Sign in to use this feature.

Years

Between: -

Subjects

remove_circle_outline
remove_circle_outline
remove_circle_outline

Journals

Article Types

Countries / Regions

Search Results (4)

Search Parameters:
Keywords = muscle hypodensity

Order results
Result details
Results per page
Select all
Export citation of selected articles as:
11 pages, 1269 KB  
Case Report
An Atypical Case of Pancreatic Cancer with Mesenchymal Differentiation in a Patient with Primary Lung Adenocarcinoma: Insights into Tumor Biology and Novel Therapeutic Pathways
by Noura Abbas, Lama Zahreddine, Ayman Tawil, Mustafa Natout and Ali Shamseddine
Diagnostics 2024, 14(22), 2512; https://doi.org/10.3390/diagnostics14222512 - 9 Nov 2024
Cited by 1 | Viewed by 2732
Abstract
Background: Pancreatic cancer is among the malignancies with the poorest prognosis, largely due to its aggressive nature and resistance to conventional therapies. Case Summary: This report describes the case of a 69-year-old male patient with stage IV primary lung adenocarcinoma presenting [...] Read more.
Background: Pancreatic cancer is among the malignancies with the poorest prognosis, largely due to its aggressive nature and resistance to conventional therapies. Case Summary: This report describes the case of a 69-year-old male patient with stage IV primary lung adenocarcinoma presenting with high levels of programmed death-ligand 1 (PD-L1). Simultaneously, abdominal computed tomography (CT) showed a dilated pancreatic duct at the level of the pancreatic head and a hypodense lesion in the uncinate process involving the superior mesenteric artery. Fine-needle aspiration (FNA) of the pancreatic lesions was negative. After three cycles of chemoimmunotherapy, positron emission tomography–computed tomography (PET-CT) showed complete remission of the lung nodules, lymphadenopathy, and pleural thickening, as well as a decrease in the size of the pancreatic lesion. After another six months, a PET-CT scan showed a focal increased uptake in the pancreatic mass in the same location, indicating disease progression. A core biopsy of the pancreatic tumor showed atypical spindle cell morphology with positive staining for vimentin, characteristic of mesenchymal differentiation with no apparent epithelial features. Comprehensive molecular profiling through Caris Molecular Intelligence® revealed four genes with actionable mutations in the pancreatic tissue, including KRAS (p.G12D) and TP53 (p.R175H). These molecular findings suggested the diagnoses of sarcomatoid carcinoma and conventional pancreatic ductal adenocarcinoma with epithelial–mesenchymal transition. Primary mesenchymal tumors and neuroendocrine neoplasms were excluded because immunohistochemistry was negative for anaplastic lymphoma kinase (ALK), smooth muscle actin (SMA), desmin, CD34, signal transducer and activator of transcription 6 (STAT6), S100, HMB45, CD117, discovered on GIST-1 (DOG1), CD56, progesterone, and synaptophysin. However, despite multiple rounds of systemic chemotherapy, immunotherapy, and radiation, his pancreatic disease rapidly deteriorated and metastasized to the liver and bone. Conclusions: Despite multiple lines of treatment, the patient’s condition worsened and he succumbed to his pancreatic malignancy. This study highlights the clinical characteristics, diagnosis, and treatment of rare pancreatic cancer, emphasizing the importance of molecular testing and histopathological biomarkers in personalizing treatment. It also provides insights into promising therapeutic approaches for similar cases with an unusual presentation. Full article
(This article belongs to the Special Issue Diagnosis and Management of Pancreatic Cancer)
Show Figures

Graphical abstract

4 pages, 1322 KB  
Interesting Images
One Fell Swoop: Septic Muscle Embolism and Central Venous Catheter Infection Imaged with [18F] Fluorodeoxyglucose Positron Emission Tomography/Computed Tomography
by Luca Filippi, Annamaria Lacanfora and Francesco Garaci
Diagnostics 2024, 14(2), 180; https://doi.org/10.3390/diagnostics14020180 - 14 Jan 2024
Viewed by 1446
Abstract
We describe the case of a 43-year-old female with hereditary hemochromatosis, previously without cardiac issues, who presented with a severe fever (>40 to 41 °C) to our hospital. Initial assessments, including transthoracic echocardiography, showed no typical signs of infective endocarditis. A contrast-enhanced CT [...] Read more.
We describe the case of a 43-year-old female with hereditary hemochromatosis, previously without cardiac issues, who presented with a severe fever (>40 to 41 °C) to our hospital. Initial assessments, including transthoracic echocardiography, showed no typical signs of infective endocarditis. A contrast-enhanced CT scan revealed a hypodense area in the right subscapular muscle, alongside pleural thicknesses. Due to the critical condition, a central venous catheter (CVC) was implanted for immediate intravenous treatment. Subsequent blood cultures, positive for Staphylococcus aureus, and transesophageal echocardiography led to a diagnosis of multivalvular infective endocarditis (MIE). Subsequently, the patient underwent positron emission tomography/computed tomography (PET/CT) with [18F]Fluorodeoxyglucose ([18F]FDG), which detected increased tracer incorporation in the muscle lesion, CVC, and pleural thicknesses. The final diagnosis was CVC infection and septic embolism to the subscapular muscle in a patient with pleuritis. This case showcases the critical role of [18F]FDG PET/CT as whole-body imaging modality in diagnosing and managing complex infective cases. Full article
(This article belongs to the Special Issue Unusual Cases in Nuclear Medicine)
Show Figures

Figure 1

12 pages, 1677 KB  
Article
Deep-Learning Assessed Muscular Hypodensity Independently Predicts Mortality in DLBCL Patients Younger Than 60 Years
by Maxime Jullien, Benoit Tessoulin, Hervé Ghesquières, Lucie Oberic, Franck Morschhauser, Hervé Tilly, Vincent Ribrag, Thierry Lamy, Catherine Thieblemont, Bruno Villemagne, Rémy Gressin, Kamal Bouabdallah, Corinne Haioun, Gandhi Damaj, Luc-Matthieu Fornecker, Jean-Marc Schiano De Colella, Pierre Feugier, Olivier Hermine, Guillaume Cartron, Christophe Bonnet, Marc André, Clément Bailly, René-Olivier Casasnovas and Steven Le Gouilladd Show full author list remove Hide full author list
Cancers 2021, 13(18), 4503; https://doi.org/10.3390/cancers13184503 - 7 Sep 2021
Cited by 9 | Viewed by 3292
Abstract
Background. Muscle depletion (MD) assessed by computed tomography (CT) has been shown to be a predictive marker in solid tumors, but has not been assessed in non-Hodgkin’s lymphomas. Despite software improvements, MD measurement remains highly time-consuming and cannot be used in clinical practice. [...] Read more.
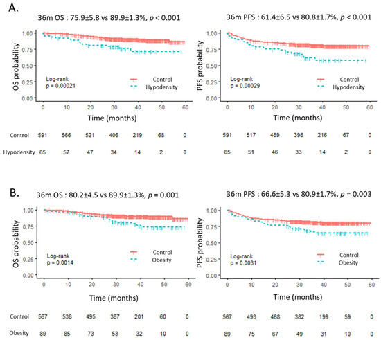
Background. Muscle depletion (MD) assessed by computed tomography (CT) has been shown to be a predictive marker in solid tumors, but has not been assessed in non-Hodgkin’s lymphomas. Despite software improvements, MD measurement remains highly time-consuming and cannot be used in clinical practice. Methods. This study reports the development of a Deep-Learning automatic segmentation algorithm (DLASA) to measure MD, and investigate its predictive value in a cohort of 656 diffuse large B cell lymphoma (DLBCL) patients included in the GAINED phase III prospective trial (NCT01659099). Results. After training on a series of 190 patients, the DLASA achieved a Dice coefficient of 0.97 ± 0.03. In the cohort, the median skeletal muscle index was 50.2 cm2/m2 and median muscle attenuation (MA) was 36.1 Hounsfield units (HU). No impact of sarcopenia was found on either progression free survival (PFS) or overall survival (OS). Muscular hypodensity, defined as MA below the tenth percentile according to sex, was associated with a lower OS and PFS, respectively (HR = 2.80 (95% CI 1.58–4.95), p < 0.001, and HR = 2.22 (95% CI 1.43–3.45), p < 0.001). Muscular hypodensity appears to be an independent risk factor for mortality in DLBCL and because of DLASA can be estimated in routine practice. Full article
(This article belongs to the Section Cancer Therapy)
Show Figures

Figure 1

4 pages, 655 KB  
Case Report
Chiari Type I Malformation with Cervicothoracic Syringomyelia Subterfuge as Flail Arm Syndrome
by Zhi Gang  Lan, Seidu A. Richard, Jiagang Liu and Chao You
Neurol. Int. 2017, 9(3), 7336; https://doi.org/10.4081/ni.2017.7336 - 2 Oct 2017
Cited by 5 | Viewed by 746
Abstract
Chiari type I malformation with cervicothoracic syringomyelia although very common in clinical practice usually in children can progress slowly and mimic muscular dystrophies in adulthood. We present a rare adult case of Chiari type I malformation with cervicothoracic syringomyelia subterfuge as Flail arm [...] Read more.
Chiari type I malformation with cervicothoracic syringomyelia although very common in clinical practice usually in children can progress slowly and mimic muscular dystrophies in adulthood. We present a rare adult case of Chiari type I malformation with cervicothoracic syringomyelia subterfuge as Flail arm syndrome. A 44- year-old man was diagnosed with congenital type I Chiari malformation with cervicothoracic syringomyelia about 21 years ago without surgery. His health status deteriorated over the years until 21 days prior to presentation when he had severe pain in the right knee. In his upper limbs, he had bilateral corresponding severe weakness of 0/5 proximal strength and 0/5 strength in his distal muscles. Magnetic resonance imaging (MRI) revealed an enlargement of the spinal cord from C1-C4 level with a mass that appeared hypo-dense on T1 and hyperdense on T2. Syringomyelia is a potentially serious neurologic condition that can mimic other neuromuscular disorders. Early detection and diagnosis with MRI is crucial to avoid irreversible neurological complications. We suggest that whether asymptomatic or symptomatic, decompressive surgery should be carried out to allow for free flow of cerebrospinal fluid thereby improving the quality of life for the patient. Full article
Back to TopTop