postural metrics may serve as proxies for dynamic gait performance. In addition, both RGB-only and RGB-D frameworks effectively discriminated between postural severity clusters. While the higher-complexity MP model should be avoided due to inaccurate 3D reconstructions, our findings demonstrate that low- and medium-complexity MP models represent a reliable alternative to RGB-D sensors for objective postural assessment in PD, facilitating the widespread application of objective posture measurements in clinical contexts. Full article
(This article belongs to the Special Issue Sensors for Human Motion Analysis and Applications)
Show Figures

Figure 1

15 pages, 690 KB  
Article
Impact of Physiotherapy Based on the Rigo Concept and Whole-Body Vibration on Sagittal Spinal Curvatures, Trunk Symmetry, and the Angle of Trunk Rotation in Adolescents with Idiopathic Scoliosis
by Paulina Ewertowska, Marta Flis, Joanna Kujałowicz, Borislav Chongov and Dariusz Czaprowski
J. Clin. Med. 2026, 15(4), 1386; https://doi.org/10.3390/jcm15041386 - 10 Feb 2026
Viewed by 846
Abstract
Background: Conservative treatment for adolescent idiopathic scoliosis (AIS) includes physiotherapeutic scoliosis-specific exercises (PSSE) and bracing. One PSSE-based approach is the Rigo Concept, which emphasizes three-dimensional (3D) postural correction, expansion techniques, muscle activation, and postural integration. Recently, increasing interest has been directed toward incorporating [...] Read more.
Background: Conservative treatment for adolescent idiopathic scoliosis (AIS) includes physiotherapeutic scoliosis-specific exercises (PSSE) and bracing. One PSSE-based approach is the Rigo Concept, which emphasizes three-dimensional (3D) postural correction, expansion techniques, muscle activation, and postural integration. Recently, increasing interest has been directed toward incorporating whole-body vibration (WBV) into physiotherapy. WBV is a reflex-based neuromuscular training method shown to improve muscle strength and power and enhance proprioception, which may be beneficial in the treatment of AIS. Objectives: This study aimed to assess the effects of physiotherapy based on the Rigo Concept combined with WBV on sagittal spinal curvatures, trunk symmetry, and the angle of trunk rotation (ATR) in girls with AIS. Methods: This prospective controlled experimental study included 45 girls (12.8 ± 1.7 years) with AIS who participated in a 5-day physiotherapy session based on the Rigo Concept. Of these, 22 participants additionally received WBV using a Galileo Med 35 platform (3 × 3 min/day, frequency 25 Hz, peak-to-peak displacement 2 mm), forming the Rigo–WBV group. The remaining participants received the Rigo Concept alone (Rigo–ONLY). Participants were allocated to the study groups using a quasi-random method based on the order of enrollment. ATR was defined as the primary endpoint, while thoracic kyphosis, lumbar lordosis, sacral slope, coronal balance, and scapular position were considered secondary outcomes. All outcomes were assessed before and after the intervention. Results: Neither the Rigo–WBV nor the Rigo–ONLY intervention affected sagittal spinal curvatures (p > 0.05). Coronal balance improved in both the Rigo–WBV (Δ 0.5 cm, p < 0.001) and Rigo–ONLY groups (Δ 0.4 cm, p = 0.005). In the Rigo–ONLY group, an improvement in scapular height asymmetry was observed (Δ 1.1°, p = 0.010). Following the Rigo–WBV intervention, ATR decreased in the main thoracic (Δ 1.9°, p < 0.001), thoracolumbar (Δ 1.9°, p < 0.001), lumbar curve (Δ 2.1°, p < 0.001), and pelvis (Δ 1.0°, p < 0.001). In the Rigo–ONLY group, a reduction in ATR was observed only in the thoracolumbar curve (Δ 1.9°, p < 0.001). Conclusions: In terms of clinical and postural changes, five-day physiotherapy based on the Rigo Concept, with or without WBV, does not influence sagittal spinal curvatures in girls with AIS. Both interventions may improve coronal balance. Moreover, the Rigo Concept combined with WBV may reduce ATR. Full article
(This article belongs to the Section Clinical Rehabilitation)
Show Figures

Figure 1

9 pages, 1080 KB  
Case Report
Radiological Improvement of Adolescent Idiopathic Scoliosis Following an Integrated Postural Reprogramming Approach: A Retrospective Case Series
by Mirko Zisi, Sara Bizioli, Lorenzo Mosca, Francesco Tucci and Vincenzo Canali
Diagnostics 2026, 16(4), 514; https://doi.org/10.3390/diagnostics16040514 - 9 Feb 2026
Viewed by 265
Abstract
Background/Objectives: Adolescent idiopathic scoliosis (AIS) is a three-dimensional spinal deformity commonly managed with conservative strategies, including bracing and physiotherapeutic scoliosis-specific exercises (PSSEs). The Canali Postural Method® (CPM) is an individualized kinesiological approach aimed at postural reprogramming, while the Canali Orthopedic Brace [...] Read more.
Background/Objectives: Adolescent idiopathic scoliosis (AIS) is a three-dimensional spinal deformity commonly managed with conservative strategies, including bracing and physiotherapeutic scoliosis-specific exercises (PSSEs). The Canali Postural Method® (CPM) is an individualized kinesiological approach aimed at postural reprogramming, while the Canali Orthopedic Brace is an intermittent, non-rigid device intended to facilitate active postural control rather than continuous passive correction. Case Presentation: We retrospectively report two adolescent females with thoracolumbar rotoscoliosis (Risser grade 4). Case 1 (15 years) presented with a left-convex thoracolumbar curve (apex T12–L1) with a Cobb angle of 19.4° and a derotation angle ratio (DAR) of 1.9. Case 2 (16 years) presented with a right-convex thoracolumbar curve (apex T10) with a Cobb angle of 41.14° and a DAR of 3.7. Both patients underwent supervised CPM-based exercise sessions combined with intermittent use of the Canali Orthopedic Brace. Discussion and Conclusions: Follow-up radiographs showed a marked reduction in curve magnitude and rotational parameters: in Case 1, the Cobb angle decreased from 19.4° to 4.1° and DAR from 1.9 to 0.4; in Case 2, the Cobb angle decreased from 41.14° to 15.17° and DAR from 3.7 to 1.36. Pelvic asymmetry was also reduced, and no worsening of sagittal alignment was observed. Given the retrospective design, the small sample size, heterogeneity in intervention duration, and the lack of clinical outcomes and formal measurement reliability testing, these findings should be interpreted with caution and warrant confirmation in prospective controlled studies. Full article
(This article belongs to the Special Issue Clinical Diagnosis and Management in Orthopaedics and Traumatology)
Show Figures

Figure 1

Back to TopTop