Sign in to use this feature.

Years

Between: -

Subjects

remove_circle_outline
remove_circle_outline
remove_circle_outline
remove_circle_outline
remove_circle_outline
remove_circle_outline
remove_circle_outline
remove_circle_outline
remove_circle_outline

Journals

remove_circle_outline
remove_circle_outline
remove_circle_outline
remove_circle_outline
remove_circle_outline
remove_circle_outline

Article Types

Countries / Regions

remove_circle_outline
remove_circle_outline
remove_circle_outline
remove_circle_outline
remove_circle_outline
remove_circle_outline
remove_circle_outline
remove_circle_outline

Search Results (2,489)

Search Parameters:
Keywords = multispectral model

Order results
Result details
Results per page
Select all
Export citation of selected articles as:
26 pages, 8499 KB  
Article
A Comparison of Non-Contact Methods for Measuring Turbidity in the Colorado River
by Natalie K. Day, Tyler V. King and Adam R. Mosbrucker
Remote Sens. 2026, 18(4), 638; https://doi.org/10.3390/rs18040638 - 18 Feb 2026
Abstract
Monitoring suspended-sediment concentration (SSC) is essential to better understand how sediment transport could adversely affect water availability for human communities and ecosystems. Aquatic remote sensing methods are increasingly utilized to estimate SSC and turbidity in rivers; however, an evaluation of their quantitative performance [...] Read more.
Monitoring suspended-sediment concentration (SSC) is essential to better understand how sediment transport could adversely affect water availability for human communities and ecosystems. Aquatic remote sensing methods are increasingly utilized to estimate SSC and turbidity in rivers; however, an evaluation of their quantitative performance is limited. This study evaluates the performance of three multispectral sensors, which vary in resolution and ease of deployment, to estimate turbidity in the Colorado River: the Multispectral Instrument (MSI) on board the European Space Agency’s Sentinel-2 satellite, an industrial-grade 10-band dual camera system mounted on a cable car, and a consumer-grade 6-band dual camera system positioned on the riverbank. We use multivariate linear regression to compare in situ turbidity measurements with concurrent spectral reflectance data from each sensor. Models for all three sensors selected similar spectral information and resulted in mean errors <35% in predicting turbidity. A cross-sensor comparison showed that little accuracy is lost when applying models developed for satellite-based systems to ground-based systems, and vice versa. Transferability of satellite-based models to ground-based systems could support continuous water-quality monitoring between satellite overpasses and avoid issues associated with cloud interference. Conversely, continuously operating ground-based systems could be used to rapidly establish datasets and models for application in satellite imagery, thus accelerating remote sensing applications. The encouraging performance of the consumer-grade system indicates that SSC could be monitored for low cost. Full article
(This article belongs to the Special Issue Remote Sensing in Water Quality Monitoring)
27 pages, 5156 KB  
Article
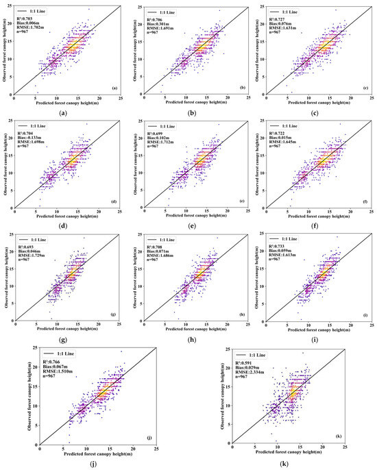
Mapping Forest Canopy Height via Self-Attention Multisource Feature Fusion and a Blending-Based Heterogeneous Ensemble Model
by Jing Tian, Pinghao Zhang, Pinliang Dong, Wei Shan, Ying Guo, Dan Li, Qiang Wang and Xiaodan Mei
Remote Sens. 2026, 18(4), 633; https://doi.org/10.3390/rs18040633 - 18 Feb 2026
Abstract
The accuracy of forest canopy height estimation is crucial for forest resource management and ecosystem carbon sequestration. However, existing approaches often face limitations in effectively integrating multisource remote sensing data, feature representation, and model learning strategies. To enhance the prediction performance of the [...] Read more.
The accuracy of forest canopy height estimation is crucial for forest resource management and ecosystem carbon sequestration. However, existing approaches often face limitations in effectively integrating multisource remote sensing data, feature representation, and model learning strategies. To enhance the prediction performance of the model in complex terrain and multisource data environments, this study comprehensively used ICESat-2/ATLAS photon point clouds, Sentinel-2/MSI multispectral imagery, and SRTM-DEM to construct a remote sensing-driven multisource feature system, which eliminated redundant interference using permutation feature importance analysis. Additionally, a self-attention (SA) mechanism was introduced to strengthen high-dimensional feature representation. Three heterogeneous models, incorporating deep neural network (DNN), extreme gradient boosting (XGBoost), and residual network (ResNet), were independently applied for forest canopy height estimation and were further used as base learners, with a random forest as the meta-learner, and an SA-Blending heterogeneous ensemble model that combines a blending technique with an SA mechanism was proposed to enhance the accuracy of forest canopy height estimation. To evaluate the SA optimization strategy and the role of multisource fusion, this study used the original features, SA-optimized features, and multisource fusion features (i.e., the concatenation and fusion of original features and self-attention mechanism features) as inputs to comprehensively compare the performance of each single model and the integrated model. The results show that: (1) The self-attention mechanism significantly improves the prediction performance of heterogeneous models. Compared with original features inputs, the R2 of DNN (SA-Only) and XGBoost (SA-Only) increased to 0.706 and 0.708, respectively, and the RMSE decreased to 1.691 m and 1.613 m. Although the R2 for ResNet (SA-Only) decreased slightly to 0.699 and the RMSE increased to 1.712 m, the overall impact was not significant. (2) Under the condition of multisource fusion feature input, DNN+SA, XGBoost+SA, and ResNet+SA all demonstrated higher fitting accuracy and stability, verifying the enhancing effect of the SA mechanism on the association expression of multisource information. (3) The SA-Blending model achieved the best overall performance, with R2 of 0.766 and RMSE of 1.510 m. It outperformed individual models and the SA-optimized model in terms of overall accuracy, stability, and robustness. The results can provide technical support for high-precision forest canopy height mapping and are of great significance for ecological monitoring applications. Full article
Show Figures

Figure 1

15 pages, 69635 KB  
Technical Note
High-Spatial- and -Temporal-Resolution Sargassum AFAI Coastal Dataset for Guadeloupe, Martinique and Yucatán
by Léna Pitek, Pierre-Etienne Brilouet, Julien Jouanno and Marcan Graffin
Remote Sens. 2026, 18(4), 624; https://doi.org/10.3390/rs18040624 - 17 Feb 2026
Abstract
Recurrent massive strandings of pelagic Sargassum have severely impacted Caribbean and Gulf of Mexico coastlines over the past decade, generating major environmental, sanitary, and socioeconomic consequences. Accurate monitoring of Sargassum dynamics in nearshore waters remains challenging, as most existing satellite products rely on [...] Read more.
Recurrent massive strandings of pelagic Sargassum have severely impacted Caribbean and Gulf of Mexico coastlines over the past decade, generating major environmental, sanitary, and socioeconomic consequences. Accurate monitoring of Sargassum dynamics in nearshore waters remains challenging, as most existing satellite products rely on moderate-resolution sensors that inadequately resolve coastal processes. Here, we present a high-spatial- and -temporal-resolution Sargassum detection dataset derived from the VENµS (Vegetation and Environment New Micro-Satellite) mission, providing daily observations at 4 m resolution for five coastal zones in Guadeloupe, Martinique, and the Yucatán Peninsula over the 2022–2024 period. VENµS imagery consists of 12 multispectral bands, and the analysis specifically uses the red, the red-edge/near-infrared and the short-wave infrared bands. Detection is based on the Alternative Floating Algae Index (AFAI), combined with land and cloud masking, background estimation, and adaptive thresholding. We demonstrate the capability of this dataset to resolve fine-scale Sargassum raft dynamics, characterize the seasonal influx of Sargassum along the coastline, and assess exposure across different coastal typologies. By offering the highest combined spatial and temporal resolution currently available for these regions, this dataset provides a novel resource for coastal impact assessment, nearshore drift analysis, and validation of Sargassum transport and stranding models. Full article
(This article belongs to the Section Ocean Remote Sensing)
Show Figures

Figure 1

27 pages, 1858 KB  
Article
Temporal Dynamics of UAV Multispectral Vegetation Indices for Accurate Machine Learning-Based Wheat Yield Prediction
by Krstan Kešelj, Zoran Stamenković, Marko Kostić, Vladimir Aćin, Aleksandar Ivezić, Mladen Ivanišević and Nenad Magazin
AgriEngineering 2026, 8(2), 71; https://doi.org/10.3390/agriengineering8020071 - 16 Feb 2026
Viewed by 53
Abstract
Accurate wheat yield prediction is essential for ensuring food security and sustainable resource management under the increasing challenges of climate change. This study investigates the integration of unmanned aerial vehicle (UAV)-based multispectral imaging and machine learning (ML) techniques to improve yield forecasting in [...] Read more.
Accurate wheat yield prediction is essential for ensuring food security and sustainable resource management under the increasing challenges of climate change. This study investigates the integration of unmanned aerial vehicle (UAV)-based multispectral imaging and machine learning (ML) techniques to improve yield forecasting in European wheat cultivars. Field experiments were conducted on 400 sub-plots with varying NPK fertilization regimes and five wheat varieties, monitored across six phenological stages during the 2023 growing season in Vojvodina, Serbia. A DJI Phantom 4 Multispectral UAV collected high-resolution imagery, from which 65 vegetation indices were computed. Using PyCaret’s automated ML framework, 25 regression algorithms were evaluated for yield prediction. Ensemble models, particularly Random Forest, Extra Trees, Gradient Boosting, and LightGBM, consistently outperformed linear and kernel-based approaches. The highest prediction accuracy was achieved with the Random Forest Regressor during full flowering (BBCH 65–69), yielding an R2 of 0.952 and an RMSE of 0.44 t/ha. Results highlight the temporal dynamics of model performance, with optimal predictions occurring during reproductive stages. The findings confirm that UAV-derived multispectral data, coupled with ensemble machine learning, provide a non-invasive, accurate, and computationally efficient method for yield forecasting. This framework has significant potential for supporting precision agriculture, enabling real-time decision-making, and enhancing the resilience of wheat production systems. Full article
Show Figures

Figure 1

26 pages, 3435 KB  
Article
Young White Pine Detection Using UAV Imagery and Deep Learning Object Detection Models
by Abishek Poudel and Eddie Bevilacqua
Sensors 2026, 26(4), 1284; https://doi.org/10.3390/s26041284 - 16 Feb 2026
Viewed by 76
Abstract
This study demonstrates the power of combining unmanned aerial vehicle (UAV) imagery and deep learning (DL) for monitoring forest regeneration, specifically focusing on young white pine (Pinus strobus). Using high-resolution three-band RGB and five-band multispectral orthomosaics derived from UAV flights, 20 [...] Read more.
This study demonstrates the power of combining unmanned aerial vehicle (UAV) imagery and deep learning (DL) for monitoring forest regeneration, specifically focusing on young white pine (Pinus strobus). Using high-resolution three-band RGB and five-band multispectral orthomosaics derived from UAV flights, 20 DL object-detection models were evaluated within ArcGIS Pro 3.4 software (Esri Inc., Redlands, CA, USA). The models were tested across study sites in St. Lawrence County, NY, to assess performance on three distinct size classes of white pine, each stratified into low, medium, and high density areas. The Faster R-CNN (F-RCNN) model, particularly when trained with image rotation and no augmentation, significantly outperformed others, achieving an average precision of 0.88 across both imagery types. Subsequent confusion matrix analysis yielded 91% and 90% overall accuracy in medium and high-density white pine blocks, respectively. These findings validate the use of UAV-DL systems as an accurate and efficient tool for operational white pine regeneration assessment, reducing the need for labor-intensive fieldwork. Full article
(This article belongs to the Special Issue Remote Sensing Image Fusion and Object Tracking)
Show Figures

Figure 1

24 pages, 2150 KB  
Article
Non-Destructive Freshness Assessment of Atlantic Salmon (Salmo salar) via Hyperspectral Imaging and an SPA-Enhanced Transformer Framework
by Zhongquan Jiang, Yu Li, Mincheng Xie, Hanye Zhang, Haiyan Zhang, Guangxin Yang, Peng Wang, Tao Yuan and Xiaosheng Shen
Foods 2026, 15(4), 725; https://doi.org/10.3390/foods15040725 - 15 Feb 2026
Viewed by 117
Abstract
Monitoring the freshness of Salmo salar within cold chain logistics is paramount for ensuring food safety. However, conventional physicochemical and microbiological assays are impeded by inherent limitations, including destructiveness and significant time latency, rendering them inadequate for the real-time, non-invasive inspection demands of [...] Read more.
Monitoring the freshness of Salmo salar within cold chain logistics is paramount for ensuring food safety. However, conventional physicochemical and microbiological assays are impeded by inherent limitations, including destructiveness and significant time latency, rendering them inadequate for the real-time, non-invasive inspection demands of modern industry. Here, we present a novel detection framework synergizing hyperspectral imaging (400–1000 nm) with the Transformer deep learning architecture. Through a rigorous comparative analysis of twelve preprocessing protocols and four feature wavelength selection algorithms (Lasso, Genetic Algorithm, Successive Projections Algorithm, and Random Frog), prediction models for Total Volatile Basic Nitrogen (TVB-N) and Total Viable Count (TVC) were established. Furthermore, the capacity of the Transformer to capture long-range spectral dependencies was systematically investigated. Experimental results demonstrate that the model integrating Savitzky-Golay (SG) smoothing with the Transformer yielded optimal performance across the full spectrum, achieving determination coefficients (R2) of 0.9716 and 0.9721 for the Prediction Sets of TVB-N and TVC, respectively. Following the extraction of 30 characteristic wavelengths via the Successive Projections Algorithm (SPA), the streamlined model retained exceptional predictive precision (R2 ≥ 0.95) while enhancing computational efficiency by a factor of approximately six. This study validates the superiority of attention-mechanism-based deep learning algorithms in hyperspectral data analysis. These findings provide a theoretical foundation and technical underpinning for the development of cost-effective, high-efficiency portable multispectral sensors, thereby facilitating the intelligent transformation of the aquatic product supply chain. Full article
Show Figures

Figure 1

23 pages, 3515 KB  
Article
Characterizing Cotton Defoliation Progress via UAV-Based Multispectral-Derived Leaf Area Index and Analysis of Influencing Factors
by Yukun Wang, Zhenwang Zhang, Chenyu Xiao, Te Zhang, Keke Yu, Chong Zhang, Qinghua Liao, Fangjun Li, Sumei Wan, Guodong Chen, Xiaoli Tian, Mingwei Du and Zhaohu Li
Remote Sens. 2026, 18(4), 609; https://doi.org/10.3390/rs18040609 - 15 Feb 2026
Viewed by 109
Abstract
Timely monitoring of cotton defoliation progress is crucial for optimizing the quality of mechanical harvesting. To accurately assess the defoliation status prior to mechanical picking, a field experiment was conducted in Hejian, Hebei Province, China, in 2022. Using a DJI P4M multispectral drone, [...] Read more.
Timely monitoring of cotton defoliation progress is crucial for optimizing the quality of mechanical harvesting. To accurately assess the defoliation status prior to mechanical picking, a field experiment was conducted in Hejian, Hebei Province, China, in 2022. Using a DJI P4M multispectral drone, canopy images of cotton were collected before and after defoliation at three flight altitudes: 25 m, 50 m, and 100 m. The study employed machine learning algorithms including linear regression, Support Vector Machine (SVM), Generalized Additive Model (GAM), and Random Forest (RF) to invert the Leaf Area Index (LAI). Additionally, SVM-based supervised classification was introduced to eliminate background interference from soil and open cotton bolls, while the XGBoost model and SHAP method were used to analyze the main factors influencing LAI inversion. Key findings include the following: The univariate linear relationship between EVI and LAI proved to be the most robust, with the model constructed from 100 m flight altitude data performing best (validation set: R2 = 0.921, RMSE = 0.284). The rate of LAI change showed a strong positive correlation with field-measured defoliation rate (r = 0.83–0.88), confirming its reliability as a proxy indicator for defoliation progress. Soil and open cotton bolls were identified as major negative factors affecting LAI inversion accuracy. The optimal machine learning prediction model varied with days after spraying, demonstrating significant temporal variability. This study demonstrates that high-throughput LAI inversion based on drone-derived multispectral EVI enables precise and dynamic monitoring of cotton defoliation. The approach provides farmers and field managers with an efficient, non-destructive monitoring tool. By delivering real-time insight into defoliation progress, it plays a pivotal role in enabling precision defoliation management, reducing excessive chemical use, optimizing the scheduling of mechanical operations, and ultimately enhancing both the sustainability and profitability of cotton production. Full article
Show Figures

Figure 1

30 pages, 12009 KB  
Article
Comparison of CNN-Based Image Classification Approaches for Implementation of Low-Cost Multispectral Arcing Detection
by Elizabeth Piersall and Peter Fuhr
Sensors 2026, 26(4), 1268; https://doi.org/10.3390/s26041268 - 15 Feb 2026
Viewed by 160
Abstract
Camera-based sensing has benefited in recent years from developments in machine learning data processing methods, as well as improved data collection options such as Unmanned Aerial Vehicles (UAV) mounted sensors. However, cost considerations, both for the initial purchase of sensors as well as [...] Read more.
Camera-based sensing has benefited in recent years from developments in machine learning data processing methods, as well as improved data collection options such as Unmanned Aerial Vehicles (UAV) mounted sensors. However, cost considerations, both for the initial purchase of sensors as well as updates, maintenance, or potential replacement if damaged, can limit adoption of more expensive sensing options for some applications. To evaluate more affordable options with less expensive, more available, and more easily replaceable hardware, we examine the use of machine learning-based image classification with custom datasets, utilizing deep learning based-image classification and the use of ensemble models for sensor fusion. Utilizing the same models for each camera to reduce technical overhead, we showed that for a very representative training dataset, camera-based detection can be successful for detection of electrical arcing. We also use multiple validation datasets, based on conditions expected to be of varying difficulty, to evaluate custom data. These results show that ensemble models of different data sources can mitigate risks from gaps in training data, though the system will be less redundant for those cases unless other precautions are taken. We found that with good quality custom datasets, data fusion models can be utilized without specialization in design to the specific cameras utilized, allowing for less specialized, more accessible equipment to be utilized as multispectral camera components. This approach can provide an alternative to expensive sensing equipment for applications in which lower-cost or more easily replaceable sensing equipment is desirable. Full article
(This article belongs to the Section Sensing and Imaging)
35 pages, 2579 KB  
Article
Geospatial–Temporal Quantification of Tectonically Constrained Marble Resources Within the Wadi El Shati Extensional Regime via Multi-Sensor Sentinel and DEM Data Fusion
by Mahmood Salem Dhabaa, Ahmed Gaber and Adel Kamel Mohammed
Geosciences 2026, 16(2), 81; https://doi.org/10.3390/geosciences16020081 - 14 Feb 2026
Viewed by 88
Abstract
This study addresses a critical knowledge gap in quantifying strategic mineral resources within hyper-arid, tectonically complex terrains by establishing a recursive framework that reconciles deterministic resource estimation with the nonlinear dynamics of tectonically mediated metamorphic systems. Using Libya’s Wadi El Shati as a [...] Read more.
This study addresses a critical knowledge gap in quantifying strategic mineral resources within hyper-arid, tectonically complex terrains by establishing a recursive framework that reconciles deterministic resource estimation with the nonlinear dynamics of tectonically mediated metamorphic systems. Using Libya’s Wadi El Shati as a case study, legacy lithological misclassifications are rectified through the fusion of Sentinel-1 Synthetic Aperture Radar, Sentinel-2 multispectral imagery, and Digital Elevation Model analytics within a unified geospatial workflow. The methodology synergizes atmospherically corrected optical data, processed via supervised Maximum Likelihood Classification, with calibrated radar-derived structural lineaments. Classified marble-bearing zones within the Al Mahruqah Formation are integrated with DEM data and field-validated thickness measurements using Triangulated Irregular Network models to resolve surface–subsurface dependencies and compute volumes. The results demonstrate a 91% lithological classification accuracy, rectifying a 22% error in legacy maps. Structural analysis of 1213 lineaments confirms a dominant NE–SW extensional regime (σ3) that facilitated fluid conduits. The quantified marble-bearing horizon spans ~334 km2 with a volume of 6.0 km3 (±9%). Spatial analysis reveals a causal link between high-grade marble clusters, basaltic intrusions, and NE–SW fault systems, refining models of contact metamorphism in rift-related settings. Full article
30 pages, 14511 KB  
Article
Rural Settlement Segmentation in Large-Scale Remote Sensing Imagery Using MSF-AL Auto-Labeling and the SELPFormer Model
by Qian Zhou, Yongqi Sun, Yanjun Tian, Qiqi Deng, Shireli Erkin and Yongnian Gao
Remote Sens. 2026, 18(4), 579; https://doi.org/10.3390/rs18040579 - 12 Feb 2026
Viewed by 122
Abstract
Accurate delineation of rural settlements at large spatial extents is fundamental to territorial spatial governance, rural revitalization, and the improvement of human living environments. However, in medium-resolution remote sensing imagery, rural settlement patches are typically small, morphologically complex, and easily confused with other [...] Read more.
Accurate delineation of rural settlements at large spatial extents is fundamental to territorial spatial governance, rural revitalization, and the improvement of human living environments. However, in medium-resolution remote sensing imagery, rural settlement patches are typically small, morphologically complex, and easily confused with other impervious surfaces. As a result, existing products still fall short in characterizing these features. Here, we propose a lightweight Transformer-based semantic segmentation model, SELPFormer, and develop a multi-source fusion automatic labeling pipeline that integrates Global Impervious Surface Dynamics dataset, OpenStreetMap spatial priors, and nighttime lights constraints. Built upon SegFormer as the backbone, SELPFormer introduces a lightweight pyramid pooling module at the deepest feature level to aggregate multi-scale global context and embeds an SCSE channel–spatial attention mechanism into deep features to suppress background interference. In addition, it incorporates an efficient local attention module into multi-scale lateral connections to enhance boundary and texture representations, thereby jointly improving small-object recognition and fine boundary preservation. We evaluate the proposed method using Landsat multispectral imagery covering five provinces on the North China Plain. SELPFormer achieves IoU = 74.23%, mIoU = 86.43%, F1 = 85.21%, OA = 98.69%, and Kappa = 0.8452 under a unified training and evaluation protocol, yielding IoU gains of +1.44, +3.98, and +12.35 percentage points over SegFormer, U-Net, and DeepLabV3+, respectively. SELPFormer has 15.44 M parameters and attains a parameter efficiency of 3.93% IoU per million parameters and an ROC-AUC of 0.993, indicating strong threshold-independent discriminative capability. These results indicate that the proposed method can effectively extract rural settlements from medium-resolution imagery and provides a generic “global–channel–local” collaborative framework for model design and data construction. Full article
Show Figures

Figure 1

30 pages, 7886 KB  
Article
Detection and Precision Application Path Planning for Cotton Spider Mite Based on UAV Multispectral Remote Sensing
by Hua Zhuo, Mei Yang, Bei Wu, Yuqin Xiao, Jungang Ma, Yanhong Chen, Manxian Yang, Yuqing Li, Yikun Zhao and Pengfei Shi
Agriculture 2026, 16(4), 424; https://doi.org/10.3390/agriculture16040424 - 12 Feb 2026
Viewed by 124
Abstract
Cotton spider mites pose a significant threat to cotton production, while traditional manual investigation and blanket pesticide application are inefficient for precision pest management in large-scale cotton fields. To address this challenge, this study developed an integrated UAV multispectral remote sensing system for [...] Read more.
Cotton spider mites pose a significant threat to cotton production, while traditional manual investigation and blanket pesticide application are inefficient for precision pest management in large-scale cotton fields. To address this challenge, this study developed an integrated UAV multispectral remote sensing system for spider mite monitoring and precision spraying. Multispectral imagery was acquired from cotton fields in Shaya County, Xinjiang using UAV-mounted cameras, and vegetation indices including RDVI, MSAVI, SAVI, and OSAVI were selected through feature optimization. Comparative evaluation of three machine learning models (Logistic Regression, Random Forest, and Support Vector Machine) and two deep learning models (1D-CNN and MobileNetV2) was conducted. Considering classification performance and computational efficiency for real-time UAV deployment, Random Forest was identified as optimal, achieving 85.47% accuracy, an 85.24% F1-score, and an AUC of 0.912. The model generated centimeter-level spatial distribution maps for precise spray zone delineation. An improved NSGA-III multi-objective path optimization algorithm was proposed, incorporating PCA-based heuristic initialization, differential evolution operators, and co-evolutionary dual population strategies to optimize deadheading distance, energy consumption, operation time, turning frequency, and load balancing. Ablation study validated the effectiveness of each component, with the fully improved algorithm reducing IGD by 59.94% and increasing HV by 5.90% compared to standard NSGA-III. Field validation showed 98.5% coverage of infested areas with only 3.6% path repetition, effectively minimizing pesticide waste and phytotoxicity risks. This study established a complete technical pipeline from monitoring to application, providing a valuable reference for precision pest control in large-scale cotton production systems. The framework demonstrated robust performance across multiple field sites, though its generalization is currently limited to one geographic region and growth stage. Future work will extend its application to additional cotton varieties, growth stages, and geographic regions. Full article
Show Figures

Figure 1

22 pages, 3807 KB  
Review
Satellite Remote Sensing for Crop Yield Prediction: A Review
by Dorijan Radočaj, Mladen Jurišić, Ivan Plaščak and Lucija Galić
Agriculture 2026, 16(4), 417; https://doi.org/10.3390/agriculture16040417 - 12 Feb 2026
Viewed by 306
Abstract
The rapid evolution of Earth observation satellite missions and computational methods made satellite remote sensing a foundation of state-of-the-art crop yield prediction. Therefore, the aim of this review is to analyze dominant drivers of crop yield prediction research based on satellite remote sensing, [...] Read more.
The rapid evolution of Earth observation satellite missions and computational methods made satellite remote sensing a foundation of state-of-the-art crop yield prediction. Therefore, the aim of this review is to analyze dominant drivers of crop yield prediction research based on satellite remote sensing, including dominant sensor types, satellite missions, crops, and specific research topics, as well as to identify present issues and research gaps. This review summarizes the bibliometric analysis of satellite-based crop yield prediction publications during 2000–2025, including 1174 articles that were indexed in the Web of Science Core Collection. Annual publication and citation trends, geographic patterns of research publications, prevalent satellite missions and sensor types, predominant crops used in research and trends in research themes were analyzed in the study. Findings show that there has been a consistent expansion of the study topic regarding publication count, with multispectral data, especially that of Sentinel-2, Landsat, and MODIS missions, being utilized in most of the literature in the field, while radar-based approaches are becoming increasingly important, providing complementary data to multispectral imagery. The review indicates a methodological shift in the models of simple regressions to machine learning, deep learning, and multi-sensor data fusion frameworks that use dense satellite imagery time series. Full article
Show Figures

Figure 1

24 pages, 6940 KB  
Article
Inversion of SPAD Value in Yellowed Leaves of ‘Kuerle Xiangli’ (Pyrus sinkiangensis Yu) Using Multispectral Images from Drones
by Yuan Dai, Lijun Liu, Shaowen Quan and Xiaoyan Lu
Agriculture 2026, 16(4), 416; https://doi.org/10.3390/agriculture16040416 - 12 Feb 2026
Viewed by 168
Abstract
SPAD values serve as a key physiological indicator for assessing the health status of ‘Kuerle Xiangli’ leaves and for monitoring the occurrence of chlorosis. Rapid, non-destructive acquisition of their spatial distribution provides crucial support for precision orchard management and the scientific correction of [...] Read more.
SPAD values serve as a key physiological indicator for assessing the health status of ‘Kuerle Xiangli’ leaves and for monitoring the occurrence of chlorosis. Rapid, non-destructive acquisition of their spatial distribution provides crucial support for precision orchard management and the scientific correction of leaf yellowing. This study selected six ‘Kuerle Xiangli’ experimental orchards in Tiemenguan City, Bayingolin Mongol Autonomous Prefecture, Xinjiang, as the research area. Using multi-spectral imagery from a DJI Mavic 3 drone and ground-measured SPAD values, four inversion models, RF, XGBoost, SVR, and PLSR, were constructed. Model inputs included vegetation indices (VIs), texture features, and a combination of both. By comparing the accuracy of the different models, the optimal SPAD inversion model for yellowing leaves of ‘Kuerle Xiangli’ was selected and validated in the field. Finally, a spatial distribution map of SPAD values was generated based on the optimal model. The results indicate the following: (1) Feature selection and the fusion of multi-source features significantly enhanced inversion performance. Compared to models using a single feature type, the Random Forest (RF) model that integrated 6 vegetation indices (CIRE, NDRE, LCI, REOSAVI, GNDVI, and NDWI) with 26 texture features performed best. It achieved an R2 = 0.9179, RMSE = 1.9970 and MAE = 1.2284 on the training set, and an R2 = 0.8161, RMSE = 3.4702, and MAE = 2.6799 on the validation set. The model also maintained good performance during field validation in an independent orchard (R2 = 0.7329, RMSE = 1.5823, MAE = 1.3377). (2) The spatial distribution map of SPAD values generated by the optimal model clearly delineates the SPAD ranges and yellowing status across the six orchards. The overall SPAD range across all orchards was 15.7 to 45.7. The order of yellowing severity was LLJ (80.5%) > YHC (68.1%) > LGQ (52.9%) > NKS (46.8%) > LCX (36.4%) > LGL (34.1%). Full article
(This article belongs to the Section Artificial Intelligence and Digital Agriculture)
Show Figures

Figure 1

26 pages, 7254 KB  
Article
Individual Street Tree Detection and Vitality Assessment Using GeoAI and Multi-Source Imagery
by Yeonsu Kang and Youngok Kang
Smart Cities 2026, 9(2), 31; https://doi.org/10.3390/smartcities9020031 - 11 Feb 2026
Viewed by 181
Abstract
Urban street trees provide essential environmental and social benefits, yet their vitality is often challenged by adverse urban conditions such as traffic emissions, impervious surfaces, and limited soil moisture. Conventional street tree management relies heavily on labor-intensive field inspections, making large-scale and repeatable [...] Read more.
Urban street trees provide essential environmental and social benefits, yet their vitality is often challenged by adverse urban conditions such as traffic emissions, impervious surfaces, and limited soil moisture. Conventional street tree management relies heavily on labor-intensive field inspections, making large-scale and repeatable assessment difficult. To address this limitation, this study proposes a GeoAI-based framework that integrates high-resolution aerial imagery, multispectral satellite data, and deep learning–based semantic segmentation to automatically delineate individual street trees and derive a remote sensing-based vitality proxy. Street trees are detected from orthorectified aerial imagery using semantic segmentation models, and vegetation indices—including NDVI, NDRE, and NDMI—are extracted from multispectral satellite imagery. An area-weighted object–pixel matching strategy is applied to associate spectral indicators with individual crowns across multi-resolution datasets. A composite vitality proxy is then constructed by integrating chlorophyll- and moisture-related indices. The results reveal spatial variability in spectral vitality signals across different urban environments. Trees along major road corridors tended to exhibit lower chlorophyll- and moisture-related indicators, while those near parks, riverfront walkways, and recently developed residential areas generally showed higher values. NDMI provided complementary insights into moisture-related stress that were not fully reflected by chlorophyll-based indices. Although the proposed vitality proxy is not a substitute for field-based diagnosis, the overall framework offers a scalable approach for citywide screening and prioritization of potentially stressed trees, supporting data-informed urban green infrastructure management within smart-city planning contexts. Full article
Show Figures

Figure 1

22 pages, 4095 KB  
Article
Precise Extraction of Croplands from Remote Sensing Images in Egypt by a Dual-Encoder U-Net with Multi-Scale Axial Attention and Boundary Constraints
by Yong Li, Han Ding, Heiko Balzter, Vagner Ferreira, Ying Ge, Hongyan Wang, Huiyu Zhou, Tengbo Sun, Lulu Shi, Meiyun Lai and Xiuhui Liu
Land 2026, 15(2), 305; https://doi.org/10.3390/land15020305 - 11 Feb 2026
Viewed by 165
Abstract
Accurate cropland parcel mapping is essential for food security and sustainable land management in arid Africa, yet it remains challenging in Egypt due to edge blurring, spectral confusion, and fragmented fields in medium-resolution imagery. A novel dual-encoder deep learning method that integrates multi-scale [...] Read more.
Accurate cropland parcel mapping is essential for food security and sustainable land management in arid Africa, yet it remains challenging in Egypt due to edge blurring, spectral confusion, and fragmented fields in medium-resolution imagery. A novel dual-encoder deep learning method that integrates multi-scale axial attention and boundary constraints (MAA-BCNet) is proposed for the precise extraction of croplands in Egypt from Sentinel-2 multispectral images. A dual-path encoder is designed to fuse CNN-based local textures with an RMT global branch using spatial decay attention for complementary feature extraction. A multi-scale axial attention module is introduced to capture anisotropic parcel structures for improved spectral–spatial discrimination, and a multi-directional gradient edge enhancement module is developed for explicitly preserving boundary integrity. A U-Net++ decoder is employed for dense multi-scale aggregation. Experimental results in Egypt demonstrate that MAA-BCNet achieves superior performance in delineating cropland parcels, particularly for irregular or fragmented croplands with complex landscapes and fuzzy boundaries. Compared with the widely used segmentation models such as DeepLabV3_plus, PSPnet, Link_net, FCN_resnet101, and U-Net++ under the same training and evaluation settings, our model has the best performance, with Recall, Precision, IoU, and F1-Score reaching 94.92%, 90.77%, 86.57%, and 92.80%, respectively. These advancements make MAA-BCNet suitable for cropland mapping of large areas of Egypt, with applications in precision agriculture and sustainable land management. Full article
Show Figures

Figure 1

Back to TopTop