Sign in to use this feature.

Years

Between: -

Subjects

remove_circle_outline
remove_circle_outline
remove_circle_outline
remove_circle_outline

Journals

Article Types

Countries / Regions

Search Results (4)

Search Parameters:
Keywords = myrosinase type 1

Order results
Result details
Results per page
Select all
Export citation of selected articles as:
14 pages, 3332 KB  
Article
Myrosin Cells and Myrosinase Expression Pattern in Nasturtium (Tropaeolum majus L.)
by Ivana Restović, Nives Kević, Laura Kurić, Ivana Bočina, Elma Vuko and Ivana Vrca
Agronomy 2024, 14(9), 2108; https://doi.org/10.3390/agronomy14092108 - 16 Sep 2024
Viewed by 1950
Abstract
Plants from the Brassicales order are known for the presence of a glucosinolate–myrosinase link, which is an important protection strategy against multiple stressors. The main goal of this study was to investigate the presence of the myrosinase enzyme and reveal the myrosin cell [...] Read more.
Plants from the Brassicales order are known for the presence of a glucosinolate–myrosinase link, which is an important protection strategy against multiple stressors. The main goal of this study was to investigate the presence of the myrosinase enzyme and reveal the myrosin cell ultrastructure in the vegetative organs of nasturtium. The presence, localisation and expression of the enzyme myrosinase type 1 (TGG1) at different developmental stages of Tropaeolum majus L. (nasturtium) were investigated using immunohistochemical and immunofluorescent techniques. The expression of myrosinase was detected in the vegetative organs of T. majus. During plant development, within four consecutive weeks, a decrease in myrosinase expression was noticed in all studied plant organs. The location of greater myrosinase accumulation and activity is shown to be the root, contrary to the nasturtium stem and leaf, where we found the lowest myrosinase expression. Transmission electron microscopy was used to reveal the ultrastructural features of the myrosin cells of nasturtium. Myrosin cells are usually scattered between parenchyma cells and S-cells. Mostly, they are rectangular or slightly elongated in shape and can be recognised by an electron-dense large central vacuole and an expanded rough endoplasmic reticulum. The results of this study provide new data on myrosin cell morphology and the expression pattern of myrosinase in T. majus. Full article
(This article belongs to the Section Plant-Crop Biology and Biochemistry)
Show Figures

Figure 1

19 pages, 5817 KB  
Article
The Imaging of Guard Cells of thioglucosidase (tgg) Mutants of Arabidopsis Further Links Plant Chemical Defence Systems with Physical Defence Barriers
by Ishita Ahuja, Ralph Kissen, Linh Hoang, Bjørnar Sporsheim, Kari K. Halle, Silje Aase Wolff, Samina Jam Nazeer Ahmad, Jam Nazeer Ahmad and Atle M. Bones
Cells 2021, 10(2), 227; https://doi.org/10.3390/cells10020227 - 25 Jan 2021
Cited by 8 | Viewed by 4372
Abstract
The glucosinolate-myrosinase system is a well-known plant chemical defence system. Two functional myrosinase-encoding genes, THIOGLUCOSIDASE 1 (TGG1) and THIOGLUCOSIDASE 2 (TGG2), express in aerial tissues of Arabidopsis. TGG1 expresses in guard cells (GCs) and is also a highly abundant [...] Read more.
The glucosinolate-myrosinase system is a well-known plant chemical defence system. Two functional myrosinase-encoding genes, THIOGLUCOSIDASE 1 (TGG1) and THIOGLUCOSIDASE 2 (TGG2), express in aerial tissues of Arabidopsis. TGG1 expresses in guard cells (GCs) and is also a highly abundant protein in GCs. Recently, by studying wild type (WT), tgg single, and double mutants, we showed a novel association between the glucosinolate-myrosinase system defence system, and a physical barrier, the cuticle. In the current study, using imaging techniques, we further analysed stomata and ultrastructure of GCs of WT, tgg1, tgg2 single, and tgg1 tgg2 double mutants. The tgg mutants showed distinctive features of GCs. The GCs of tgg1 and tgg1 tgg2 mutants showed vacuoles that had less electron-dense granular material. Both tgg single mutants had bigger stomata complexes. The WT and tgg mutants also showed variations for cell wall, chloroplasts, and starch grains of GCs. Abscisic acid (ABA)-treated stomata showed that the stomatal aperture was reduced in tgg1 single and tgg1 tgg2 double mutants. The data provides a basis to perform comprehensive further studies to find physiological and molecular mechanisms associated with ultrastructure differences in tgg mutants. We speculate that the absence of myrosinase alters the endogenous chemical composition, hence affecting the physical structure of plants and the plants’ physical defence barriers. Full article
(This article belongs to the Section Plant, Algae and Fungi Cell Biology)
Show Figures

Figure 1

11 pages, 2186 KB  
Article
Microwave-Assisted versus Conventional Isolation of Glucosinolate Degradation Products from Lunaria annua L. and Their Cytotoxic Activity
by Ivica Blažević, Azra Đulović, Vedrana Čikeš Čulić, Marijana Popović, Xavier Guillot, Franko Burčul and Patrick Rollin
Biomolecules 2020, 10(2), 215; https://doi.org/10.3390/biom10020215 - 1 Feb 2020
Cited by 18 | Viewed by 3526
Abstract
Glucosinolates (GSLs) from Lunaria annua L. seeds were analyzed qualitatively and quantitatively by their desulfo counterparts using UHPLC-DAD-MS/MS technique and by their volatile breakdown products, isothiocyanates (ITCs), using GC-MS technique. GSL breakdown products were obtained by conventional techniques (hydrodistillation in a Clevenger type [...] Read more.
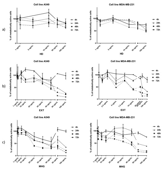
Glucosinolates (GSLs) from Lunaria annua L. seeds were analyzed qualitatively and quantitatively by their desulfo counterparts using UHPLC-DAD-MS/MS technique and by their volatile breakdown products, isothiocyanates (ITCs), using GC-MS technique. GSL breakdown products were obtained by conventional techniques (hydrodistillation in a Clevenger type apparatus (HD), CH2Cl2 extraction after myrosinase hydrolysis (EXT) for 24 h) as well as by modern techniques, microwave-assisted distillation (MAD) and microwave hydrodiffusion and gravity (MHG). Seven GSLs were identified as follows: isopropyl GSL (1), sec-butyl GSL (2), 5-(methylsulfinyl)pentyl GSL (3), 6-(methylsulfinyl)hexyl GSL (4), 5-(methylsulfanyl)pentyl GSL (5), 6-(methylsulfanyl)hexyl GSL (6), and benzyl GSL (7). Additionally, pent-4-enyl- and hex-5-enyl ITCs were detected in the volatile extracts. However, their corresponding GSLs were not detected using UHPLC-DAD-MS/MS. Thus, they are suggested to be formed during GC-MS analysis via thermolysis of 5-(methylsulfinyl)pentyl- and 6-(methylsulfinyl)hexyl ITCs, respectively. Volatile isolates were tested for their cytotoxic activity using MTT assay. EXT and MHG showed the best cytotoxic activity against human lung cancer cell line A549 during an incubation time of 72 h (IC50 18.8, and 33.5 μg/mL, respectively), and against breast cancer cell line MDA-MB-231 after 48 h (IC50 6.0 and 11.8 μg/mL, respectively). These activities can be attributed to the ITCs originating from 3 and 4. Full article
(This article belongs to the Section Natural and Bio-derived Molecules)
Show Figures

Figure 1

10 pages, 1293 KB  
Article
Metabolic Activity of Radish Sprouts Derived Isothiocyanates in Drosophila melanogaster
by Nieves Baenas, Stefanie Piegholdt, Anke Schloesser, Diego A. Moreno, Cristina García-Viguera, Gerald Rimbach and Anika E. Wagner
Int. J. Mol. Sci. 2016, 17(2), 251; https://doi.org/10.3390/ijms17020251 - 18 Feb 2016
Cited by 59 | Viewed by 11276
Abstract
We used Drosophila melanogaster as a model system to study the absorption, metabolism and potential health benefits of plant bioactives derived from radish sprouts (Raphanus sativus cv. Rambo), a Brassicaceae species rich in glucosinolates and other phytochemicals. Flies were subjected to a [...] Read more.
We used Drosophila melanogaster as a model system to study the absorption, metabolism and potential health benefits of plant bioactives derived from radish sprouts (Raphanus sativus cv. Rambo), a Brassicaceae species rich in glucosinolates and other phytochemicals. Flies were subjected to a diet supplemented with lyophilized radish sprouts (10.6 g/L) for 10 days, containing high amounts of glucoraphenin and glucoraphasatin, which can be hydrolyzed by myrosinase to the isothiocyanates sulforaphene and raphasatin, respectively. We demonstrate that Drosophila melanogaster takes up and metabolizes isothiocyanates from radish sprouts through the detection of the metabolite sulforaphane-cysteine in fly homogenates. Moreover, we report a decrease in the glucose content of flies, an upregulation of spargel expression, the Drosophila homolog of the mammalian PPARγ-coactivator 1 α, as well as the inhibition of α-amylase and α-glucosidase in vitro. Overall, we show that the consumption of radish sprouts affects energy metabolism in Drosophila melanogaster which is reflected by lower glucose levels and an increased expression of spargel, a central player in mitochondrial biogenesis. These processes are often affected in chronic diseases associated with aging, including type II diabetes mellitus. Full article
(This article belongs to the Section Biochemistry)
Show Figures

Graphical abstract

Back to TopTop