Sign in to use this feature.

Years

Between: -

Subjects

remove_circle_outline
remove_circle_outline
remove_circle_outline

Journals

Article Types

Countries / Regions

Search Results (8)

Search Parameters:
Keywords = optical sensors for wind tunnel testing

Order results
Result details
Results per page
Select all
Export citation of selected articles as:
14 pages, 1334 KB  
Article
Optimisation of an nIR-Emitting Benzoporphyrin Pressure-Sensitive Paint Formulation
by Elliott J. Nunn, Louise S. Natrajan and Mark K. Quinn
Sensors 2025, 25(15), 4560; https://doi.org/10.3390/s25154560 - 23 Jul 2025
Viewed by 911
Abstract
The use of pressure-sensitive paints (PSPs), an optical oxygen sensing technique, to visualise and measure the surface pressure on vehicle models in wind tunnel testing is becoming increasingly prevalent. Porphyrins have long been the standard luminophore for PSP formulations, with the majority employing [...] Read more.
The use of pressure-sensitive paints (PSPs), an optical oxygen sensing technique, to visualise and measure the surface pressure on vehicle models in wind tunnel testing is becoming increasingly prevalent. Porphyrins have long been the standard luminophore for PSP formulations, with the majority employing the red-emitting platinum(II)-5,10,15,20-tetrakis-(2,3,4,5,6-pentafluorphenyl)-porphyrin. nIR-emitting luminophores, such as Pt(II) tetraphenyl tetrabenzoporphyrins, possess distinct advantages over visible emitting luminophores. In particular, they have wider spectrally useful ‘windows’, facilitating the insertion of a secondary visible emitting temperature-sensitive luminophore to be used for internal calibration without spectral crosstalk that detrimentally impacts PSP performance. In this work, we explore the effect of changing the loading quantity of an nIR-emitting para-CF3 Pt(II) benzoporphyrin luminophore on the performance of PSP formulations. An optimal luminophore loading of 1.28% wt/wt benzoporphyrin luminophore to polystyrene binder was identified, resulting in a low temperature sensitivity at 100 kPa of 0.61%/K and a large pressure sensitivity at 293 K of 0.740%/kPa. These strong performance metrics, for a polystyrene-based PSP, demonstrate the efficacy of benzoporphyrin luminophores as an attractive luminophore option for the development of a new generation of high-performance PSP formulations that outperform current commercially available ones. Full article
(This article belongs to the Special Issue Colorimetric and Fluorescent Sensors and Their Application)
Show Figures

Figure 1

12 pages, 3702 KB  
Article
Design Method of Three-Component Optic Fiber Balance Based on Fabry–Perot Displacement Sensor
by Bin Xu, Shien Yu and Jianzhong Zhang
Sensors 2023, 23(17), 7492; https://doi.org/10.3390/s23177492 - 29 Aug 2023
Cited by 3 | Viewed by 1652
Abstract
This article proposes a new type of three-component optic fiber balance based on Fabry–Perot displacement measurement technology based on the structure of the pulse wind tunnel balance. This paper systematically introduces the force measurement principle and design process of a three-component optic fiber [...] Read more.
This article proposes a new type of three-component optic fiber balance based on Fabry–Perot displacement measurement technology based on the structure of the pulse wind tunnel balance. This paper systematically introduces the force measurement principle and design process of a three-component optic fiber balance and conducts relevant simulation analysis and experimental verification. The simulation results show that the Fabry–Perot sensor can achieve significant sensitivity to cavity length changes, and when used in existing balance structures, sensitivity gains can be achieved by changing the probe height without the need to modify the original structure of the balance. Finally, the feasibility of the design method was verified through calibration experiments: the optic fiber balance has high sensitivity and good linearity compared to simulation sensitivity, the error is less than 6%, and the calibration accuracy of each component is better than 0.13%, which is better than the existing traditional strain balance (0.37%). The pulse wind tunnel force measurement test has a short test time and a large model mass, and the balance needs to have a large stiffness to meet the short-term force measurement requirements. The introduction of more sensitive optic fiber balance force measurement technology is expected to solve the contradiction between the stiffness and sensitivity of force measurement systems. Full article
(This article belongs to the Section Optical Sensors)
Show Figures

Figure 1

18 pages, 12319 KB  
Article
Overview of the SmartX Wing Technology Integrator
by Roeland De Breuker, Tigran Mkhoyan, Nakash Nazeer, Vincent Stuber, Xuerui Wang, Iren Mkhoyan, Roger Groves, Sybrand van der Zwaag and Jurij Sodja
Actuators 2022, 11(10), 302; https://doi.org/10.3390/act11100302 - 20 Oct 2022
Cited by 9 | Viewed by 5162
Abstract
This article describes the challenges of integrating smart sensing, actuation, and control concepts into an over-sensed and over-actuated technology integrator. This technology integrator has more control inputs than the expected responses or outputs (over-actuated), and its every state is measured using more than [...] Read more.
This article describes the challenges of integrating smart sensing, actuation, and control concepts into an over-sensed and over-actuated technology integrator. This technology integrator has more control inputs than the expected responses or outputs (over-actuated), and its every state is measured using more than one sensor system (over-sensed). The hardware integration platform is chosen to be a wind tunnel model of a low-speed aircraft wing such that it can be tested in a large university-level wind tunnel. This hardware technology integrator is designed for multiple objectives. The nature of these objectives is aerodynamic, structural, and aeroelastic, or, more specifically; drag reduction, static and dynamics loads control, aeroelastic stability control, and lift control. Enabling technologies, such as morphing, piezoelectric actuation and sensing, and fibre-optic sensing are selected to fulfil the mentioned objectives. The technology integration challenges are morphing, actuation integration, sensor integration, software and data integration, and control system integration. The built demonstrator shows the intended level of technology integration. Full article
(This article belongs to the Special Issue Advanced Actuators for Aerospace Systems)
Show Figures

Figure 1

17 pages, 6000 KB  
Article
3D Measurement of Large Deformations on a Tensile Structure during Wind Tunnel Tests Using Microsoft Kinect V2
by Daniele Marchisotti, Paolo Schito and Emanuele Zappa
Sensors 2022, 22(16), 6149; https://doi.org/10.3390/s22166149 - 17 Aug 2022
Cited by 1 | Viewed by 2240
Abstract
Wind tunnel tests often require deformation and displacement measures to determine the behavior of structures to evaluate their response to wind excitation. However, common measurement techniques make it possible to measure these quantities only at a few specific points. Moreover, these kinds of [...] Read more.
Wind tunnel tests often require deformation and displacement measures to determine the behavior of structures to evaluate their response to wind excitation. However, common measurement techniques make it possible to measure these quantities only at a few specific points. Moreover, these kinds of measurements, such as Linear Variable Differential Transformer LVDTs or fiber optics, usually influence the downstream and upstream air fluxes and the structure under test. In order to characterize the displacement of the structure not just at a few points, but for the entire structure, in this article, the application of 3D cameras during a wind tunnel test is presented. In order to validate this measurement technique in this application field, a wind tunnel test was executed. Three Kinect V2 depth sensors were used for a 3D displacement measurement of a test structure that did not present any optical marker or feature. The results highlighted that by using a low-cost and user-friendly measurement system, it is possible to obtain 3D measurements in a volume of several cubic meters (4 m × 4 m × 4 m wind tunnel chamber), without significant disturbance of wind flux and by means of a simple calibration of sensors, executed directly inside the wind tunnel. The obtained results highlighted a displacement directed to the internal part of the structure for the side most exposed to wind, while the sides, parallel to the wind flux, were more subjected to vibrations and with an outwards average displacement. These results are compliant with the expected behavior of the structure. Full article
Show Figures

Figure 1

22 pages, 1720 KB  
Article
Icing Condition Predictions Using FBGS
by Miguel González del Val, Julio Mora Nogués, Paloma García Gallego and Malte Frövel
Sensors 2021, 21(18), 6053; https://doi.org/10.3390/s21186053 - 9 Sep 2021
Cited by 17 | Viewed by 3330
Abstract
Icing is a hazard which is important for the aerospace industry and which has grown over the last few years. Developing sensors that can detect the existence not only of standard icing conditions with typically small droplet size, but also of Supercooled Large [...] Read more.
Icing is a hazard which is important for the aerospace industry and which has grown over the last few years. Developing sensors that can detect the existence not only of standard icing conditions with typically small droplet size, but also of Supercooled Large Droplet (SLD) conditions is one of the most important aims in order to minimize icing hazards in the near future. In the present paper a study of the Fiber Bragg Grating Sensors’ (FBGSs) performance as a flight icing detection system that predicts the conditions of an icing cloud is carried out. The test matrix was performed in the INTA Icing Wind Tunnel (IWT) with several icing conditions including SLD. Two optic fibers with 16 FBGS in total were integrated in the lower and upper surface of an airfoil to measure the temperature all over the chord. The results are compared with a Messinger heat and mass balance model and the measurements of the FBGS are used to predict the Liquid Water Content (LWC) and Ice Accretion Rate (IAR). Finally, the results are evaluated and a sensor assessment is made. A good correlation was observed between theoretical calculations and test results obtained with the FBGS in the IWT tests. FBGS proved to detect the beginning and end of ice accretion, LWC and IAR quickly and with good precision. Full article
(This article belongs to the Collection Optical Fiber Sensors)
Show Figures

Figure 1

20 pages, 5135 KB  
Article
Sensing, Actuation, and Control of the SmartX Prototype Morphing Wing in the Wind Tunnel
by Nakash Nazeer, Xuerui Wang and Roger M. Groves
Actuators 2021, 10(6), 107; https://doi.org/10.3390/act10060107 - 21 May 2021
Cited by 8 | Viewed by 4532
Abstract
This paper presents a study on trailing edge deflection estimation for the SmartX camber morphing wing demonstrator. This demonstrator integrates the technologies of smart sensing, smart actuation and smart controls using a six module distributed morphing concept. The morphing sequence is brought about [...] Read more.
This paper presents a study on trailing edge deflection estimation for the SmartX camber morphing wing demonstrator. This demonstrator integrates the technologies of smart sensing, smart actuation and smart controls using a six module distributed morphing concept. The morphing sequence is brought about by two actuators present at both ends of each of the morphing modules. The deflection estimation is carried out by interrogating optical fibers that are bonded on to the wing’s inner surface. A novel application is demonstrated using this method that utilizes the least amount of sensors for load monitoring purposes. The fiber optic sensor data is used to measure the deflections of the modules in the wind tunnel using a multi-modal fiber optic sensing approach and is compared to the deflections estimated by the actuators. Each module is probed by single-mode optical fibers that contain just four grating sensors and consider both bending and torsional deformations. The fiber optic method in this work combines the principles of hybrid interferometry and FBG spectral sensing. The analysis involves an initial calibration procedure outside the wind tunnel followed by experimental testing in the wind tunnel. This method is shown to experimentally achieve an accuracy of 2.8 mm deflection with an error of 9%. The error sources, including actuator dynamics, random errors, and nonlinear mechanical backlash, are identified and discussed. Full article
(This article belongs to the Special Issue Advanced Actuators for Aerospace Systems)
Show Figures

Figure 1

15 pages, 6709 KB  
Article
Hypersonic Aerodynamic Force Balance Using Micromachined All-Fiber Fabry–Pérot Interferometric Strain Gauges
by Huacheng Qiu, Fu Min, Yanguang Yang, Zengling Ran and Jinxin Duan
Micromachines 2019, 10(5), 316; https://doi.org/10.3390/mi10050316 - 11 May 2019
Cited by 12 | Viewed by 4115
Abstract
This paper presents high-sensitivity, micromachined all-fiber Fabry–Pérot interferometric (FFPI) strain gauges and their integration in a force balance for hypersonic aerodynamic measurements. The FFPI strain gauge has a short Fabry–Pérot cavity fabricated using an excimer laser etching process, and the deformation of the [...] Read more.
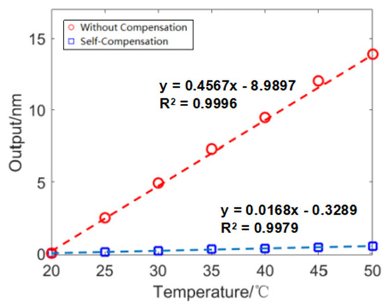
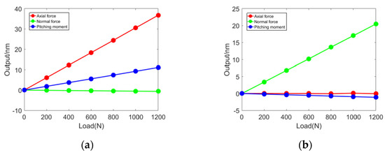
This paper presents high-sensitivity, micromachined all-fiber Fabry–Pérot interferometric (FFPI) strain gauges and their integration in a force balance for hypersonic aerodynamic measurements. The FFPI strain gauge has a short Fabry–Pérot cavity fabricated using an excimer laser etching process, and the deformation of the cavity is detected by a white-light optical phase demodulator. A three-component force balance, using the proposed FFPI gauges as sensing elements, was fabricated, calibrated, and experimentally evaluated. To reduce thermal output of the balance, a simple and effective self-temperature compensation solution, without external temperature sensors, is proposed and examined through both oven heating and wind tunnel runs. As a result of this approach, researchers are able to use the balance continuously throughout a wide range of temperatures. During preliminary testing in a hypersonic wind tunnel with a free stream Mach number of 12, the measurement accuracies of the balance were clearly improved after applying the temperature self-compensation. Full article
(This article belongs to the Special Issue MEMS for Aerospace Applications)
Show Figures

Figure 1

14 pages, 604 KB  
Article
An Optical Fiber Bundle Sensor for Tip Clearance and Tip Timing Measurements in a Turbine Rig
by Iker García, Josu Beloki, Joseba Zubia, Gotzon Aldabaldetreku, María Asunción Illarramendi and Felipe Jiménez
Sensors 2013, 13(6), 7385-7398; https://doi.org/10.3390/s130607385 - 5 Jun 2013
Cited by 101 | Viewed by 15110
Abstract
When it comes to measuring blade-tip clearance or blade-tip timing in turbines, reflective intensity-modulated optical fiber sensors overcome several traditional limitations of capacitive, inductive or discharging probe sensors. This paper presents the signals and results corresponding to the third stage of a multistage [...] Read more.
When it comes to measuring blade-tip clearance or blade-tip timing in turbines, reflective intensity-modulated optical fiber sensors overcome several traditional limitations of capacitive, inductive or discharging probe sensors. This paper presents the signals and results corresponding to the third stage of a multistage turbine rig, obtained from a transonic wind-tunnel test. The probe is based on a trifurcated bundle of optical fibers that is mounted on the turbine casing. To eliminate the influence of light source intensity variations and blade surface reflectivity, the sensing principle is based on the quotient of the voltages obtained from the two receiving bundle legs. A discrepancy lower than 3% with respect to a commercial sensor was observed in tip clearance measurements. Regarding tip timing measurements, the travel wave spectrum was obtained, which provides the average vibration amplitude for all blades at a particular nodal diameter. With this approach, both blade-tip timing and tip clearance measurements can be carried out simultaneously. The results obtained on the test turbine rig demonstrate the suitability and reliability of the type of sensor used, and suggest the possibility of performing these measurements in real turbines under real working conditions. Full article
(This article belongs to the Special Issue Optomechatronics)
Show Figures

Back to TopTop