Sign in to use this feature.

Years

Between: -

Subjects

remove_circle_outline
remove_circle_outline

Journals

Article Types

Countries / Regions

Search Results (3)

Search Parameters:
Keywords = phenylethynyl-terminated imide oligomer

Order results
Result details
Results per page
Select all
Export citation of selected articles as:
27 pages, 9475 KB  
Review
Phenylethynyl-Terminated Imide Oligomer-Based Thermoset Resins
by Minju Kim, Kiyeong Kim, Joon Hyuk Lee, Eunkyung Jeon, Jungkun Song, Jaeho Choi, Hyeonuk Yeo and Ki-Ho Nam
Polymers 2024, 16(20), 2947; https://doi.org/10.3390/polym16202947 - 21 Oct 2024
Cited by 1 | Viewed by 2102
Abstract
Phenylethynyl-terminated imide (PETI) oligomers are highly valued for their diverse applications in films, moldings, adhesives, and composite material matrices. PETIs can be synthesized at varying molecular weights, enabling the fine-tuning of their properties to meet specific application requirements. Upon thermal curing, these oligomers [...] Read more.
Phenylethynyl-terminated imide (PETI) oligomers are highly valued for their diverse applications in films, moldings, adhesives, and composite material matrices. PETIs can be synthesized at varying molecular weights, enabling the fine-tuning of their properties to meet specific application requirements. Upon thermal curing, these oligomers form super-rigid network structures that enhance solvent resistance, increase glass-transition temperatures, and improve elastic moduli. Their low molecular weights and melt viscosities further facilitate processing, making them particularly suitable for composites and adhesive bonding. This review examines recent advancements in developing ultra-high-temperature PETIs, focusing on their structure–processing–properties relationships. It begins with an overview of the historical background and key physicochemical characteristics of PETIs, followed by a detailed discussion of PETIs synthesized from monomers featuring noncoplanar configurations (including kink and cardo structures), fluorinated groups, flexible linkages, and liquid crystalline mesogenic structures. The review concludes by addressing current challenges in this research field and exploring potential future directions. Full article
(This article belongs to the Special Issue Advanced Polymer Structures: Chemistry for Engineering Applications)
Show Figures

Figure 1

14 pages, 7052 KB  
Article
Preparation and Properties of Modified Phenylethynyl Terminated Polyimide with Neodymium Oxide
by Peng Zhang, Hansong Liu, Yilun Yao, Tao Yang, Jinsong Sun, Xiangyu Zhong, Jianwen Bao, Yan Zhao and Xiangbao Chen
Materials 2022, 15(12), 4148; https://doi.org/10.3390/ma15124148 - 10 Jun 2022
Cited by 7 | Viewed by 2833
Abstract
Modified phenylethynyl terminated polyimides (PIs) were successfully prepared by using neodymium oxide (Nd2O3) via high-speed stirring and ultrasonic dispersion methods. In addition, the structure and properties of the Nd2O3-modified imide oligomers as well as the [...] Read more.
Modified phenylethynyl terminated polyimides (PIs) were successfully prepared by using neodymium oxide (Nd2O3) via high-speed stirring and ultrasonic dispersion methods. In addition, the structure and properties of the Nd2O3-modified imide oligomers as well as the thermo-oxidative stability of the modified polyimides (PI/Nd2O3 hybrid) and its modification mechanism were investigated in detail. The thermogravimetric analysis (TGA) results indicated that the 5% decomposition temperature (Td5%) of the PI/Nd2O3 hybrids improved from 557 °C to 575 °C, which was also verified by the TGA-IR tests. Meanwhile, the weight loss rate of the PI/Nd2O3 hybrids significantly decreased by 28% to 31% compared to that of pure PI under isothermal aging at 350 °C for 450 h when the added content of Nd2O3 was between 0.4 wt% and 1 wt%, showing outstanding thermo-oxidative stability. Moreover, the mechanism of the enhanced thermo-oxidative stability for the modified PIs was analyzed by scanning electron microscopy (SEM) and X-ray diffraction (XRD). Full article
Show Figures

Figure 1

23 pages, 4681 KB  
Article
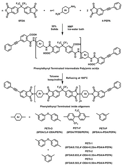
Resin Transfer Moldable Fluorinated Phenylethynyl-Terminated Imide Oligomers with High Tg: Structure–Melt Stability Relationship
by Weijie Hong, Lili Yuan, Yanping Ma, Chao Cui, Haoyang Zhang, Shiyong Yang and Wen-Hua Sun
Polymers 2021, 13(6), 903; https://doi.org/10.3390/polym13060903 - 15 Mar 2021
Cited by 20 | Viewed by 3501
Abstract
Phenylethynyl-terminated aromatic polyimides meet requirements of resin transfer molding (RTM) and exhibits high glass transition temperature (Tg) were prepared. Moreover, the relationship between the polyimide backbones structure and their melting stability was investigated. The phenylethynyl-terminated polyimides were based on 4,4′-(hexafluorosiopropylidene)-diphthalic anhydride [...] Read more.
Phenylethynyl-terminated aromatic polyimides meet requirements of resin transfer molding (RTM) and exhibits high glass transition temperature (Tg) were prepared. Moreover, the relationship between the polyimide backbones structure and their melting stability was investigated. The phenylethynyl-terminated polyimides were based on 4,4′-(hexafluorosiopropylidene)-diphthalic anhydride (6FDA) and different diamines of 3,4′-oxydianiline (3,4′-ODA), m-phenylenediamine (m-PDA) and 2,2′-bis(trifluoromethyl)benzidine (TFDB) were prepared. These oligoimides exhibit excellent melting flowability with wide processing temperature window and low minimum melt viscosities (<1 Pa·s). Two of the oligoimides display good melting stability at 280–290 °C, which meet the requirements of resin transfer molding (RTM) process. After thermally cured, all resins show high glass transition temperatures (Tgs, 363–391 °C) and good tensile strength (51–66 MPa). The cure kinetics studied by the differential scanning calorimetry (DSC), 13C nuclear magnetic resonance (13C NMR) characterization and density functional theory (DFT) definitely confirmed that the electron-withdrawing ability of oligoimide backbone can tremendously affect the curing reactivity of terminated phenylethynyl groups. The replacement of 3,4′-ODA units by m-PDA or TFDB units increase the electron-withdrawing ability of the backbone, which increase the curing rate of terminated phenylethynyl groups at processing temperatures, hence results in the worse melting stability. Full article
(This article belongs to the Section Polymer Chemistry)
Show Figures

Graphical abstract

Back to TopTop