Sign in to use this feature.

Years

Between: -

Subjects

remove_circle_outline
remove_circle_outline
remove_circle_outline
remove_circle_outline

Journals

Article Types

Countries / Regions

Search Results (5)

Search Parameters:
Keywords = parent–teacher conference

Order results
Result details
Results per page
Select all
Export citation of selected articles as:
17 pages, 1567 KB  
Article
Association Between Parental Attendance at Early Adolescence’s Parent–Teacher Conferences and Their Children’s Performance in Standardized Exams for High School and College Entrance
by Sydney L. Fu, Sean O. Fu, Rebecca Y. Chen, Earl Fu, Martin M. Fu, Tony Szu-Hsien Lee and Hsun-Yu Chan
Educ. Sci. 2025, 15(6), 750; https://doi.org/10.3390/educsci15060750 - 13 Jun 2025
Viewed by 2248
Abstract
Adolescents’ performance in high-stakes standardized examinations plays a pivotal role in shaping their educational trajectories. This longitudinal study investigated whether parental attendance at parent–teacher conferences (PTCs) during early adolescence is associated with students’ performance in standardized examinations required for high school and college [...] Read more.
Adolescents’ performance in high-stakes standardized examinations plays a pivotal role in shaping their educational trajectories. This longitudinal study investigated whether parental attendance at parent–teacher conferences (PTCs) during early adolescence is associated with students’ performance in standardized examinations required for high school and college entrance. Drawing on data from the Taiwan Youth Project, we analyzed responses from 1294 ninth-grade students and 524 twelfth-grade students with available exam results. Parental participation in PTCs was recorded in both seventh and eighth grades, along with two other types of school-based involvement and covariates, such as parental education level, household income, students’ birth order, prior academic rank, peer relationships, parental support, and parental expectations. Hierarchical linear modeling was employed to control for individual and school-level variables. The results showed that parental attendance at PTCs in eighth grade was associated with higher scores on high school entrance exams in ninth grade. Furthermore, attending PTCs in both seventh and eighth grades was significantly associated with better performance in college entrance exams in twelfth grade (β = 3.02, p < 0.01). These findings suggest that sustained parental engagement in PTCs contributes to improved academic performance in adolescence. Policies that promote equitable and continued parent–teacher collaboration may support long-term student success. Full article
(This article belongs to the Section Education and Psychology)
Show Figures

Figure 1

20 pages, 1120 KB  
Article
Exploring Simulated Practice in Teacher Education: Opportunities to Professionalize the Teacher Role
by Toril Aagaard, Agnete Bueie and Jo Inge Johansen Frøytlog
Educ. Sci. 2025, 15(2), 182; https://doi.org/10.3390/educsci15020182 - 4 Feb 2025
Viewed by 2252
Abstract
In Norway, as in many other countries worldwide, student teachers often report a lack of coherence between their practice experiences and the teacher training provided on campus. For example, student teachers request more practice-relevant campus training on themes like parent–teacher conferences. Employers worldwide [...] Read more.
In Norway, as in many other countries worldwide, student teachers often report a lack of coherence between their practice experiences and the teacher training provided on campus. For example, student teachers request more practice-relevant campus training on themes like parent–teacher conferences. Employers worldwide expect universities to prepare graduates to innovate practices. This empirical article addresses these challenges by engaging student teachers in simulation-based practice designs (SPDs), which include a class brief, group sessions with simulated parent–teacher conferences, and a debrief. The students are encouraged to act with agency and approach the simulated situations critically. Overall, this study shows that students are highly engaged and task-oriented across SPDs. The survey data (n = 39) show that students perceive the simulation experiences as relevant preparation for their future practice. Audio recordings (215 min) and field notes indicate that they are triggered to critically reflect on and generate ideas for addressing challenges in the simulated situations. There are instances of linking theory with practice, and even some “thinking outside the box”. SPDs provide valuable opportunities to professionalize the teacher role but could benefit from more support and time to bridge the gap between theory and practice and encourage more innovative thinking. Full article
Show Figures

Figure 1

12 pages, 558 KB  
Article
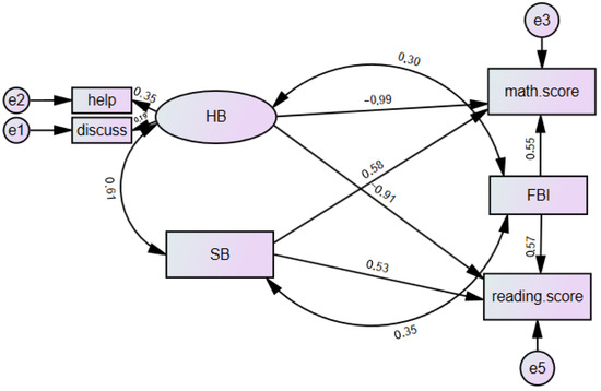
Positive or Negative and General or Differentiated Effect? Correlation between Parental Involvement and Student Achievement
by Katinka Bacskai, Emese Alter, Beáta Andrea Dan, Krisztina Vályogos and Gabriella Pusztai
Educ. Sci. 2024, 14(9), 941; https://doi.org/10.3390/educsci14090941 - 27 Aug 2024
Cited by 4 | Viewed by 7634
Abstract
Parents can have a significant impact on student progress, but it is unclear whether generally influential forms of parental involvement can be identified or if they have a differential impact. Our research focuses on the impact of different forms of parental involvement (at-home [...] Read more.
Parents can have a significant impact on student progress, but it is unclear whether generally influential forms of parental involvement can be identified or if they have a differential impact. Our research focuses on the impact of different forms of parental involvement (at-home and in-school involvement) on primary and high school students’ academic performance, and we also examine the differences between low- and high-status families. Our quantitative research analyzed data from all students that were in Grade 6 and Grade 10 in Hungary in 2019, and we conducted analysis using the Hungarian National Competency Assessment database (n = 183.366). We examined how parental involvement affects children’s mathematics and reading achievements. The results of our research were as follows: (1) Parental involvement type impacts student achievement. Home-based PI has a negative effect, while teacher–parent conferences and discussing school events have a positive effect. (2) The link between parental involvement and student achievement is weaker for higher-status families compared to lower-status families. Based on our results, the generalizability of the positive impact of parental involvement can be questioned because not all forms of it have a favorable effect on student achievement. Full article
Show Figures

Figure 1

14 pages, 213 KB  
Article
The Right to Be a Subject of Your Own Life—A Study of Parent-Teacher Conferences in Danish Lower Secondary Education
by Clara Ina Severin Steensen and Stine Helms
Soc. Sci. 2024, 13(1), 66; https://doi.org/10.3390/socsci13010066 - 22 Jan 2024
Viewed by 2277
Abstract
Many recent legislative reforms concerning children have emphasized the importance of involving children and adolescents in accordance with the principles of Article 12 in the UN Convention on the Rights of the Child. This article deals with the rights of youths to express [...] Read more.
Many recent legislative reforms concerning children have emphasized the importance of involving children and adolescents in accordance with the principles of Article 12 in the UN Convention on the Rights of the Child. This article deals with the rights of youths to express their opinions, feelings, and views in parent-teacher conferences in lower secondary education in Denmark. Both international and Danish research on parent-teacher conferences has shown that students are often objectified and are not provided with real opportunities to participate with their own voices and perspectives. Based on the sociology of Hartmut Rosa, the article explores students’ experiences of parent-teacher conferences as zones of alienation or spaces of resonance. In addition, we draw on Gert Biesta’s concept of subjectification to analyze how the current organization of the conferences largely displaces students’ opportunities to bring themselves into play as subjects of their own lives. The analysis is based on observations and interviews carried out in 2021 and 2022. Full article
(This article belongs to the Special Issue Children’s Wellbeing and Children’s RightsA Nordic Perspective)
11 pages, 3193 KB  
Article
A Child’s Perception of Their Developmental Difficulties in Relation to Their Adult Assessment. Analysis of the INPP Questionnaire
by Alina Demiy, Agata Kalemba, Maria Lorent, Anna Pecuch, Ewelina Wolańska, Marlena Telenga and Ewa Z. Gieysztor
J. Pers. Med. 2020, 10(4), 156; https://doi.org/10.3390/jpm10040156 - 5 Oct 2020
Cited by 7 | Viewed by 3542
Abstract
This study involved a comparison of the perception of developmental difficulties in a child by the parents, the teacher, and through the child’s self-assessment. Based on the Institute for Neuro-Psychological Psychology (INPP) questionnaire according to S. Goddard Blythe, three groups were examined: schoolchildren, [...] Read more.
This study involved a comparison of the perception of developmental difficulties in a child by the parents, the teacher, and through the child’s self-assessment. Based on the Institute for Neuro-Psychological Psychology (INPP) questionnaire according to S. Goddard Blythe, three groups were examined: schoolchildren, parents, and teachers. Each of them answered a set of 21 questions and assessed the degree of occurrence of a given difficulty for the child on a scale from 0 to 4. The questions concerned psychomotor problems related to balance, motor coordination and concentration, as well as school skills. In total, 49 questionnaires from children and parents and 46 from teachers were used for the study. The mean answer to each question was calculated within the following groups: child–parent, child–teacher, and parent–teacher. The sum of the children’s answer points was significantly higher than the sum of the parents’ answer points (p = 0.037). Children assessed their developmental difficulties more strongly than teachers, but this difference was not statistically significant. The individual difficulties of the children were assessed significantly more seriously or more gently than by the National Scientific Conference “Human health problems—causes, present state, ways for the future” speeches by 44 teacher participants on 5 June 2020. Parents and teachers also assessed the children’s difficulties significantly differently (p = 0.044). The biggest difference in answers concerned the question of maintaining attention. The obtained results indicate a significant difference in the perception of difficulties occurring in the same child by the teacher and the parent. The child’s behavior in school and home environments may be different and, depending on the requirements, assessed differently. Children perceive their difficulties much more seriously than adults. Talking and the support of adults can make it easier for a child to overcome developmental difficulties. Full article
Show Figures

Figure 1

Back to TopTop