error_outline You can access the new MDPI.com website here. Explore and share your feedback with us.
 
 
Sign in to use this feature.

Years

Between: -

Subjects

remove_circle_outline

Journals

Article Types

Countries / Regions

Search Results (2)

Search Parameters:
Keywords = poly(d-lactic acid-co-glucose)

Order results
Result details
Results per page
Select all
Export citation of selected articles as:
14 pages, 4600 KB  
Article
Surface Modification of Poly(l-lactic acid) through Stereocomplexation with Enantiomeric Poly(d-lactic acid) and Its Copolymer
by Qianjin Zhu, Kaixin Chang, Liyan Qi, Xinyi Li, Woming Gao and Qinwei Gao
Polymers 2021, 13(11), 1757; https://doi.org/10.3390/polym13111757 - 27 May 2021
Cited by 6 | Viewed by 3581
Abstract
Poly(l-lactic acid) with high molecular weight was used to prepare PLLA films by means of the solvent casting technique. Poly(d-lactic acid) (PDLA) and poly(d-lactic acid-co-glucose) copolymer (PDLAG) with a low molecular weight were synthesized from [...] Read more.
Poly(l-lactic acid) with high molecular weight was used to prepare PLLA films by means of the solvent casting technique. Poly(d-lactic acid) (PDLA) and poly(d-lactic acid-co-glucose) copolymer (PDLAG) with a low molecular weight were synthesized from d-lactic acid and glucose through melt polycondensation. PLLA films were immersed in PDLA or PDLAG solution to prepare surface-modified PLLA films. The modified PLLA film presented stereocomplex crystal (SC) on its surface and homogeneous crystals (HC) in its bulk. The HC structure and surface morphology of modified PLLA films were obviously damaged by PDLA or PDLAG solution. With increasing immersion time, the PLLA films modified by PDLA decreased both the HC and SC structure, while the PLLA films modified by PDLAG increased the SC structure and decreased the HC structure. Hydrophilic glucose residues of PDLAG on the surface would improve the hydrophilicity of surface-modified PLLA films. Moreover, the hydrophilicity of glucose residues and the interaction of glucose residues with lactic acid units could retard HC destruction and SC crystallization, so that PLLA films modified by PDLAG possessed lower melting temperatures of HC and SC, the crystallinity of SC and the water contact angle, compared with PDLAG-modified PLLA films. The SC structure could improve the heat resistance of modified PLLA film, but glucose residues could block crystallization to promote the thermal degradation of PLA materials. The surface modification of PLLA films will improve the thermal stability, hydrophilicity and crystallization properties of PLA materials, which is essential in order to obtain PLA-based biomaterials. Full article
(This article belongs to the Section Polymer Chemistry)
Show Figures

Graphical abstract

17 pages, 4663 KB  
Article
Preparation and Properties of Stereocomplex of Poly(lactic acid) and Its Amphiphilic Copolymers Containing Glucose Groups
by Liyan Qi, Qianjin Zhu, Dan Cao, Tingting Liu, Kevin R Zhu, Kaixin Chang and Qinwei Gao
Polymers 2020, 12(4), 760; https://doi.org/10.3390/polym12040760 - 31 Mar 2020
Cited by 11 | Viewed by 4071
Abstract
The stereocomplex of poly(lactic acid) containing glucose groups (sc-PLAG) was prepared by solution blending from equal amounts of poly(l-lactic acid) (PLLA) and poly(d-lactic acid-co-glucose) (PDLAG), which were synthesized from l- and d-lactic acid and glucose [...] Read more.
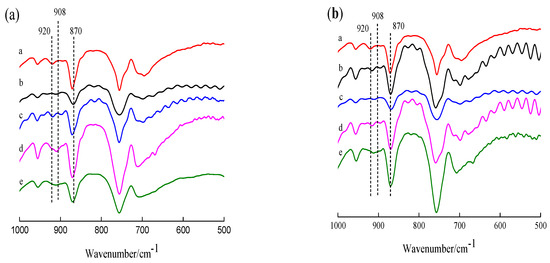
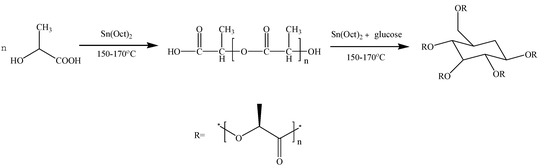
The stereocomplex of poly(lactic acid) containing glucose groups (sc-PLAG) was prepared by solution blending from equal amounts of poly(l-lactic acid) (PLLA) and poly(d-lactic acid-co-glucose) (PDLAG), which were synthesized from l- and d-lactic acid and glucose by melt polycondensation. The methods, including 1H nuclear magnetic resonance spectroscopy (1H NMR), gel permeation chromatography (GPC), differential scanning calorimetry (DSC), X-ray diffraction (XRD), fourier transform infrared spectroscopy (FT-IR), thermogravimetric analysis (TGA), polarizing microscope (POM), scanning electron microscope (SEM), transmission electron microscope (TEM), and contact angle were used to determine the effects of the stereocomplexation of enantiomeric poly(lactic acid) (PLA) units, the amphiphilicity due to glucose residues and lactic acid units, and the interaction of glucose residues with lactic units on the crystallization performance, hydrophilicity, thermal stability, and morphology of samples. The results showed PDLAG was multi-armed, and partial OH groups of glucose residues in PDLAG might remain unreacted. The molecular weight (Mw), dispersity (Ɖ), and glucose proportion in the chain of PDLAG thereby had significant effects on sc-PLAG. There were the stereocomplexation of enantiomeric lactic units and the amphiphilic self-assembly of PDLAG in sc-PLAG, which resulted in glucose groups mainly in the surface phase and lactic units in the bulk phase. The sc-PLAG only possessed the stereocomplex crystal owing to the interaction between nearly equimolar of l-lactic units of PLLA and d-lactic units of PDLAG, and had no homo-crystallites of l- or d-lactic units, which improved the melting temperature (Tm) of sc-PLAG about 50 °C higher than that of PLLA. Glucose groups in sc-PLAG played an important role by forming heterogeneous nucleation, promoting amphiphilic self-assembly, and affecting the ordered arrangement of lactic units. The glass transition temperature (Tg), the melting temperature (Tm), crystallinity, crystallization rate, and water absorption of sc-PLAG showed similar changes with the increased glucose content in feeding. All these parameters increased at first, and the maximum appeared as glucose content in feeding about 2%, such as the maximum crystallinity of 48.8% and the maximum water absorption ratio being 11.7%. When glucose content in feeding continued increasing, all these performances showed a downward trend due to the decrease of arrangement regularity of lactic acid chains caused by glucose groups. Moreover, the contact angle of sc-PLAG decreased gradually with the increased glucose content in feeding to obtain the minimum 77.5° as the glucose content in feeding being 5%, while that of PLLA was 85.0°. The sc-PLAG possessed a regular microsphere structure, and its microspheres with a diameter of about 200 nm could be observed. In conclusion, sc-PLAG containing proper glucose amount could effectively enhance the crystallinity, hydrophilicity, and thermal stability of PLA material, which is useful for drug delivery, a scaffold for tissue engineering, and other applications of biomedicine. Full article
Show Figures

Figure 1

Back to TopTop