Sign in to use this feature.

Years

Between: -

Subjects

remove_circle_outline
remove_circle_outline
remove_circle_outline
remove_circle_outline
remove_circle_outline

Journals

Article Types

Countries / Regions

Search Results (14)

Search Parameters:
Keywords = nicastrin

Order results
Result details
Results per page
Select all
Export citation of selected articles as:
14 pages, 2024 KB  
Brief Report
Antibody Responses and the Vaccine Efficacy of Recombinant Glycosyltransferase and Nicastrin Against Schistosoma japonicum
by Bowen Dong, Haoran Zhong, Danlin Zhu, Luobin Wu, Jinming Wang, Hao Li and Yamei Jin
Pathogens 2025, 14(1), 70; https://doi.org/10.3390/pathogens14010070 - 14 Jan 2025
Viewed by 1755
Abstract
Schistosomiasis is a neglected tropical disease and the second most common parasitic disease after malaria. While praziquantel remains the primary treatment, concerns about drug resistance highlight the urgent need for new drugs and effective vaccines to achieve sustainable control. Previous proteomic studies from [...] Read more.
Schistosomiasis is a neglected tropical disease and the second most common parasitic disease after malaria. While praziquantel remains the primary treatment, concerns about drug resistance highlight the urgent need for new drugs and effective vaccines to achieve sustainable control. Previous proteomic studies from our group revealed that the expression of Schistosoma japonicum glycosyltransferase and nicastrin as proteins was higher in single-sex males than mated males, suggesting their critical roles in parasite reproduction and their potential as vaccine candidates. In this study, bioinformatic tools were employed to analyze the structural and functional properties of these proteins, including their signal peptide regions, transmembrane domains, tertiary structures, and protein interaction networks. Recombinant forms of glycosyltransferase and nicastrin were expressed and purified, followed by immunization experiments in BALB/c mice. Immunized mice exhibited significantly elevated specific IgG antibody levels after three immunizations compared to adjuvant and PBS controls. Furthermore, immunization with recombinant glycosyltransferase and nicastrin significantly reduced the reproductive capacity of female worms and liver egg burden, though egg hatchability and adult worm survival were unaffected. These findings demonstrate that recombinant glycosyltransferase and nicastrin are immunogenic and reduce female worm fecundity, supporting their potential as vaccine candidates against schistosomiasis. Full article
(This article belongs to the Topic Advances in Infectious and Parasitic Diseases of Animals)
Show Figures

Figure 1

17 pages, 841 KB  
Article
Comprehensive Catalog of Variants Potentially Associated with Hidradenitis Suppurativa, Including Newly Identified Variants from a Cohort of 100 Patients
by Kévin Muret, Vincent Le Goff, Claire Dandine-Roulland, Claire Hotz, Francette Jean-Louis, Bertrand Boisson, Lilia Mesrob, Florian Sandron, Delphine Daian, Robert Olaso, Edith Le Floch, Vincent Meyer, Pierre Wolkenstein, Jean-Laurent Casanova, Yves Lévy, Eric Bonnet, Jean-François Deleuze and Sophie Hüe
Int. J. Mol. Sci. 2024, 25(19), 10374; https://doi.org/10.3390/ijms251910374 - 26 Sep 2024
Cited by 1 | Viewed by 3040
Abstract
Hidradenitis suppurativa (HS) is a chronic skin disease characterized by painful, recurrent abscesses, nodules, and scarring, primarily in skin folds. The exact causes of HS are multifactorial, involving genetic, hormonal, and environmental factors. It is associated with systemic diseases such as metabolic syndrome [...] Read more.
Hidradenitis suppurativa (HS) is a chronic skin disease characterized by painful, recurrent abscesses, nodules, and scarring, primarily in skin folds. The exact causes of HS are multifactorial, involving genetic, hormonal, and environmental factors. It is associated with systemic diseases such as metabolic syndrome and inflammatory bowel disease. Genetic studies have identified mutations in the γ-secretase complex that affect Notch signaling pathways critical for skin cell regulation. Despite its high heritability, most reported HS cases do not follow a simple genetic pattern. In this article, we performed whole-exome sequencing (WES) on a cohort of 100 individuals with HS, and we provide a comprehensive review of the variants known to be described or associated with HS. 91 variants were associated with the γ-secretase complex, and 78 variants were associated with other genes involved in the Notch pathway, keratinization, or immune response. Through this new genetic analysis, we have added ten new variants to the existing catalogs. All variants are available in a .vcf file and are provided as a resource for future studies. Full article
(This article belongs to the Special Issue Hidradenitis Suppurativa and Related Disorders)
Show Figures

Figure 1

17 pages, 4903 KB  
Article
Interaction of Substrates with γ-Secretase at the Level of Individual Transmembrane Helices—A Methodological Approach
by Theresa M. Pauli, Ayse Julius, Francesco Costa, Sabine Eschrig, Judith Moosmüller, Lea Fischer, Christoph Schanzenbach, Fabian C. Schmidt, Martin Ortner and Dieter Langosch
Int. J. Mol. Sci. 2023, 24(18), 14396; https://doi.org/10.3390/ijms241814396 - 21 Sep 2023
Cited by 1 | Viewed by 2487
Abstract
Intramembrane proteases, such as γ secretase, typically recruit multiple substrates from an excess of single-span membrane proteins. It is currently unclear to which extent substrate recognition depends on specific interactions of their transmembrane domains (TMDs) with TMDs of a protease. Here, we investigated [...] Read more.
Intramembrane proteases, such as γ secretase, typically recruit multiple substrates from an excess of single-span membrane proteins. It is currently unclear to which extent substrate recognition depends on specific interactions of their transmembrane domains (TMDs) with TMDs of a protease. Here, we investigated a large number of potential pairwise interactions between TMDs of γ secretase and a diverse set of its substrates using two different configurations of BLaTM, a genetic reporter system. Our results reveal significant interactions between TMD2 of presenilin, the enzymatic subunit of γ secretase, and the TMD of the amyloid precursor protein, as well as of several other substrates. Presenilin TMD2 is a prime candidate for substrate recruitment, as has been shown from previous studies. In addition, the amyloid precursor protein TMD enters interactions with presenilin TMD 4 as well as with the TMD of nicastrin. Interestingly, the Gly-rich interfaces between the amyloid precursor protein TMD and presenilin TMDs 2 and 4 are highly similar to its homodimerization interface. In terms of methodology, the economics of the newly developed library-based method could prove to be a useful feature in related future work for identifying heterotypic TMD−TMD interactions within other biological contexts. Full article
Show Figures

Figure 1

30 pages, 16911 KB  
Article
The Binding of Different Substrate Molecules at the Docking Site and the Active Site of γ-Secretase Can Trigger Toxic Events in Sporadic and Familial Alzheimer’s Disease
by Željko M. Svedružić, Vesna Šendula Jengić and Lucija Ostojić
Int. J. Mol. Sci. 2023, 24(3), 1835; https://doi.org/10.3390/ijms24031835 - 17 Jan 2023
Cited by 4 | Viewed by 3283
Abstract
Pathogenic changes in γ-secretase activity, along with its response to different drugs, can be affected by changes in the saturation of γ-secretase with its substrate. We analyze the saturation of γ-secretase with its substrate using multiscale molecular dynamics studies. We found that an [...] Read more.
Pathogenic changes in γ-secretase activity, along with its response to different drugs, can be affected by changes in the saturation of γ-secretase with its substrate. We analyze the saturation of γ-secretase with its substrate using multiscale molecular dynamics studies. We found that an increase in the saturation of γ-secretase with its substrate could result in the parallel binding of different substrate molecules at the docking site and the active site. The C-terminal domain of the substrate bound at the docking site can interact with the most dynamic presenilin sites at the cytosolic end of the active site tunnel. Such interactions can inhibit the ongoing catalytic activity and increase the production of the longer, more hydrophobic, and more toxic Aβ proteins. Similar disruptions in dynamic presenilin structures can be observed with different drugs and disease-causing mutations. Both, C99-βCTF-APP substrate and its different Aβ products, can support the toxic aggregation. The aggregation depends on the substrate N-terminal domain. Thus, the C99-βCTF-APP substrate and β-secretase path can be more toxic than the C83-αCTF-APP substrate and α-secretase path. Nicastrin can control the toxic aggregation in the closed conformation. The binding of the C99-βCTF-APP substrate to γ-secretase can be controlled by substrate channeling between the nicastrin and β-secretase. We conclude that the presented two-substrate mechanism could explain the pathogenic changes in γ-secretase activity and Aβ metabolism in different sporadic and familial cases of Alzheimer’s disease. Future drug-development efforts should target different cellular mechanisms that regulate the optimal balance between γ-secretase activity and amyloid metabolism. Full article
(This article belongs to the Special Issue Exploring Emergent Phenomena in Molecules or Nanostructures)
Show Figures

Graphical abstract

13 pages, 2255 KB  
Article
Maternal High Fat Diet Anticipates the AD-like Phenotype in 3xTg-AD Mice by Epigenetic Dysregulation of Aβ Metabolism
by Francesca Natale, Matteo Spinelli, Marco Rinaudo, Sara Cocco, Ida Nifo Sarrapochiello, Salvatore Fusco and Claudio Grassi
Cells 2023, 12(2), 220; https://doi.org/10.3390/cells12020220 - 4 Jan 2023
Cited by 11 | Viewed by 3008
Abstract
Maternal overnutrition has been reported to affect brain plasticity of the offspring by altering gene expression, regulating both synaptic plasticity and adult neurogenesis. However, whether perinatal metabolic stress may influence the accumulation of misfolded proteins and the development of neurodegeneration remains to be [...] Read more.
Maternal overnutrition has been reported to affect brain plasticity of the offspring by altering gene expression, regulating both synaptic plasticity and adult neurogenesis. However, whether perinatal metabolic stress may influence the accumulation of misfolded proteins and the development of neurodegeneration remains to be clarified. We investigated the impact of maternal high fat diet (HFD) in an experimental model of Alzheimer’s disease (AD). The 3xTg-AD mice born to overfed mothers showed an impairment of synaptic plasticity and cognitive deficits earlier than controls. Maternal HFD also altered the expression of genes regulating amyloid-β-protein (Aβ) metabolism (i.e., Bace1, Ern1, Ide and Nicastrin) and enhanced Aβ deposition in the hippocampus. Finally, we found an epigenetic derangement and an aberrant recruitment of transcription factors NF-kB and STAT3 and chromatin remodeler HDAC2 on the regulatory sequences of the same genes. Collectively, our data indicate that early life metabolic stress worsens the AD phenotype via epigenetic alteration of genes regulating Aβ synthesis and clearance. Full article
(This article belongs to the Special Issue Epigenetic Mechanisms Underlying Ageing and Age-Related Diseases)
Show Figures

Figure 1

31 pages, 10384 KB  
Article
Expression of Amyloid Precursor Protein, Caveolin-1, Alpha-, Beta-, and Gamma-Secretases in Penumbra Cells after Photothrombotic Stroke and Evaluation of Neuroprotective Effect of Secretase and Caveolin-1 Inhibitors
by Svetlana Sharifulina, Andrey Khaitin, Valeria Guzenko, Yuliya Kalyuzhnaya, Valentina Dzreyan, Alexandr Logvinov, Natalia Dobaeva, Yan Li, Lei Chen, Bin He and Svetlana Demyanenko
Biomedicines 2022, 10(10), 2655; https://doi.org/10.3390/biomedicines10102655 - 20 Oct 2022
Cited by 5 | Viewed by 3353
Abstract
Our studies reveal changes in the expression of the main participants in the processing of amyloid precursor protein (APP) in neurons and astrocytes after photothrombotic stroke (PTS). Here we show the increase in the level of N- and C-terminal fragments of APP in [...] Read more.
Our studies reveal changes in the expression of the main participants in the processing of amyloid precursor protein (APP) in neurons and astrocytes after photothrombotic stroke (PTS). Here we show the increase in the level of N- and C-terminal fragments of APP in the cytoplasm of ischemic penumbra cells at 24 h after PTS and their co-immunoprecipitation with caveolin-1. The ADAM10 α-secretase level decreased in the rat brain cortex on the first day after PTS. Levels of γ-secretase complex proteins presenilin-1 and nicastrin were increased in astrocytes, but not in neurons, in the penumbra after PTS. Inhibitory analysis showed that these changes lead to neuronal death and activation of astrocytes in the early recovery period after PTS. The caveolin-1 inhibitor daidzein shifted APP processing towards Aβ synthesis, which caused astroglial activation. γ-secretase inhibitor DAPT down-regulated glial fibrillary acidic protein (GFAP) in astrocytes, prevented mouse cerebral cortex cells from PTS-induced apoptosis, and reduced the infarction volume. Thus, new generation γ-secretase inhibitors may be considered as potential agents for the treatment of stroke. Full article
Show Figures

Figure 1

14 pages, 3533 KB  
Article
Specific Mutations in Aph1 Cause γ-Secretase Activation
by Hikari Watanabe, Chika Yoshida, Masafumi Hidaka, Tomohisa Ogawa, Taisuke Tomita and Eugene Futai
Int. J. Mol. Sci. 2022, 23(1), 507; https://doi.org/10.3390/ijms23010507 - 3 Jan 2022
Cited by 9 | Viewed by 3687
Abstract
Amyloid beta peptides (Aβs) are generated from amyloid precursor protein (APP) through multiple cleavage steps mediated by γ-secretase, including endoproteolysis and carboxypeptidase-like trimming. The generation of neurotoxic Aβ42/43 species is enhanced by familial Alzheimer’s disease (FAD) mutations within the catalytic subunit of γ-secretase, [...] Read more.
Amyloid beta peptides (Aβs) are generated from amyloid precursor protein (APP) through multiple cleavage steps mediated by γ-secretase, including endoproteolysis and carboxypeptidase-like trimming. The generation of neurotoxic Aβ42/43 species is enhanced by familial Alzheimer’s disease (FAD) mutations within the catalytic subunit of γ-secretase, presenilin 1 (PS1). FAD mutations of PS1 cause partial loss-of-function and decrease the cleavage activity. Activating mutations, which have the opposite effect of FAD mutations, are important for studying Aβ production. Aph1 is a regulatory subunit of γ-secretase; it is presumed to function as a scaffold of the complex. In this study, we identified Aph1 mutations that are active in the absence of nicastrin (NCT) using a yeast γ-secretase assay. We analyzed these Aph1 mutations in the presence of NCT; we found that the L30F/T164A mutation is activating. When introduced in mouse embryonic fibroblasts, the mutation enhanced cleavage. The Aph1 mutants produced more short and long Aβs than did the wild-type Aph1, without an apparent modulatory function. The mutants did not change the amount of γ-secretase complex, suggesting that L30F/T164A enhances catalytic activity. Our results provide insights into the regulatory function of Aph1 in γ-secretase activity. Full article
Show Figures

Figure 1

19 pages, 3745 KB  
Article
Nicastrin-Like, a Novel Transmembrane Protein from Trypanosoma cruzi Associated to the Flagellar Pocket
by Guilherme Curty Lechuga, Paloma Napoleão-Pêgo, Larissa Rodrigues Gomes, Andressa da Matta Durans, David William Provance and Salvatore Giovanni De-Simone
Microorganisms 2021, 9(8), 1750; https://doi.org/10.3390/microorganisms9081750 - 17 Aug 2021
Cited by 4 | Viewed by 3440
Abstract
Nicastrin (NICT) is a transmembrane protein physically associated with the polytypical aspartyl protease presenilin that plays a vital role in the correct localization and stabilization of presenilin to the membrane-bound γ-secretase complex. This complex is involved in the regulation of a wide range [...] Read more.
Nicastrin (NICT) is a transmembrane protein physically associated with the polytypical aspartyl protease presenilin that plays a vital role in the correct localization and stabilization of presenilin to the membrane-bound γ-secretase complex. This complex is involved in the regulation of a wide range of cellular events, including cell signaling and the regulation of endocytosed membrane proteins for their trafficking and protein processing. Methods: In Trypanosoma cruzi, the causal agent of the Chagas disease, a NICT-like protein (Tc/NICT) was identified with a short C-terminus orthologous to the human protein, a large ectodomain (ECD) with numerous glycosylation sites and a single-core transmembrane domain containing a putative TM-domain (457GSVGA461) important for the γ-secretase complex activity. Results: Using the Spot-synthesis strategy with Chagasic patient sera, five extracellular epitopes were identified and synthetic forms were used to generate rabbit anti-Tc/NICT polyclonal serum that recognized a ~72-kDa molecule in immunoblots of T. cruzi epimastigote extracts. Confocal microscopy suggests that Tc/NICT is localized in the flagellar pocket, which is consistent with data from our previous studies with a T. cruzi presenilin-like protein. Phylogenetically, Tc/NICT was localized within a subgroup with the T. rangeli protein that is clearly detached from the other Trypanosomatidae, such as T. brucei. These results, together with a comparative analysis of the selected peptide sequence regions between the T. cruzi and mammalian proteins, suggest a divergence from the human NICT that might be relevant to Chagas disease pathology. As a whole, our data show that a NICT-like protein is expressed in the infective and replicative stages of T. cruzi and may be considered further evidence for a γ-secretase complex in trypanosomatids. Full article
Show Figures

Graphical abstract

16 pages, 2748 KB  
Article
Celastrol and Triptolide Suppress Stemness in Triple Negative Breast Cancer: Notch as a Therapeutic Target for Stem Cells
by Prabhu Ramamoorthy, Prasad Dandawate, Roy A. Jensen and Shrikant Anant
Biomedicines 2021, 9(5), 482; https://doi.org/10.3390/biomedicines9050482 - 28 Apr 2021
Cited by 42 | Viewed by 7425
Abstract
Triple negative breast cancer (TNBC) is observed in ~15% of breast cancers and results in poor survival and increased distant metastases. Within the tumor are present a small portion of cancer stem cells that drive tumorigenesis and metastasis. In this study, we aimed [...] Read more.
Triple negative breast cancer (TNBC) is observed in ~15% of breast cancers and results in poor survival and increased distant metastases. Within the tumor are present a small portion of cancer stem cells that drive tumorigenesis and metastasis. In this study, we aimed to elucidate whether the two natural compounds, celastrol and triptolide, inhibit stemness in TNBC. MDA-MB-231, BT20, and a patient-derived primary cells (PD-TNBC) were used in the study. Mammosphere assay was performed to assess the stemness. Both celastrol and triptolide treatment suppressed mammosphere formation. Furthermore, the compound suppressed expression of cancer stem cell marker proteins DCLK1, ALDH1, and CD133. Notch signaling plays a critical role in stem cells renewal. Both celastrol or triptolide reduced Notch -1 activation and expression of its downstream target proteins HES-1 and HEY-1. However, when NICD 1 was ectopically overexpressed in the cells, it partially rescued proliferation and mammosphere formation of the cells, supporting the role of notch signaling. Together, these data demonstrate that targeting stem cells and the notch signaling pathway may be an effective strategy for curtailing TNBC progression. Full article
(This article belongs to the Special Issue Novel Therapeutic Nutrient Molecules)
Show Figures

Figure 1

16 pages, 2723 KB  
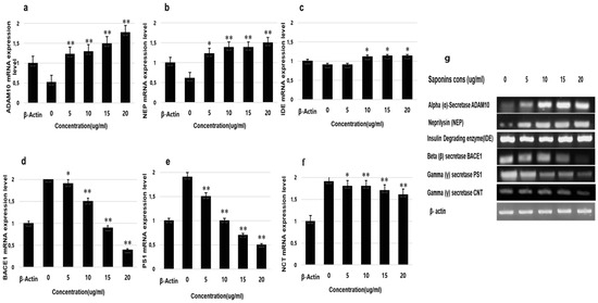
Article
Green Tea Seed Isolated Theasaponin E1 Ameliorates AD Promoting Neurotoxic Pathogenesis by Attenuating Aβ Peptide Levels in SweAPP N2a Cells
by Muhammad Imran Khan, Jin Hyuk Shin, Min Yong Kim, Tai Sun Shin and Jong Deog Kim
Molecules 2020, 25(10), 2334; https://doi.org/10.3390/molecules25102334 - 16 May 2020
Cited by 15 | Viewed by 4009
Abstract
Alzheimer’s disease (AD) is the most frequent type of dementia affecting memory, thinking and behaviour. The major hallmark of the disease is pathological neurodegeneration due to abnormal aggregation of Amyloid beta (Aβ) peptides generated by β- and γ-secretases via amyloidogenic pathway. Purpose of [...] Read more.
Alzheimer’s disease (AD) is the most frequent type of dementia affecting memory, thinking and behaviour. The major hallmark of the disease is pathological neurodegeneration due to abnormal aggregation of Amyloid beta (Aβ) peptides generated by β- and γ-secretases via amyloidogenic pathway. Purpose of the current study was to evaluate the effects of theasaponin E1 on the inhibition of Aβ producing β-, γ-secretases (BACE1, PS1 and NCT) and acetylcholinesterase and activation of the non-amyloidogenic APP processing α-secretase (ADAM10). Additionally, theasaponin E1 effects on Aβ degrading and clearing proteins neprilysin and insulin degrading enzyme (IDE). The effect of theasaponin E1 on these crucial enzymes was investigated by RT-PCR, ELISA, western blotting and fluorometric assays using mouse neuroblastoma cells (SweAPP N2a). theasaponin E1 was extracted and purified from green tea seed extract via HPLC, and N2a cells were treated with different concentrations for 24 h. Gene and protein expression in the cells were measured to determine the effects of activation and/or inhibition of theasaponin E1 on β- and γ-secretases, neprilysin and IDE. Results demonstrated that theasaponin E1 significantly reduced Aβ concentration by activation of the α-secretase and neprilysin. The activities of β- and γ-secretase were reduced in a dose-dependent manner due to downregulation of BACE1, presenilin, and nicastrin. Similarly, theasaponin E1 significantly reduced the activity of acetylcholinesterase. Overall, from the results it is concluded that green tea seed extracted saponin E1 possess therapeutic significance as a neuroprotective natural product recommended for the treatment of Alzheimer’s disease. Full article
Show Figures

Graphical abstract

14 pages, 2017 KB  
Article
Curcumin Derivative GT863 Inhibits Amyloid-Beta Production via Inhibition of Protein N-Glycosylation
by Yasuomi Urano, Mina Takahachi, Ryo Higashiura, Hitomi Fujiwara, Satoru Funamoto, So Imai, Eugene Futai, Michiaki Okuda, Hachiro Sugimoto and Noriko Noguchi
Cells 2020, 9(2), 349; https://doi.org/10.3390/cells9020349 - 3 Feb 2020
Cited by 25 | Viewed by 5021
Abstract
Amyloid-β (Aβ) peptides play a crucial role in the pathogenesis of Alzheimer’s disease (AD). Aβ production, aggregation, and clearance are thought to be important therapeutic targets for AD. Curcumin has been known to have an anti-amyloidogenic effect on AD. In the present study, [...] Read more.
Amyloid-β (Aβ) peptides play a crucial role in the pathogenesis of Alzheimer’s disease (AD). Aβ production, aggregation, and clearance are thought to be important therapeutic targets for AD. Curcumin has been known to have an anti-amyloidogenic effect on AD. In the present study, we performed screening analysis using a curcumin derivative library with the aim of finding derivatives effective in suppressing Aβ production with improved bioavailability of curcumin using CHO cells that stably express human amyloid-β precursor protein and using human neuroblastoma SH-SY5Y cells. We found that the curcumin derivative GT863/PE859, which has been shown to have an inhibitory effect on Aβ and tau aggregation in vivo, was more effective than curcumin itself in reducing Aβ secretion. We further found that GT863 inhibited neither β- nor γ-secretase activity, but did suppress γ-secretase-mediated cleavage in a substrate-dependent manner. We further found that GT863 suppressed N-linked glycosylation, including that of the γ-secretase subunit nicastrin. We also found that mannosidase inhibitors that block the mannose trimming step of N-glycosylation suppressed Aβ production in a similar fashion, as was observed as a result of treatment with GT863. Collectively, these results suggest that GT863 downregulates N-glycosylation, resulting in suppression of Aβ production without affecting secretase activity. Full article
Show Figures

Figure 1

16 pages, 3879 KB  
Article
De-Glycyrrhizinated Licorice Extract Attenuates High Glucose-Stimulated Renal Tubular Epithelial–Mesenchymal Transition via Suppressing the Notch2 Signaling Pathway
by Yung-Chien Hsu, Pey-Jium Chang, Chun-Wu Tung, Ya-Hsueh Shih, Wen-Chiu Ni, Yi-Chen Li, Takuhiro Uto, Yukihiro Shoyama, Cheng Ho and Chun-Liang Lin
Cells 2020, 9(1), 125; https://doi.org/10.3390/cells9010125 - 5 Jan 2020
Cited by 22 | Viewed by 4758
Abstract
Tubulointerstitial fibrosis is a major pathological hallmark of diabetic nephropathy. Increasing evidence has shown that epithelial-to-mesenchymal transition (EMT) of renal proximal tubular cells plays a crucial role in tubulointerstitial fibrosis. Herein, we aimed to elucidate the detailed mechanism of EMT in renal tubular [...] Read more.
Tubulointerstitial fibrosis is a major pathological hallmark of diabetic nephropathy. Increasing evidence has shown that epithelial-to-mesenchymal transition (EMT) of renal proximal tubular cells plays a crucial role in tubulointerstitial fibrosis. Herein, we aimed to elucidate the detailed mechanism of EMT in renal tubular cells under high glucose (HG) conditions, and to investigate the potential of licorice, a medicinal herb, to inhibit HG-induced EMT. Our results showed that renal tubular epithelial cells (normal rat kidney cell clone 52E; NRK-52E) exposed to HG resulted in EMT induction characterized by increased fibronectin and α-SMA (alpha-smooth muscle actin) but decreased E-cadherin. Elevated levels of cleaved Notch2, MAML-1 (mastermind-like transcriptional coactivator 1), nicastrin, Jagged-1 and Delta-like 1 were also concomitantly detected in HG-cultured cells. Importantly, pharmacological inhibition, small interfering RNA (siRNA)-mediated depletion or overexpression of the key components of Notch2 signaling in NRK-52E cells supported that the activated Notch2 pathway is essential for tubular EMT. Moreover, we found that licorice extract (LE) with or without glycyrrhizin, one of bioactive components in licorice, effectively blocked HG-triggered EMT in NRK-52E cells, mainly through suppressing the Notch2 pathway. Our findings therefore suggest that Notch2-mediated renal tubular EMT could be a therapeutic target in diabetic nephropathy, and both LE and de-glycyrrhizinated LE could have therapeutic potential to attenuate renal tubular EMT and fibrosis. Full article
(This article belongs to the Section Cellular Pathology)
Show Figures

Figure 1

21 pages, 2834 KB  
Article
Vitamin D and Its Analogues Decrease Amyloid-β (Aβ) Formation and Increase Aβ-Degradation
by Marcus O. W. Grimm, Andrea Thiel, Anna A. Lauer, Jakob Winkler, Johannes Lehmann, Liesa Regner, Christopher Nelke, Daniel Janitschke, Céline Benoist, Olga Streidenberger, Hannah Stötzel, Kristina Endres, Christian Herr, Christoph Beisswenger, Heike S. Grimm, Robert Bals, Frank Lammert and Tobias Hartmann
Int. J. Mol. Sci. 2017, 18(12), 2764; https://doi.org/10.3390/ijms18122764 - 19 Dec 2017
Cited by 83 | Viewed by 9183
Abstract
Alzheimer’s disease (AD) is characterized by extracellular plaques in the brain, mainly consisting of amyloid-β (Aβ), as derived from sequential cleavage of the amyloid precursor protein. Epidemiological studies suggest a tight link between hypovitaminosis of the secosteroid vitamin D and AD. Besides decreased [...] Read more.
Alzheimer’s disease (AD) is characterized by extracellular plaques in the brain, mainly consisting of amyloid-β (Aβ), as derived from sequential cleavage of the amyloid precursor protein. Epidemiological studies suggest a tight link between hypovitaminosis of the secosteroid vitamin D and AD. Besides decreased vitamin D level in AD patients, an effect of vitamin D on Aβ-homeostasis is discussed. However, the exact underlying mechanisms remain to be elucidated and nothing is known about the potential effect of vitamin D analogues. Here we systematically investigate the effect of vitamin D and therapeutically used analogues (maxacalcitol, calcipotriol, alfacalcidol, paricalcitol, doxercalciferol) on AD-relevant mechanisms. D2 and D3 analogues decreased Aβ-production and increased Aβ-degradation in neuroblastoma cells or vitamin D deficient mouse brains. Effects were mediated by affecting the Aβ-producing enzymes BACE1 and γ-secretase. A reduced secretase activity was accompanied by a decreased BACE1 protein level and nicastrin expression, an essential component of the γ-secretase. Vitamin D and analogues decreased β-secretase activity, not only in mouse brains with mild vitamin D hypovitaminosis, but also in non-deficient mouse brains. Our results further strengthen the link between AD and vitamin D, suggesting that supplementation of vitamin D or vitamin D analogues might have beneficial effects in AD prevention. Full article
Show Figures

Graphical abstract

11 pages, 2480 KB  
Article
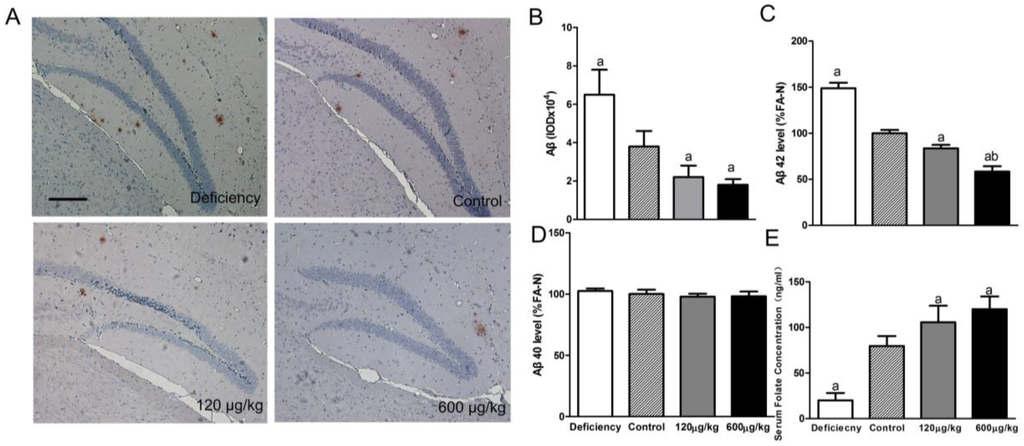
Effects of Folic Acid on Secretases Involved in Aβ Deposition in APP/PS1 Mice
by Tian Tian, Dong Bai, Wen Li, Guo-Wei Huang and Huan Liu
Nutrients 2016, 8(9), 556; https://doi.org/10.3390/nu8090556 - 9 Sep 2016
Cited by 22 | Viewed by 6291
Abstract
Alzheimer’s disease (AD) is the most common type of dementia. Amyloid-β protein (Aβ) is identified as the core protein of neuritic plaques. Aβ is generated by the sequential cleavage of the amyloid precursor protein (APP) via the APP cleaving enzyme (α-secretase, or β-secretase) [...] Read more.
Alzheimer’s disease (AD) is the most common type of dementia. Amyloid-β protein (Aβ) is identified as the core protein of neuritic plaques. Aβ is generated by the sequential cleavage of the amyloid precursor protein (APP) via the APP cleaving enzyme (α-secretase, or β-secretase) and γ-secretase. Previous studies indicated that folate deficiency elevated Aβ deposition in APP/PS1 mice, and this rise was prevented by folic acid. In the present study, we aimed to investigate whether folic acid could influence the generation of Aβ by regulating α-, β-, and γ-secretase. Herein, we demonstrated that folic acid reduced the deposition of Aβ42 in APP/PS1 mice brain by decreasing the mRNA and protein expressions of β-secretase [beta-site APP-cleaving enzyme 1 (BACE1)] and γ-secretase complex catalytic component—presenilin 1 (PS1)—in APP/PS1 mice brain. Meanwhile, folic acid increased the levels of ADAM9 and ADAM10, which are important α-secretases in ADAM (a disintegrin and metalloprotease) family. However, folic acid has no impact on the protein expression of nicastrin (Nct), another component of γ-secretase complex. Moreover, folic acid regulated the expression of miR-126-3p and miR-339-5p, which target ADAM9 and BACE1, respectively. Taken together, the effect of folic acid on Aβ deposition may relate to making APP metabolism through non-amyloidogenic pathway by decreasing β-secretase and increasing α-secretase. MicroRNA (miRNA) may involve in the regulation mechanism of folic acid on secretase expression. Full article
Show Figures

Figure 1

Back to TopTop