Due to scheduled maintenance work on our servers, there may be short service disruptions on this website between 11:00 and 12:00 CEST on March 28th.
Sign in to use this feature.

Years

Between: -

Subjects

remove_circle_outline
remove_circle_outline
remove_circle_outline
remove_circle_outline
remove_circle_outline
remove_circle_outline
remove_circle_outline
remove_circle_outline
remove_circle_outline

Journals

remove_circle_outline
remove_circle_outline
remove_circle_outline
remove_circle_outline
remove_circle_outline
remove_circle_outline
remove_circle_outline
remove_circle_outline
remove_circle_outline
remove_circle_outline
remove_circle_outline
remove_circle_outline
remove_circle_outline
remove_circle_outline
remove_circle_outline
remove_circle_outline

Article Types

Countries / Regions

remove_circle_outline
remove_circle_outline
remove_circle_outline
remove_circle_outline
remove_circle_outline
remove_circle_outline

Search Results (2,373)

Search Parameters:
Keywords = multivariable Cox regression

Order results
Result details
Results per page
Select all
Export citation of selected articles as:
15 pages, 371 KB  
Article
Oncological Outcomes of Breast-Conserving Surgery Versus Mastectomy in Invasive Lobular Breast Cancer: A Single-Center Retrospective Study
by Simay Çokgezer, Aysel Safaraliyeva, Sevde Topuz, Muhammet Şenkal, Naziye Ak, Didem Taştekin and Pınar Mualla Saip
Medicina 2026, 62(4), 645; https://doi.org/10.3390/medicina62040645 (registering DOI) - 28 Mar 2026
Abstract
Background and Objectives: Invasive lobular carcinoma (ILC) is a breast cancer subtype with a controversial surgical management due to its diffuse infiltrative growth pattern and increased tendency for multicentricity. This study aimed to compare the effects of breast-conserving surgery (BCS) and mastectomy [...] Read more.
Background and Objectives: Invasive lobular carcinoma (ILC) is a breast cancer subtype with a controversial surgical management due to its diffuse infiltrative growth pattern and increased tendency for multicentricity. This study aimed to compare the effects of breast-conserving surgery (BCS) and mastectomy on long-term overall survival (OS) and progression-free survival (PFS) in patients diagnosed with ILC. Materials and Methods: In this single-center, retrospective, observational study, 255 patients with histopathologically confirmed ILC between 2017 and 2025 were included. Patients who underwent surgical treatment were divided into two groups according to the surgical approach: BCS (n = 94) and mastectomy (n = 141). Survival analyses were performed using the Kaplan–Meier method, and comparisons between groups were assessed with the log-rank test. Factors affecting survival were evaluated using Cox regression analysis. Results: The median age of the patients was 53 years (range, 28–85), and the median follow-up duration was 31.8 months. Of the cases, 76.9% were classic-type ILC and 70.9% had stage I–II disease. The rate of negative surgical margins was 87.6%. No statistically significant differences were observed between the BCS and mastectomy groups in terms of estimated median PFS (87.4 months vs. 86.7 months; p > 0.05) or estimated median OS (87.7 months vs. 115.7 months; p > 0.05). Multivariable analyses demonstrated that the type of surgery was not an independent prognostic factor for survival. Conclusions: This study shows that, with appropriate patient selection and adequate surgical margin control, BCS provides oncologic survival outcomes comparable to mastectomy in ILC. The choice of surgical approach should be individualized based on tumor biology, stage, and multidisciplinary evaluation rather than histological subtype alone. Full article
(This article belongs to the Section Oncology)
Show Figures

Figure 1

21 pages, 1435 KB  
Article
Growth Differentiation Factor 15 as a Biomarker of Cardiovascular Burden and Mortality in a Population-Based Cohort
by Beatriz Martín-Carro, Leticia Nieto-García, Clara Sánchez-Pablo, Alfonso Romero, Candelas Pérez del Villar, José Carlos Moyano-Maza, José María de Dios, David Cembrero-Fuciños, Estefanía Iglesias-Colino, Paz Muriel, Sara Cascón, Amalia Martín-Gallego, Baltasara Blázquez, Inmaculada Santolino, Lydia González-González, María Concepción Ledesma, Javier Maillo-Seco, Jesús Rodríguez-Nieto, Luis M. Rincón, María Isidoro-García and Pedro L Sánchezadd Show full author list remove Hide full author list
Int. J. Mol. Sci. 2026, 27(7), 3078; https://doi.org/10.3390/ijms27073078 (registering DOI) - 27 Mar 2026
Abstract
Growth differentiation factor 15 (GDF15) is a stress-responsive cytokine strongly associated with aging, multimorbidity, and cardiovascular disease. Although prior studies have established its prognostic value in high-risk populations, its role in the general population remains less defined. The aim of this study was [...] Read more.
Growth differentiation factor 15 (GDF15) is a stress-responsive cytokine strongly associated with aging, multimorbidity, and cardiovascular disease. Although prior studies have established its prognostic value in high-risk populations, its role in the general population remains less defined. The aim of this study was to determine if there is an association between plasma GDF15 levels, heart disease and mortality in a representative population-based cohort. We analyzed 1532 participants (mean age 55 years; 54.6% women) with available baseline plasma GDF15 concentrations. Participants were stratified according to an optimal cutoff of 1081 pg/mL, derived from ROC curve analysis for mortality. Associations with prevalent heart disease were assessed using multivariable logistic regression models adjusted for cardiovascular risk factors and NT-proBNP. Mortality was analyzed using Cox proportional hazards models, with model performance evaluated by C-index and time-dependent ROC curves. Individuals with GDF15 > 1081 pg/mL were older and exhibited a more adverse cardiometabolic profile with higher prevalence of comorbidities. Elevated GDF15 was independently associated with ischemic cardiomyopathy (OR 3.34, 95% CI: 1.38–8.11), particularly in men (OR 4.26, 95% CI: 1.40–12.96), but not in women. No independent associations were observed with arrhythmias, valvulopathy, or heart failure after adjustment for NT-proBNP. During a median follow-up of 6.2 years, 51 deaths occurred. Elevated GDF15 independently predicted all-cause mortality (HR 2.47, 95% CI: 1.19–5.13), though the effect was attenuated after adjustment for NT-proBNP. GDF15 improved model discrimination (ΔC-index = +0.01; LRT p = 0.011) and showed robust time-dependent predictive ability, with AUCs of 0.76, 0.82, and 0.85 at 2, 4, and 6 years, respectively. In this population-based cohort, elevated GDF15 identified individuals with an adverse health profile, was independently associated with ischemic cardiomyopathy in men, and predicted mortality. Although its incremental predictive value over NT-proBNP was modest, GDF15 could provide complementary biological information and may enhance multimarker strategies for cardiovascular risk stratification in the general population. Full article
12 pages, 276 KB  
Article
Development of an Enomogram to Predict the Rate of Loco-Regional Control After Radio-Chemotherapy and Interventional Radiotherapy in Cervical Cancer
by Valentina Lancellotta, Maria Concetta La Milia, Rosa Autorino, Enrico Rosa, Bruno Fionda, Pierpaolo Dragonetti, Leonardo Bannoni, Raffaella Michela Rinaldi, Viola De Luca, Gerardina Stimato, Angeles Rovirosa, Alessio Giuseppe Morganti, Gabriella Macchia, Benedetta Gui, Nicolò Bizzarri, Anna Fagotti, Luca Tagliaferri and Maria Antonietta Gambacorta
Cancers 2026, 18(7), 1096; https://doi.org/10.3390/cancers18071096 - 27 Mar 2026
Abstract
Objective: This study aimed to explore the association between magnetic resonance imaging (MRI)-derived volumetric parameters and oncological outcomes, and to develop an exploratory predictive model based on these variables in patients treated with radio-chemotherapy followed by interventional radiotherapy (modern brachytherapy). Methods: [...] Read more.
Objective: This study aimed to explore the association between magnetic resonance imaging (MRI)-derived volumetric parameters and oncological outcomes, and to develop an exploratory predictive model based on these variables in patients treated with radio-chemotherapy followed by interventional radiotherapy (modern brachytherapy). Methods: Between 2021 and 2024, 300 patients with cervical cancer were included. Treatment was pelvic external beam radiotherapy with platinum-based chemotherapy followed by interventional radiotherapy boost. Volumetric MRI variables for each patient were collected. Time-to-event analyses were performed using Cox proportional hazards regression models. Model performance was assessed using Harrell’s concordance index (C-index). Internal validation was performed using bootstrap resampling. Based on the final multivariable Cox models, an interactive web-based nomogram was developed as an exploratory tool to visualize model-derived associations. Results: Median tumor volume decreased from 69.4 cm3 at diagnosis to 2.2 cm3 at the time of pre-interventional radiotherapy MRI, with a median reduction rate of 96.5%. Tumor volume at diagnosis, pre-interventional radiotherapy residual tumor volume, and tumor volume reduction rate were significantly associated with loco-regional relapse and distant metastases in Cox regression analyses. These findings were consistent across univariate and multivariable models. Internal validation confirmed the stability of the model estimates. Conclusions: MRI-derived volumetric parameters are associated with oncological outcomes in patients with locally advanced cervical cancer and may contribute to early risk stratification. The proposed model should be considered exploratory and hypothesis-generating and requires external validation before any potential clinical application. Full article
(This article belongs to the Special Issue Brachytherapy in the Treatment of Gynaecological Malignancies)
Show Figures

Graphical abstract

18 pages, 3353 KB  
Article
Extrusion-Free Survival Following Glaucoma Drainage Device Surgery Using EverPatch Plus®: A Propensity Score-Weighted Survival Analysis
by Etsuo Chihara, Tomoyuki Chihara and Leon W. Herndon
J. Clin. Med. 2026, 15(7), 2570; https://doi.org/10.3390/jcm15072570 - 27 Mar 2026
Abstract
Objectives: To evaluate extrusion-free survival following glaucoma drainage device (GDD) surgery using EverPatch Plus® (EPP) and to compare outcomes with conventional scleral patch grafts using propensity score-based survival analysis. Methods: This retrospective case series included 19 eyes that underwent GDD [...] Read more.
Objectives: To evaluate extrusion-free survival following glaucoma drainage device (GDD) surgery using EverPatch Plus® (EPP) and to compare outcomes with conventional scleral patch grafts using propensity score-based survival analysis. Methods: This retrospective case series included 19 eyes that underwent GDD implantation with EPP and 105 control eyes that received conventional scleral patch grafts. To adjust for baseline differences between groups, a propensity score for EPP use was estimated using multivariable logistic regression incorporating age, neovascular glaucoma, prior glaucoma surgery, preoperative intraocular pressure, number of glaucoma medications, quadrant of patch placement, and insertion site. Stabilized inverse probability of treatment weighting was applied. Because follow-up in the EPP group did not exceed 12 months, all survival analyses were performed with administrative censoring at 12 months. Extrusion-free survival was evaluated using Kaplan–Meier analysis and Cox proportional hazards modeling. Results: Within 12 months, patch extrusion occurred in 3 of 19 eyes in the EPP group and in 12 of 105 eyes in the scleral patch graft group. After inverse probability weighting, estimated 12-month extrusion-free survival was 83.5% in the EPP group and 88.4% in the scleral patch graft group, indicating no statistically significant difference between groups (log-rank test, p = 0.498). In an inverse probability-weighted Cox model, EPP use was not significantly associated with extrusion risk (hazard ratio ≈ 1.3; 95% confidence interval ≈ 0.4–4.0). Conclusions: After adjustment for baseline covariates and restriction of follow-up to 12 months, extrusion-free survival following glaucoma drainage device surgery using EPP was comparable to that achieved with conventional scleral patch grafts. Full article
(This article belongs to the Section Ophthalmology)
Show Figures

Figure 1

14 pages, 1062 KB  
Article
Primary Spontaneous Pneumothorax: Results of Surgical Treatment and Analysis of Risk Factors for Post-Operative Recurrence—A Retrospective Cohort Analysis
by Serena Zanardo, Francesco Londero, Yvonne Beorchia, Luigi Castriotta, Elisa De Franceschi, William Grossi, Gianluca Masullo and Andrea Zuin
J. Clin. Med. 2026, 15(7), 2557; https://doi.org/10.3390/jcm15072557 - 27 Mar 2026
Abstract
Background/Objectives: Several studies previously investigated the risk factors for post-operative recurrence of primary spontaneous pneumothorax (PSP), with conflicting results. Identification of patients at greater risk of recurrence may help optimize therapeutic strategies. The aim of this study is to identify potential predictors [...] Read more.
Background/Objectives: Several studies previously investigated the risk factors for post-operative recurrence of primary spontaneous pneumothorax (PSP), with conflicting results. Identification of patients at greater risk of recurrence may help optimize therapeutic strategies. The aim of this study is to identify potential predictors of post-operative recurrence of PSP and compare our results with the available literature. Methods: We retrospectively evaluated all patients who underwent surgery for PSP at our institution between January 2005 and December 2022. We analyzed data on patient characteristics, surgical details, method of pleurodesis and perioperative outcomes and used Cox regression analysis to identify predictors post-operative ipsilateral recurrence. Results: 226 patients were included in our study, of which 29 (12.8%) developed an ipsilateral recurrence of pneumothorax. A positive history of previous contralateral episodes (37.9% vs. 19.3%, p = 0.03) and the positioning of larger chest drains after the procedure (65.5% vs. 44.8%, p = 0.032) were more frequent in the recurrence group. At multivariable regression analysis, a history of previous contralateral pneumothorax was found to be the only independent predictive factor of pneumothorax recurrence (HR 2.16, 95% C.I. 1.001–4.662, p = 0.049). Conclusions: Previous contralateral pneumothorax is a risk factor for the development of post-operative recurrences. Full article
(This article belongs to the Section Respiratory Medicine)
Show Figures

Figure 1

14 pages, 1070 KB  
Article
Hemoglobin-to-Red Cell Distribution Width Ratio as a Prognostic Marker in Decompensated Heart Failure Patients: A Prospective Observational Study
by Ruxandra Maria Christodorescu, Călin Muntean, Minodora Andor, Daniel Lighezan, Adina Pop Moldovan, Andrei Blajevschi, Samuel Ardelean and Dan Darabanțiu
Life 2026, 16(4), 551; https://doi.org/10.3390/life16040551 - 27 Mar 2026
Abstract
Background and Methods: This prospective observational study investigated the prognostic value of the hemoglobin-to-red cell distribution width ratio (HRR) in 278 patients hospitalized with decompensated heart failure (HF). The primary endpoint was a composite of all-cause mortality or HF rehospitalization at 12 months. [...] Read more.
Background and Methods: This prospective observational study investigated the prognostic value of the hemoglobin-to-red cell distribution width ratio (HRR) in 278 patients hospitalized with decompensated heart failure (HF). The primary endpoint was a composite of all-cause mortality or HF rehospitalization at 12 months. Multivariable Cox regression was employed to adjust for risk factors including age, sex, NT-proBNP, LVEF, and eGFR. Results: The median HRR was 0.89. During follow-up, the primary endpoint occurred in 167 (60.1%) patients. Unadjusted analysis showed a lower HRR was significantly associated with reduced event-free survival (log-rank p = 0.027). However, after multivariable adjustment, this association was no longer statistically significant (p = 0.240). Older age and male sex remained independent predictors. Conclusions: In patients with decompensated HF, a lower baseline HRR correlates with increased risk but does not maintain independent prognostic value after adjusting for powerful confounders. HRR may serve as a simple, initial marker of risk rather than an independent predictor. Full article
Show Figures

Graphical abstract

16 pages, 790 KB  
Article
Neutrophil Percentage-to-Albumin Ratio as a Prognostic and Predictive Biomarker in Non-Metastatic Breast Cancer Treated with Neoadjuvant Chemotherapy: Findings from a Retrospective Cohort
by Mahmut Uçar, Mukaddes Yılmaz, Eda Erdiş and Birsen Yücel
Diagnostics 2026, 16(7), 998; https://doi.org/10.3390/diagnostics16070998 - 26 Mar 2026
Abstract
Background/Objectives: This study aimed to investigate the prognostic and predictive significance of the pretreatment neutrophil percentage-to-albumin ratio (NPAR) in patients with non-metastatic breast cancer. NPAR is a composite biomarker reflecting both systemic inflammatory activity and nutritional status. Its association with treatment response [...] Read more.
Background/Objectives: This study aimed to investigate the prognostic and predictive significance of the pretreatment neutrophil percentage-to-albumin ratio (NPAR) in patients with non-metastatic breast cancer. NPAR is a composite biomarker reflecting both systemic inflammatory activity and nutritional status. Its association with treatment response and survival outcomes in patients receiving neoadjuvant chemotherapy was evaluated. Methods: This retrospective observational study included 194 patients diagnosed with non-metastatic breast cancer who underwent neoadjuvant chemotherapy between 2004 and 2024. Receiver operating characteristic (ROC) curve analysis was used to determine the optimal NPAR cut-off value. Patients were categorized into low-NPAR (n = 150) and high-NPAR (n = 44) groups. Results: Clinicopathological characteristics were comparable between the groups. However, patients with elevated NPAR values demonstrated poorer treatment responses. The objective response rate was significantly lower in the high-NPAR group compared to the low-NPAR group (70% vs. 87%). In addition, progressive disease occurred more frequently in patients with high NPAR values (16% vs. 5%). Survival analysis revealed markedly worse outcomes among patients with elevated NPAR. Multivariate Cox regression analysis confirmed high NPAR as an independent predictor of reduced overall survival (HR: 3.79; 95% CI: 1.68–8.80). Conclusions: Elevated pretreatment NPAR values are associated with inferior response to neoadjuvant chemotherapy and unfavorable long-term survival outcomes. NPAR may serve as a simple and cost-effective biomarker for risk stratification and could assist clinicians in identifying patients who may benefit from more individualized therapeutic strategies. Full article
(This article belongs to the Special Issue Diagnosis, Prognosis and Management of Breast Cancer)
Show Figures

Graphical abstract

14 pages, 2417 KB  
Article
Absence of Tendon Reflexes as a Predictor of Diabetic Retinopathy: A Retrospective Cohort Study in Japan
by Taichi Muramatsu, Ayaka Sugiura, Daisuke Yamamuro, Ryosuke Kumazawa, Manabu Akazawa, Akifumi Kushiyama and Takako Kikuchi
Diabetology 2026, 7(4), 62; https://doi.org/10.3390/diabetology7040062 (registering DOI) - 25 Mar 2026
Viewed by 51
Abstract
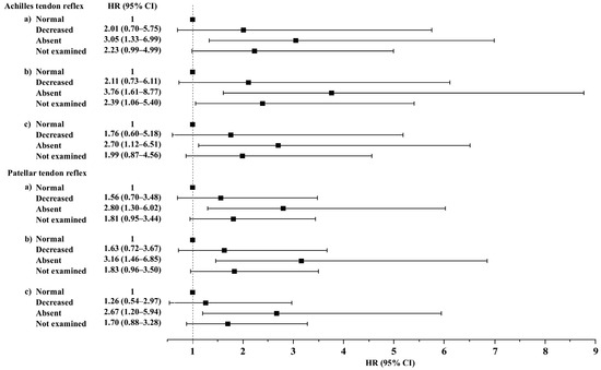
Background/Objective: This study investigated the association between tendon reflexes (Achilles and patellar) and the development of diabetic retinopathy (DR) in patients with type 2 diabetes (T2D). Methods: This single-center retrospective cohort study enrolled patients with T2D. The primary outcome was the [...] Read more.
Background/Objective: This study investigated the association between tendon reflexes (Achilles and patellar) and the development of diabetic retinopathy (DR) in patients with type 2 diabetes (T2D). Methods: This single-center retrospective cohort study enrolled patients with T2D. The primary outcome was the development of DR. Tendon reflex findings were classified into four groups (normal, decreased, absent, and not examined). A regression analysis using a Cox proportional hazard model was performed to evaluate the association between tendon reflex findings and the outcome. Results: A total of 1172 patients were included in the primary outcome analysis. The median follow-up period was 4.3 years, and 271 experienced DR development. In the multivariate analysis, an absent Achilles tendon reflex (hazard ratio [HR], 1.52; 95% confidence interval [CI]: 1.01–2.27) and an absent patellar tendon reflex (HR: 1.89, 95% CI: 1.18–3.03) were independently associated with DR development. Conclusions: The absence of the Achilles and patellar tendon reflexes may serve as risk markers for DR development. Clinical Practice Implications: Non-invasive assessment of tendon reflexes may serve as an adjunctive tool to identify patients with T2D at high risk for future DR, enabling timely ophthalmologic referral and targeted management. Full article
(This article belongs to the Special Issue New Perspectives and Future Challenges in Diabetic Retinopathy)
Show Figures

Figure 1

14 pages, 916 KB  
Article
Impact of Prior mRNA COVID-19 Vaccination on PFS2 in NSCLC Patients Receiving Second-Line Immune Checkpoint Inhibitors: A Real-World Analysis
by Selahattin Çelik, Engin Eren Kavak, Esra Zeynelgil, Gökşen İnanç İmamoğlu, İsmail Dilli, Salih Karatlı, Mehmetcan Atak, Mustafa Altınbaş and Tülay Eren
J. Clin. Med. 2026, 15(7), 2475; https://doi.org/10.3390/jcm15072475 - 24 Mar 2026
Viewed by 109
Abstract
Background: Immune checkpoint inhibitors (ICIs) targeting the PD-1 axis represent standard second-line therapy for metastatic non-small cell lung cancer (NSCLC). Emerging data suggest that SARS-CoV-2 mRNA vaccines may enhance antitumor immunity through innate immune activation and type I interferon signaling, potentially sensitizing tumors [...] Read more.
Background: Immune checkpoint inhibitors (ICIs) targeting the PD-1 axis represent standard second-line therapy for metastatic non-small cell lung cancer (NSCLC). Emerging data suggest that SARS-CoV-2 mRNA vaccines may enhance antitumor immunity through innate immune activation and type I interferon signaling, potentially sensitizing tumors to PD-1 blockade. The clinical impact of patients initiating second-line nivolumab remains unclear. Methods: In this retrospective single-center cohort study, 88 patients with recurrent stage IV NSCLC who received second-line nivolumab between 1 January 2023 and 1 January 2026 were analyzed. Vaccination exposure was defined using a 6-month pre-treatment window prior to nivolumab initiation (T0). Patients were stratified according to receipt of ≥2 versus 0–1 mRNA COVID-19 vaccine doses within the 6 months preceding T0 (n = 45 and n = 43, respectively). The primary endpoint was progression-free survival from nivolumab initiation (PFS2). Survival outcomes were estimated using the Kaplan–Meier method and evaluated using Cox regression models. Results: With a median follow-up of 22.4 months, median PFS2 for the overall cohort was 11.1 months (95% CI, 9.4–15.1). Patients receiving ≥2 mRNA doses had significantly longer PFS2 than those receiving 0–1 dose (14.0 vs. 9.6 months; p = 0.04). In multivariable analysis, ≥2 doses were independently associated with reduced risk of progression or death (aHR 0.52, 95% CI 0.31–0.88; p = 0.01). Non-adenocarcinoma histology and baseline brain metastasis were independently associated with shorter PFS2. Conclusions: Receipt of ≥2 mRNA vaccine doses within 6 months before nivolumab initiation was independently associated with prolonged PFS2 in metastatic NSCLC. Prospective multicenter validation is warranted. Full article
Show Figures

Figure 1

12 pages, 687 KB  
Article
Antinuclear Antibodies Predict Treatment Escalation and Biologic Switching in Rheumatoid Arthritis
by Zeynel Abidin Akar, Dilan Yıldırım, Mehmet Çiftçi, Zeynep Işık Sula, Serap Karaman, Remzi Çevik, Mehmet Karakoç, Serda Em, İbrahim Batmaz, Pelin Oktayoğlu and Mehmet Çağlayan
Diagnostics 2026, 16(6), 957; https://doi.org/10.3390/diagnostics16060957 - 23 Mar 2026
Viewed by 175
Abstract
Background: Antinuclear antibodies (ANAs) are frequently detected in patients with rheumatoid arthritis (RA); however, their prognostic relevance for predicting treatment escalation and biologic therapy initiation remains incompletely understood. Identifying biomarkers associated with earlier transition to advanced therapies may enhance individualized, treat-to-target disease management. [...] Read more.
Background: Antinuclear antibodies (ANAs) are frequently detected in patients with rheumatoid arthritis (RA); however, their prognostic relevance for predicting treatment escalation and biologic therapy initiation remains incompletely understood. Identifying biomarkers associated with earlier transition to advanced therapies may enhance individualized, treat-to-target disease management. Objectives: We aimed to evaluate the association of ANA status and titer levels with clinical characteristics, treatment trajectories, and time to biologic therapy initiation in patients with RA. Methods: In this retrospective cohort study, 223 patients with RA were stratified according to ANA status (112 ANA-positive, 111 ANA-negative). Baseline demographic data, disease activity (DAS28), and serological markers (RF, anti-CCP) were analyzed. Time to biologic therapy initiation, defined from the date of RA diagnosis to first biologic or targeted synthetic DMARD use, was assessed using Kaplan–Meier survival analysis and Cox proportional hazards regression. Multivariate models adjusted for clinically relevant covariates (age, sex, disease duration, RF, anti-CCP). Within the ANA-positive group, exploratory analyses compared low–moderate (1:80–1:320) and high (>1:320) ANA titers, highlighting potential non-linear effects. Results: Baseline demographic and clinical characteristics were comparable between groups (all p > 0.05). ANA-positive patients more frequently initiated biologic therapy (48.2% vs. 24.3%, p < 0.001) and experienced multiple biologic switches (29.5% vs. 16.2%, p = 0.028). In multivariate analysis, ANA positivity independently predicted earlier biologic therapy initiation (adjusted HR 2.14; 95% CI 1.32–3.46; p = 0.002), whereas RF and anti-CCP status were not significant predictors. Exploratory subgroup analysis revealed the “titer paradox,” whereby high ANA titers (>1:320) were associated with a lower hazard of biologic therapy initiation compared with low–moderate titers (HR 0.24; 95% CI 0.06–0.98; p = 0.048). Conclusions: ANA positivity serves as an independent prognostic marker for earlier biologic therapy initiation in RA, providing incremental information beyond traditional serological markers. The observed non-linear association between ANA titers and treatment escalation underscores the need for cautious interpretation and validation in prospective, mechanistic studies, and highlights the potential value of integrating ANA profiling into personalized treatment strategies. Full article
(This article belongs to the Section Clinical Diagnosis and Prognosis)
Show Figures

Graphical abstract

14 pages, 881 KB  
Article
High Tibial Osteotomy for Knee Osteoarthritis with Genu Varum: A Retrospective, Observational Study
by Ana Ramos, Jordi Zafra and Jordi Villalba
J. Funct. Morphol. Kinesiol. 2026, 11(1), 129; https://doi.org/10.3390/jfmk11010129 - 23 Mar 2026
Viewed by 147
Abstract
Background: High tibial osteotomy (HTO) is a joint-preserving alternative for patients with medial compartment knee osteoarthritis (KOA), although its use has declined in recent decades in favor of total knee arthroplasty (TKA). This study aimed to evaluate HTO outcomes in patients treated at [...] Read more.
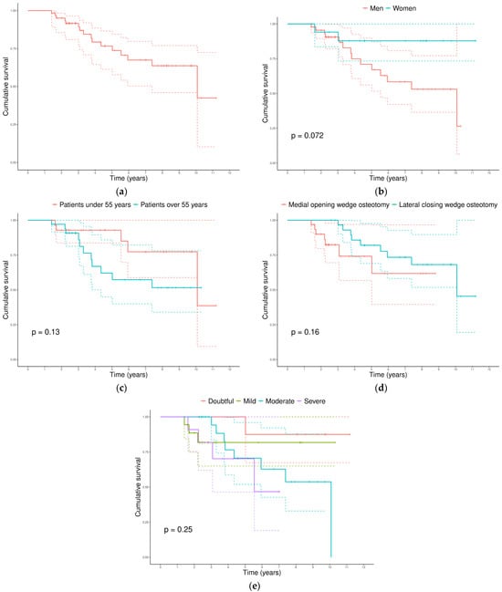
Background: High tibial osteotomy (HTO) is a joint-preserving alternative for patients with medial compartment knee osteoarthritis (KOA), although its use has declined in recent decades in favor of total knee arthroplasty (TKA). This study aimed to evaluate HTO outcomes in patients treated at a tertiary center over the past decade. Methods: We conducted a single-center, retrospective, observational cohort study of patients with medial femorotibial KOA and genu varum who underwent HTO. Failure was defined as conversion to TKA. A comparative analysis regarding HTO survival was conducted with preoperative variables and KOA stages in the follow-ups up to 5 years. Univariate and multivariate Cox regression models were built to assess their effect on HTO survival time. The Kaplan–Meier method was used to estimate overall and subgroup survival. Disease progression over time was evaluated with the Bhapkar test. In all cases, p < 0.05 was considered statistically significant. Results: HTO was successful in 74.6% of the 63 patients. Age was significantly higher in the failure group (p = 0.006), and each additional year increased the hazard of failure by 8% (95% CI, 1.01–1.16, p = 0.033), although this significance was lost in multivariate analysis (p = 0.104). Kaplan–Meier estimated survival was 76.7% at 5 years, with a median survival time of 10.1 years. KOA stage progression was significant 5 years after HTO (p < 0.001). Conclusions: HTO demonstrated 76.7% survival at 5 years, with radiographic KOA progression over time. The association between age and failure was not maintained after multivariable adjustment. Full article
Show Figures

Figure 1

15 pages, 339 KB  
Article
Short-Term Heart Rate Variability Dynamics and Mortality Risk After Acute Coronary Syndrome
by Nikola Marković, Maša Petrović, Silvana Babić, Milovan Bojić and Branislav Milovanović
Diagnostics 2026, 16(6), 942; https://doi.org/10.3390/diagnostics16060942 - 23 Mar 2026
Viewed by 101
Abstract
Background/Objectives: Heart rate variability (HRV) is a non-invasive marker of autonomic nervous system function with established prognostic value after acute coronary syndrome (ACS). The clinical relevance of temporal changes in short-term HRV remains insufficiently defined. This study evaluated short-term HRV dynamics and their [...] Read more.
Background/Objectives: Heart rate variability (HRV) is a non-invasive marker of autonomic nervous system function with established prognostic value after acute coronary syndrome (ACS). The clinical relevance of temporal changes in short-term HRV remains insufficiently defined. This study evaluated short-term HRV dynamics and their association with mortality after ACS. Methods: This retrospective–prospective study included 230 patients with acute myocardial infarction. Five-minute resting ECG recordings were obtained on day 1 and day 21. Time- and frequency-domain HRV parameters were analyzed, and delta values were calculated. The primary endpoint was overall mortality. Survival was assessed using Kaplan–Meier analysis and Cox regression. Results: Patients who died during follow-up had lower HRV values on day 21 and more pronounced declines in selected parameters. In multivariable analysis, decreased ΔLF and shorter RR intervals independently predicted overall mortality. Conclusions: Short-term HRV provides a practical bedside assessment of autonomic function after ACS. Unfavorable temporal changes likely reflect persistent autonomic imbalance and may offer additional prognostic insight. Larger contemporary studies are needed to confirm these findings. Full article
(This article belongs to the Section Medical Imaging and Theranostics)
Show Figures

Figure 1

16 pages, 1776 KB  
Article
Efficacy and Safety of Dalpiciclib in HR-Positive Advanced Breast Cancer: A Two-Center Retrospective Study
by Jingjing Li, Zhiqiang Zong, Didi Zhu, Xiaojun Xu, Yunwen Yan, Jia Li, Fanfan Li and Jiqing Hao
Cancers 2026, 18(6), 1025; https://doi.org/10.3390/cancers18061025 - 22 Mar 2026
Viewed by 131
Abstract
Background: This study aims to evaluate the real-world efficacy and safety of dalpiciclib in patients with hormone receptor-positive (HR+) advanced breast cancer and explore the impact of different clinical characteristics on treatment outcomes. Methods: This was a two-center, retrospective cohort study [...] Read more.
Background: This study aims to evaluate the real-world efficacy and safety of dalpiciclib in patients with hormone receptor-positive (HR+) advanced breast cancer and explore the impact of different clinical characteristics on treatment outcomes. Methods: This was a two-center, retrospective cohort study involving 76 patients treated with dalpiciclib between January 2022 and June 2024 at two affiliated hospitals of Anhui Medical University in China. Data on progression-free survival (PFS), adverse events, and key clinical factors were collected and analyzed. Kaplan–Meier estimates were used for statistical analysis. Results: The median PFS (mPFS) for the entire cohort was 12.00 months (95% CI: 10.09–13.91 months). Patients receiving dalpiciclib as first-line therapy had significantly better outcomes (mPFS: 17.00 months, 95% CI: 9.19–24.81 months) than those receiving later-line therapy (p < 0.001). Patients with prior exposure to cyclin-dependent kinase 4/6 inhibitors (CDK4/6i) and those with endocrine resistance had poorer outcomes. Multivariate Cox proportional hazards regression analysis confirmed that earlier treatment line (HR for second-line vs. first-line: 3.89, p = 0.015; HR for third-line or later vs. first-line: 5.56, p = 0.006) and prior CDK4/6i treatment (HR = 3.42, p = 0.040) were independent predictors of PFS. The most common adverse events were hematologic toxicities, including leukopenia (76.6%) and neutropenia (72.4%), mostly grade 1–2. No febrile neutropenia cases were reported, indicating a manageable safety profile. Conclusions: Dalpiciclib combined with endocrine therapy is associated with favorable efficacy and safety in real-world settings, with early-line treatment and lower tumor proliferative activity associated with better outcomes. While findings suggest potential for clinical application, further large-scale prospective studies are needed to validate its effectiveness in different patient subgroups and optimize treatment strategies. Full article
(This article belongs to the Section Clinical Research of Cancer)
Show Figures

Figure 1

14 pages, 456 KB  
Article
Predictors of Late Adverse Outcomes After Carotid Endarterectomy
by Danka Vukasinovic, Milos Maksimovic, Slobodan Tanaskovic, Jelena Marinkovic, Andja Cirkovic, Branko Jakovljevic, Jelena Ilic Zivojinovic, Djordje Radak and Hristina Vlajinac
Medicina 2026, 62(3), 593; https://doi.org/10.3390/medicina62030593 - 21 Mar 2026
Viewed by 102
Abstract
Background and Objectives: Although carotid endarterectomy (CEA) is the gold standard in the treatment of carotid disease, a higher frequency of adverse outcomes can reduce its benefit. The aim of the present study is to identify factors related to myocardial infarction, stroke, death [...] Read more.
Background and Objectives: Although carotid endarterectomy (CEA) is the gold standard in the treatment of carotid disease, a higher frequency of adverse outcomes can reduce its benefit. The aim of the present study is to identify factors related to myocardial infarction, stroke, death and restenosis as the late adverse outcomes of CEA. Materials and Methods: The retrospective cohort study included 1597 CEAs that were performed in 1533 consecutive patients at the Vascular Surgery Clinic in Belgrade from 2012 to 2017. Late adverse outcomes within 4 years after CEA were available for the majority of them. Data for myocardial infarction and stroke were available for 1223 CEAs, data for death for 1305 CEAs, and data for restenosis for 1162 CEAs. The association between possible risk factors and late adverse outcomes of CEA was analyzed using univariate and multivariate Cox and logistic regression analyses. Results: During follow-up, myocardial infarction occurred after 55, stroke after 68, death after 103 and restenosis after 121 CEAs. Two factors were the most frequent predictors of late adverse outcomes, i.e., the patient’s age and diabetes mellitus (DM). Age predicted all late adverse outcomes except restenosis, and DM predicted all of them. A predictor of myocardial infarction, besides age (HR 1.08, 95% CI 1.05–1.11) and DM (HR 1.60, 95% CI 1.11–2.29), was peripheral arterial disease (HR 1.81, 95% CI 1.17–2.78) in personal history. Predictors were only age (HR 1.04, 95% CI 1.01–1.08) and DM (HR 1.68, 95% CI 1.03–2.72) for stroke, as well as for death (HR 1.17, 95% CI 1.12–1.21 and HR 1.94, 95% CI 1.17–3.21, respectively). For restenosis, in addition to DM (HR 1.78, 95% CI 2.62), predictors were hyperlipidemia (HR 3.52, 95% CI 1.27–9.76) and urgent surgery (HR 3.51, 95% CI 1.06–11.65). Conclusions: CEA should be performed with special caution in the elderly and diabetic patients. Modification of other risk factors and precise medical therapy are necessary to reduce possible adverse outcomes. Full article
(This article belongs to the Section Surgery)
Show Figures

Figure 1

21 pages, 1821 KB  
Article
Thermal Ablation Versus Surgical Resection for Intermediate-Size (3–5 cm) Colorectal Liver Metastases: Results from the Amsterdam Colorectal Liver Met Registry (AmCORE)
by Madelon Dijkstra, Susan van der Lei, Hannah H. Schulz, Tineke E. Buffart, Rutger-Jan Swijnenburg and Martijn R. Meijerink
Cancers 2026, 18(6), 1017; https://doi.org/10.3390/cancers18061017 - 21 Mar 2026
Viewed by 256
Abstract
Purpose: Surgical resection has been the gold standard for colorectal liver metastases (CRLM) for decades. In recent years, thermal ablation has emerged as a first-line treatment option for small-size CRLM, while for intermediate-size lesions (3–5 cm), it is reserved for patients with [...] Read more.
Purpose: Surgical resection has been the gold standard for colorectal liver metastases (CRLM) for decades. In recent years, thermal ablation has emerged as a first-line treatment option for small-size CRLM, while for intermediate-size lesions (3–5 cm), it is reserved for patients with unresectable disease. In this setting, thermal ablation has proven safe and effective, achieving durable local control (LC) in the majority of patients. This retrospective study compares oncological outcomes of thermal ablation versus surgical resection of intermediate-size (3–5 cm) CRLM. Material and methods: Patients treated with thermal ablation or surgical resection for intermediate-size CRLM between 2000 and 2025 were included. Baseline per-patient and per-procedure characteristics were compared across three groups: thermal ablation, surgical resection, and combined treatment. Per tumor characteristics were compared between thermal ablation and surgical resection. Primary outcomes included local tumor progression-free survival (LTPFS) and complication rates. Secondary outcomes were OS, distant progression-free survival (DPFS), LC, and length of hospital stay. Survival outcomes were analyzed using the Kaplan–Meier method; additionally, LTPFS was assessed using Cox proportional hazards regression models, with multivariable analyses performed to adjust for potential confounders. Results: A total of 320 patients with 448 metastases were included: 135 patients underwent thermal ablation, 156 underwent surgical resection, and 29 received combined treatment. LTPFS per tumor was significantly higher in the surgical resection group (HR 1.86, 95% CI 1.24–2.81, p = 0.0025), however, LC per tumor did not significantly differ amongst groups (HR 1.48, 95% CI 0.70–3.11, p = 0.307). Complication rates were significantly higher after resection (p < 0.001). OS and DPFS did not differ significantly between the three groups (p = 0.08 and p = 0.084). OS comparing only thermal ablation and resection was significantly lower in the thermal ablation group. Median hospital stay was 3, 5, and 7 days for the ablation, resection, and combined groups, respectively (p < 0.001). Conclusions: Thermal ablation offers a safe alternative to surgical resection for selected patients with intermediate-size (3–5 cm) CRLM, with higher treatment-site recurrence rates. With the option of repeat ablation, comparable local tumor control can be achieved. Improvements in local control with both modalities over time support the need for a prospective clinical trial. Full article
(This article belongs to the Special Issue Image-Guided Treatment of Liver Tumors)
Show Figures

Figure 1

Back to TopTop