Sign in to use this feature.

Years

Between: -

Subjects

remove_circle_outline
remove_circle_outline
remove_circle_outline
remove_circle_outline
remove_circle_outline
remove_circle_outline
remove_circle_outline
remove_circle_outline
remove_circle_outline

Journals

remove_circle_outline
remove_circle_outline
remove_circle_outline
remove_circle_outline
remove_circle_outline
remove_circle_outline
remove_circle_outline
remove_circle_outline
remove_circle_outline
remove_circle_outline
remove_circle_outline
remove_circle_outline
remove_circle_outline
remove_circle_outline
remove_circle_outline
remove_circle_outline
remove_circle_outline
remove_circle_outline
remove_circle_outline
remove_circle_outline
remove_circle_outline

Article Types

Countries / Regions

remove_circle_outline
remove_circle_outline
remove_circle_outline
remove_circle_outline
remove_circle_outline
remove_circle_outline
remove_circle_outline
remove_circle_outline
remove_circle_outline

Search Results (1,148)

Search Parameters:
Keywords = multiple diagnostic tests

Order results
Result details
Results per page
Select all
Export citation of selected articles as:
14 pages, 1267 KB  
Article
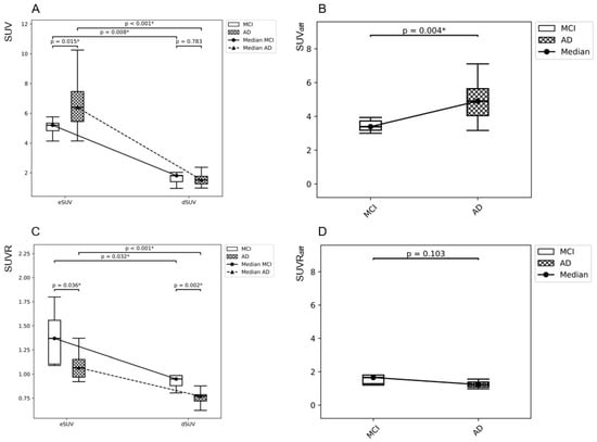
Differentiating Early Alzheimer’s Disease from MCI Using Comprehensive Semiquantitative Parameters in Dual-Phase Amyloid PET: A Pilot Study
by Hyung Jin Choi, Ara Cho, Joung Hyun You, Seungchan Park, Suk Hyun Lee and Do Hoon Kim
Medicina 2026, 62(3), 529; https://doi.org/10.3390/medicina62030529 - 12 Mar 2026
Abstract
Background and Objectives: Dual-phase amyloid PET imaging has been proposed to provide complementary information regarding amyloid burden and cerebral perfusion. This exploratory pilot study evaluated whether semiquantitative parameters derived from dual-phase PET/CT could differentiate individuals operationally classified as Alzheimer’s disease with mild [...] Read more.
Background and Objectives: Dual-phase amyloid PET imaging has been proposed to provide complementary information regarding amyloid burden and cerebral perfusion. This exploratory pilot study evaluated whether semiquantitative parameters derived from dual-phase PET/CT could differentiate individuals operationally classified as Alzheimer’s disease with mild functional impairment (AD-MFI) from those with mild cognitive impairment (MCI). Materials and Methods: Twenty-four participants (AD-MFI, n = 19; MCI, n = 5) underwent dual-phase amyloid PET/CT and structural MRI. Early phase SUV (eSUV), delayed-phase SUV (dSUV), standardized uptake value ratios (SUVR), and the difference between early and delayed uptake (SUVdiff) were analyzed across predefined cortical regions. Group differences were assessed using nonparametric tests, with false discovery rate (FDR) and Bonferroni corrections applied for multiple comparisons. Diagnostic performance was evaluated using receiver operating characteristic (ROC) curve analysis. Results: Several regional parameters demonstrated nominally significant group differences in uncorrected analyses; however, none remained statistically significant after correction for multiple comparisons. Among the evaluated metrics, SUVdiff demonstrated the highest diagnostic performance (sensitivity 84.2%, specificity 80.0%), followed by eSUV (68.4%, 100%) and MRI cortical volume (47.4%, 100%). Delayed-phase parameters alone showed limited discriminatory robustness despite observed group-level differences. Conclusions: In this exploratory cohort, SUVdiff showed moderate discriminatory potential between AD-MFI and MCI. However, given the small sample size and multiplicity of comparisons, the results should be interpreted as hypothesis-generating. Larger, prospective studies are required to determine the reproducibility and clinical utility of dual-phase semiquantitative parameters. Full article
(This article belongs to the Section Neurology)
Show Figures

Figure 1

19 pages, 573 KB  
Article
Bitcoin Market Efficiency Analysis Pre- and Post-COVID-19 Pandemic: An Interrupted Time Series and ARIMAX Approach
by Tendai Makoni, Providence Mushori and Delson Chikobvu
Economies 2026, 14(3), 90; https://doi.org/10.3390/economies14030090 - 11 Mar 2026
Abstract
The COVID-19 pandemic constitutes one of the most significant exogenous shocks to global financial markets in recent history, raising questions about the robustness of market efficiency under extreme uncertainty. This study examines whether the pandemic affected the weak-form efficiency of the Bitcoin market [...] Read more.
The COVID-19 pandemic constitutes one of the most significant exogenous shocks to global financial markets in recent history, raising questions about the robustness of market efficiency under extreme uncertainty. This study examines whether the pandemic affected the weak-form efficiency of the Bitcoin market or merely heightened volatility without introducing return predictability. Using daily Bitcoin log returns from January 2013 to February 2026, the analysis first evaluates weak-form market efficiency through the Variance Ratio (VR) test. The VR statistics remain close to unity across multiple holding horizons, and the null hypothesis of a random walk cannot be rejected, indicating that daily Bitcoin returns are consistent with weak-form efficiency. Building on this baseline, an Interrupted Time Series (ITS) framework is employed to assess whether the onset of the COVID-19 pandemic in March 2020 led to structural changes in Bitcoin return dynamics. The ITS results reveal no statistically significant changes in level or slope following the outbreak. To further account for autoregressive and moving-average dynamics while explicitly modelling the intervention, an ARIMAX (0, 0, 7) model with COVID-19 intervention variables is estimated. Both the pandemic dummy and its interaction term are statistically insignificant, indicating no material change in the return-generating process after controlling for serial dependence. The moving-average structure indicates that shocks dissipate over approximately one trading week, consistent with weekly trading cycles and liquidity patterns in cryptocurrency markets rather than persistent return predictability. Diagnostic checks, including the Ljung–Box and Shapiro–Wilk tests, confirm the absence of residual autocorrelation and support the model’s white-noise properties. Although volatility increased during the pandemic period, daily Bitcoin returns continued to align with weak-form market efficiency. The evidence, therefore, suggests that COVID-19 served as a stressor without generating persistent inefficiencies. These findings reinforce the distinction between volatility and predictability, demonstrating that heightened uncertainty does not necessarily undermine informational efficiency. Full article
Show Figures

Figure 1

26 pages, 2782 KB  
Article
Effect of Different Magnetite Nanoparticle Coatings on Blood Circulation, Biodistribution, Tumor Accumulation and Penetration
by Elizaveta N. Mochalova, Maria A. Yurchenko, Tatiana S. Vorobeva, Darina A. Maedi, Nikita O. Chernov, Olga A. Kolesnikova, Ekaterina D. Tereshina, Victoria O. Shipunova, Maria N. Yakovtseva, Petr I. Nikitin and Maxim P. Nikitin
Pharmaceutics 2026, 18(3), 345; https://doi.org/10.3390/pharmaceutics18030345 - 11 Mar 2026
Abstract
Background/Objectives: Magnetite nanoparticles represent promising candidates for a broad spectrum of biomedical applications, ranging from in vitro diagnostic assays to in vivo imaging, hyperthermia, and targeted drug and gene delivery, with some nanoagents already approved for clinical use. A critical determinant of their [...] Read more.
Background/Objectives: Magnetite nanoparticles represent promising candidates for a broad spectrum of biomedical applications, ranging from in vitro diagnostic assays to in vivo imaging, hyperthermia, and targeted drug and gene delivery, with some nanoagents already approved for clinical use. A critical determinant of their functionality is the nanoparticle coating, which facilitates beneficial interactions within biological systems. In the context of tumor-targeted therapeutic delivery, key design parameters—particularly surface coatings—can be optimized to enhance treatment efficacy by modulating blood circulation kinetics, biodistribution, and other critical properties. However, current preclinical screening methods primarily rely on cell culture models to identify potential nanocarriers, yet these systems often poorly correlate with actual in vivo performance. This discrepancy highlights the necessity of incorporating more biologically relevant testing platforms, such as high-throughput in vivo assays. Methods: In this work, we employed an original magnetic particle quantification (MPQ) technology to systematically evaluate the blood circulation kinetics and biodistribution patterns for magnetite nanoparticles with 17 different coatings across multiple organs and tissues, including the liver, spleen, lungs, kidneys, heart, tumor, brain, peripheral blood, muscle, and bone. This methodology offers high sensitivity, user-friendly operation, and provides quantitative measurements across a broad dynamic range of nanoparticle concentrations. These advantages enabled high-throughput acquisition of precise blood circulation and biodistribution data. In addition, histological analysis was conducted to evaluate nanoparticle penetration depth within tumor tissue. Results: Here we conducted a comprehensive study of the effect of 17 different polymer-, lectin-, and small molecule-based coatings on the behavior of magnetite nanoparticles in vivo. For each type of obtained nanoparticles, we implemented passive targeting as well as magnetic targeting, the latter using an external magnetic field localized in the tumor area. Conclusions: The collected dataset provides critical insights into how surface modifications influence nanoparticle performance in complex biological systems, offering valuable guidance for optimizing therapeutic nanocarrier design. Full article
(This article belongs to the Section Nanomedicine and Nanotechnology)
Show Figures

Graphical abstract

18 pages, 2234 KB  
Article
A Gated Attention-Based Multiple Instance Learning and Test-Time Augmentation Approach for Diagnosing Active Sacroiliitis in Sacroiliac Joint MRI Scans
by Zeynep Keskin, Onur İnan, Ömer Özberk, Reyhan Bilici, Sema Servi, Selma Özlem Çelikdelen and Mehmet Yıldırım
J. Clin. Med. 2026, 15(6), 2101; https://doi.org/10.3390/jcm15062101 - 10 Mar 2026
Viewed by 48
Abstract
Background and Objective: Axial spondyloarthritis (axSpA) is a group of chronic inflammatory diseases that primarily affect the sacroiliac joints. Early diagnosis is crucial for preventing irreversible structural damage. Magnetic Resonance Imaging (MRI) is the gold standard for detecting early inflammatory changes such as [...] Read more.
Background and Objective: Axial spondyloarthritis (axSpA) is a group of chronic inflammatory diseases that primarily affect the sacroiliac joints. Early diagnosis is crucial for preventing irreversible structural damage. Magnetic Resonance Imaging (MRI) is the gold standard for detecting early inflammatory changes such as sacroiliitis. However, conventional MRI interpretation is inherently subjective and susceptible to both intra- and inter-observer variability. Therefore, artificial intelligence (AI)-driven diagnostic solutions are increasingly being explored. Among them, the Gated Attention Multiple Instance Learning (MIL) framework holds strong potential in modeling heterogeneous inflammatory distributions, thanks to its slice-level attention mechanism. This study aims to evaluate the diagnostic performance of a deep learning model based on Gated Attention MIL for automated sacroiliitis detection. Furthermore, its results are compared with a baseline deep learning architecture (standard ResNet-18), and its consistency with radiologist annotations is analyzed. Materials and Methods: The dataset included 554 subjects, comprising 276 patients diagnosed with axSpA and 278 healthy controls. All MRI data were derived from axial T2-weighted fat-suppressed (T2_TSE_TRA_FS) sequences. Patient-wise data splitting was employed to construct training, validation, and independent test sets. The proposed model architecture integrates ResNet-18-based feature extraction, a gated attention mechanism for instance-level weighting, and bag-level classification. Additionally, Test-Time Augmentation (TTA) was implemented to enhance robustness during inference. Results: On the independent test set, the model achieved an accuracy of 85.88%, sensitivity of 92.86%, specificity of 79.07%, and an F1-score of 86.67%. Attention heatmaps generated by the MIL module showed strong spatial overlap with bone marrow edema regions annotated by expert radiologists. Implementation of TTA led to an approximate 10% improvement in overall classification accuracy. Conclusions: The Gated Attention MIL framework demonstrated high diagnostic performance for sacroiliitis detection, indicating its value as a reliable decision support tool for early axSpA diagnosis. Validation on larger, multi-center datasets is warranted to ensure generalizability and to support clinical integration in routine radiology workflows. Full article
(This article belongs to the Topic Machine Learning and Deep Learning in Medical Imaging)
Show Figures

Graphical abstract

13 pages, 1091 KB  
Article
Thyroid Nodule Detection and Classification on Small Datasets: An Ensemble Deep Learning Approach with Attention Mechanism and Focal Loss
by Wei-Chen Hung, Yi-Kai Chang, Chih-Ming Chang, Po-Wen Cheng, Wu-Chia Lo, Ping-Chia Cheng and Li-Jen Liao
Diagnostics 2026, 16(6), 825; https://doi.org/10.3390/diagnostics16060825 - 10 Mar 2026
Viewed by 42
Abstract
Background: Thyroid nodule classification on ultrasound remains challenging due to limited labeled data and marked class imbalance. This study proposes an integrated deep learning framework combining YOLO-based region-of-interest detection with an enhanced ResNet18 classifier. Methods: A total of 522 thyroid ultrasound [...] Read more.
Background: Thyroid nodule classification on ultrasound remains challenging due to limited labeled data and marked class imbalance. This study proposes an integrated deep learning framework combining YOLO-based region-of-interest detection with an enhanced ResNet18 classifier. Methods: A total of 522 thyroid ultrasound images from 522 patients examined between July 2020 and June 2024 were included. The dataset comprised 467 images for training (399 benign, 68 malignant), 41 for independent testing (19 benign, 22 malignant), and 14 for internal validation (4 benign, 10 malignant). An external validation set of 36 images (22 benign, 14 malignant) was collected from online sources. ResNet18 with a convolutional block attention module was used to enhance feature extraction. To address small sample size and class imbalance, the training pipeline incorporated focal loss, weighted random sampling, mixup augmentation, cosine annealing learning rate scheduling, and a 5-fold cross-validation ensemble. Results: The ensemble model achieved 85.4% accuracy (95% CI: 74.5–96.2%), 86.4% sensitivity (95% CI: 72.0–100%), and 84.2% specificity (95% CI: 67.8–100%) on the independent test set. Internal validation yielded 85.7% accuracy, 90.0% sensitivity, and 75.0% specificity, while external validation demonstrated 77.8% accuracy, 78.6% sensitivity, and 77.3% specificity. These findings suggest that advanced regularization combined with ensemble learning improves generalizability despite limited data. Conclusions: This study demonstrates that a lightweight ResNet18 architecture with strategic optimization outperforms deeper networks on small medical datasets. The proposed framework demonstrated good diagnostic performance across multiple validation cohorts, offering a promising computer-aided diagnosis tool for thyroid nodule assessment. Full article
(This article belongs to the Section Medical Imaging and Theranostics)
Show Figures

Figure 1

19 pages, 537 KB  
Article
Bioelectrical Activity of Masticatory Muscles and Postural Stability Across TMD Subtypes
by Aleksandra Dolina, Justyna Pałka, Magdalena Zawadka, Marcin Wójcicki, Monika Litko-Rola, Jacek Szkutnik and Piotr Gawda
Diagnostics 2026, 16(5), 799; https://doi.org/10.3390/diagnostics16050799 - 8 Mar 2026
Viewed by 119
Abstract
Background: Existing evidence suggests an association between temporomandibular disorders (TMDs) and alterations in body posture and balance; however, the mechanism underlying this relationship remains unknown. The present study aimed to investigate the associations between specific TMD subtypes, indices of bioelectrical activity of [...] Read more.
Background: Existing evidence suggests an association between temporomandibular disorders (TMDs) and alterations in body posture and balance; however, the mechanism underlying this relationship remains unknown. The present study aimed to investigate the associations between specific TMD subtypes, indices of bioelectrical activity of the masticatory muscles, and parameters of body posture and balance. Methods: The study followed a case–control study design. A total of 81 participants were enrolled, including 33 controls and 48 individuals with TMD, classified into myofascial (n = 14), articular (n = 17), and mixed (n = 17) subtypes. Diagnosis of temporomandibular disorders was carried out by prosthodontic specialists using the Polish adaptation of the Diagnostic Criteria for Temporomandibular Disorders. Masticatory muscle bioelectrical activity was assessed by surface electromyography. For statistical analysis, the Asymmetry Index and Functional Clenching Activity Indices were used. Static balance was evaluated with a pedobarographic platform. The sway area, velocity, and length of the Center of Pressure, as well as the foot contact area, were recorded and automatically calculated by the system. Measurements were performed under different mandibular conditions, with both eyes open and eyes closed. Correlation analyses were performed using Spearman Rank Order Correlation. Pearson’s Chi-squared test was used for the analysis of categorical variables. Results: Weak to moderate negative correlations were primarily observed, indicating that higher indices of masticatory muscle bioelectrical activity were associated with better postural balance, with distinct correlation patterns identified across different TMD subtypes. Conclusions: This exploratory study identified multiple correlations between masticatory muscle activity and postural or balance parameters, suggesting possible subtype-specific patterns in TMDs. However, the evidence remains preliminary and should be interpreted with caution, warranting further confirmatory and longitudinal research. Full article
(This article belongs to the Special Issue Diagnostic Approaches to Temporomandibular Disorders)
Show Figures

Figure 1

14 pages, 601 KB  
Article
Automated Framework for Testing Random Number Generators for IoT Security Applications Using NIST SP 800-22
by Juan Castillo, Pere Aran Vila, Francisco Palacio, Blas Garrido, Sergi Hernández and Albert Cirera
IoT 2026, 7(1), 26; https://doi.org/10.3390/iot7010026 - 7 Mar 2026
Viewed by 161
Abstract
The continuous expansion of the Internet of Things (IoT) has intensified the need to evaluate and guarantee the quality of entropy sources used in random number generation, an essential element in securing communications used in IoT ecosystems. This work presents an automated and [...] Read more.
The continuous expansion of the Internet of Things (IoT) has intensified the need to evaluate and guarantee the quality of entropy sources used in random number generation, an essential element in securing communications used in IoT ecosystems. This work presents an automated and web-based framework designed to execute and analyze the results of statistical tests defined in the NIST SP 800-22 standard, enabling systematic assessment of entropy sources and random numbers generators in IoT devices and environments. The proposed system integrates a Python-based backend built upon an optimized implementation of the original NIST suite, along with an intuitive web interface that facilitates configuration, monitoring, and parallel execution of tests through Representational State Transfer (REST) endpoints. Session management based on Redis ensures reliable and concurrent operation of multiple users or devices while maintaining isolation and data integrity. To demonstrate its applicability, an emulated IoT ecosystem was implemented in which multiple virtual devices periodically and asynchronously request real-time validation of their local random numbers generators. The obtained results confirm the system’s capability to detect deficiencies in pseudo random generators and validate true random number sources, highlighting its potential as a diagnostic and verification tool for distributed IoT security systems. The tool developed in this work is fully accessible to the public, allowing researchers, engineers, and practitioners to evaluate random number generators without requiring specialized hardware or proprietary software. Full article
Show Figures

Figure 1

18 pages, 1434 KB  
Article
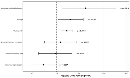
Clinical and Molecular Diagnostic Profiling of Vaginitis Using Multiplex Real-Time PCR: A Multicenter Study
by Hung Trong Mai, Chuong Canh Nguyen, Hao Thi Ngoc Vo, Thuy Thi Bich Nguyen, Trang Thi Pham, Hong Thi Ngo, Xuan Thi Ngo, Anh Thi Phuong Bui, Hue Thi Kim Ta and Anh Thi Van Nguyen
Diagnostics 2026, 16(5), 783; https://doi.org/10.3390/diagnostics16050783 - 5 Mar 2026
Viewed by 155
Abstract
Background: Vaginal infections often present with overlapping symptoms and involve single or multiple pathogens. However, the relationship between clinical symptoms and molecularly defined vaginal pathogen profiles, especially in multi-pathogen infections, remains poorly characterized in a routine care setting. This study exams the connection [...] Read more.
Background: Vaginal infections often present with overlapping symptoms and involve single or multiple pathogens. However, the relationship between clinical symptoms and molecularly defined vaginal pathogen profiles, especially in multi-pathogen infections, remains poorly characterized in a routine care setting. This study exams the connection between vaginal symptoms and pathogen profiles among women with vaginitis in Northern Vietnam. Methods: We conducted a multicenter cross-sectional study of women with vaginitis at Bac Ninh CDC and Hanoi Obstetrics and Gynecology Hospital between December 2023 and December 2024. Baseline demographics and clinical symptoms were assessed by physicians. Vaginal swabs were collected for pH measurement and pathogen detection using multiplex real-time PCR. The correlation was analyzed using logistic regression in GraphPad Prism v10.1.1. Results: Among 289 symptomatic women, abnormal vaginal discharge and itching were the most common symptoms. Gardnerella vaginalis was the most commonly detected pathogen, occurring alone or in combination with Candida albicans, Mycoplasma hominis, and other genital pathogens. Multi-pathogen infection was associated with abnormal vaginal discharge (OR = 5.44), itching (OR = 2.13), and elevated vaginal pH (OR = 4.70). Women at the tertiary hospital showed greater symptom burden (OR = 1.75) and higher prevalence of multi-pathogen infections (OR = 9.75) than those attending the provincial CDC. Conclusions: Multiplex real-time PCR combined with simple clinical indicators (symptom clustering and vaginal pH) provides practical diagnostic value for identifying multi-pathogen infections in symptomatic women. This integrated approach may support more accurate etiologic diagnosis and guide rational testing strategies, particularly in resource-limited settings. Full article
(This article belongs to the Section Pathology and Molecular Diagnostics)
Show Figures

Figure 1

14 pages, 2336 KB  
Article
Limitations of Retrospective Machine Learning Models for Predicting Tracheostomy After Cardiac Surgery
by Felix Wiesmueller, Johannes Rösch, Stephan Kersting and Thomas Strecker
Diagnostics 2026, 16(5), 771; https://doi.org/10.3390/diagnostics16050771 - 4 Mar 2026
Viewed by 209
Abstract
Background/Objectives: Early tracheostomy seems favorable in prolonged ventilated patients after surgery. Hence, predicting tracheostomy after cardiac surgery is essential. Recently proposed prediction models aim to support this decision-making process, but their diagnostic validity across other patient populations remains uncertain. Methods: A [...] Read more.
Background/Objectives: Early tracheostomy seems favorable in prolonged ventilated patients after surgery. Hence, predicting tracheostomy after cardiac surgery is essential. Recently proposed prediction models aim to support this decision-making process, but their diagnostic validity across other patient populations remains uncertain. Methods: A retrospective single-center study was performed at a university hospital. The patient sample included consecutive patients between 2010 and 2020 who underwent cardiac surgery. Patients who underwent tracheostomy after cardiac surgery were assigned to the intervention group. Control group patients, who had not undergone tracheostomy, were randomly assigned to the group. An existing model was evaluated by receiver operating characteristics curve analysis. Four sets of risk features were chosen depending on results from regression analysis, lasso regularization, random forest or clinical domain knowledge. Newly developed models were created using machine learning methods: random forest, naïve Bayes, nearest neighbor and deep learning. Multiple models were trained with either feature set and then assessed using confusion matrices on an independent test set. Results: A total of 4744 patients were included in this study. One-hundred and eighteen patients were included in the tracheostomy group. Diagnostic accuracy of the existing model showed insufficient discrimination (area under the curve (AUC) = 0.57). Likewise, newly developed models also showed overall poor diagnostic discrimination across all feature sets and algorithms. Conclusions: This study shows the diagnostic limitations of retrospective clinical data for the diagnostic prediction of tracheostomy, thereby informing the design of future prospective diagnostic studies. Training new models should not rely on retrospective data alone. Instead, prospective data collection and integration of physiological or imaging-based diagnostics could likely contribute to the development of a good classifier. Full article
(This article belongs to the Special Issue Artificial Intelligence for Clinical Diagnostic Decision Making)
Show Figures

Figure 1

16 pages, 516 KB  
Article
Pediatric Shock Across Acute Emergencies: Age Patterns, Etiologic Subtypes, and Bedside Clinical Indicators in a Single-Centre Cohort
by Cristina Elena Singer, Ion Dorin Pluta, Ștefănița Bianca Vintilescu, Popescu Elena Madalina, George Alin Stoica, Renata-Maria Varut, Pirscoveanu Denisa Floriana Vasilica, Virginia Radulescu, Nuica Valentina Geanina, Denisa Preoteasa, Mocanu Andreea Gabriela and Carmen Sirbulet
Children 2026, 13(3), 366; https://doi.org/10.3390/children13030366 - 4 Mar 2026
Viewed by 212
Abstract
Background/Objectives: Pediatric shock is a final common pathway of cardiovascular failure across diverse emergencies, yet data from mixed emergency cohorts outside intensive care units remain limited. This study aimed to describe the distribution, etiologic subtypes, and clinical correlates of shock in children presenting [...] Read more.
Background/Objectives: Pediatric shock is a final common pathway of cardiovascular failure across diverse emergencies, yet data from mixed emergency cohorts outside intensive care units remain limited. This study aimed to describe the distribution, etiologic subtypes, and clinical correlates of shock in children presenting within a diagnosis-based emergency cohort. Methods: A retrospective single-centre study was conducted in children aged 0–16 years presenting with selected acute pediatric emergencies, among whom cases with and without shock were compared. Shock was defined using documented diagnoses and compatible hemodynamic features, and multiple etiologic types of shock were analyzed, including hypovolemic, septic, cardiogenic, and anaphylactic shock. Demographic and diagnostic variables—age, length of stay, organ support, age strata, and selected comorbidities—and baseline clinical features were compared between children with and without shock using non-parametric and χ2/Fisher’s exact tests. Results: Within the prespecified diagnosis-based analytic cohort, 36/128 children (28.1%) met the study criteria for shock and occurred across all prespecified acute pediatric emergency groups, with the highest proportional burden in heart failure and meningitis; this proportion should not be interpreted as an emergency-department prevalence estimate. Children with shock were younger, with clustering in infants < 1 year and those aged 5–9 years, and tended to stay longer in hospital. Pre-existing cardiac disease, severe dehydration, and altered mental status/coma were more frequent among children with shock. Septic and cardiogenic shock required the most intensive organ support. Conclusions: In this pediatric emergency cohort, shock emerged as a clinically relevant and etiologically heterogeneous complication across diverse acute presentations, with a distinct age-related vulnerability pattern and consistent associations with readily identifiable bedside clinical features. Simple bedside information—particularly cardiac comorbidity, dehydration, and altered consciousness—may assist the early recognition of children with evolving circulatory failure and support closer monitoring and timely escalation of care. By focusing on a mixed emergency population outside the intensive care unit, this study provides a real-world clinical perspective that may help refine early bedside assessment and improve vigilance for shock in pediatric emergency departments. Full article
Show Figures

Figure 1

26 pages, 3452 KB  
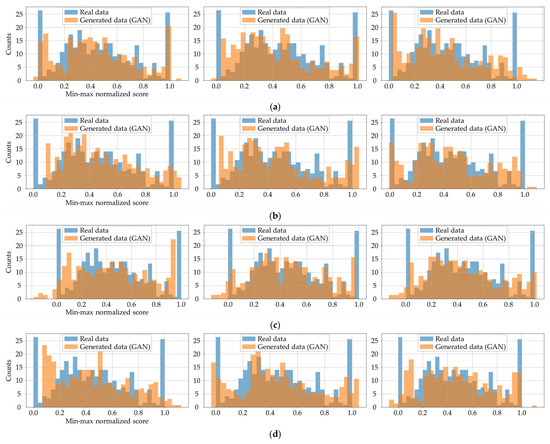
Article
Advancing Sustainable and Equitable STEM Education: A GAN-CNN Integrated Model for Precise Learning Diagnosis and Individualized Instruction
by Wen-Lin Tsai, Leon Yufeng Wu and Kuan-Yu Chen
Sustainability 2026, 18(5), 2481; https://doi.org/10.3390/su18052481 - 4 Mar 2026
Viewed by 170
Abstract
Sustainable and equitable STEM education requires assessment mechanisms that support timely instructional decisions while remaining feasible in resource-constrained classroom environments. Traditional assessments typically report only class-level statistics, limiting teachers’ ability to diagnose individual learning difficulties. This study proposes a classroom-oriented AI-assisted diagnostic framework [...] Read more.
Sustainable and equitable STEM education requires assessment mechanisms that support timely instructional decisions while remaining feasible in resource-constrained classroom environments. Traditional assessments typically report only class-level statistics, limiting teachers’ ability to diagnose individual learning difficulties. This study proposes a classroom-oriented AI-assisted diagnostic framework that integrates generative adversarial networks (GANs) and convolutional neural networks (CNNs) to support learning pattern identification under conditions of severe data scarcity. Student response-behavior data collected through an online testing platform were used to categorize learners into predefined learning behavior types. The GAN was employed to generate locally perturbed samples for stability-oriented data expansion at multiple scales, while the CNN served as a pattern consistency learner operating on the expanded dataset. Rather than aiming for population-level generalization, the framework examines the stability and consistency of learning behavior classification within a single classroom context. Classification results across different expansion scales showed stable performance, with CNN accuracies exceeding 72%. Based on diagnostic outputs, teachers implemented targeted remedial instruction. Case study results show that four out of five remedial interventions exhibited observable improvement. These findings indicate that the proposed framework functions as a proof-of-concept decision-support tool for formative diagnosis and targeted instruction, supporting more equitable learning opportunities, improving instructional efficiency, and contributing to sustainable STEM education aligned with SDG 4. Full article
(This article belongs to the Section Sustainable Education and Approaches)
Show Figures

Figure 1

16 pages, 1355 KB  
Article
Retrospective Molecular Detection and Characterization of Pathogenic Leptospira in the Philippines
by Joanna Ina G. Manalo, Adeliza Mae L. Realingo, Lei Lanna M. Dancel, Timothy John R. Dizon, Amalea Dulcene Nicolasora, Kristine Alvarado-Dela Cruz, Desiree D. Argana, Arjay Niño A. Digman, Emarld Julian G. Medina, Celine Bernice A. Roxas, Rubelia A. Baterna and Julieta Z. Dungca
Trop. Med. Infect. Dis. 2026, 11(3), 69; https://doi.org/10.3390/tropicalmed11030069 - 4 Mar 2026
Viewed by 433
Abstract
Leptospirosis remains a public health concern in the Philippines. Conventional diagnostic methods, including the microscopic agglutination test (MAT) and qPCR, are routinely used for outbreak response and surveillance. However, these methods often yield discordant results due to cross-reactivity, limited sensitivity, or lack of [...] Read more.
Leptospirosis remains a public health concern in the Philippines. Conventional diagnostic methods, including the microscopic agglutination test (MAT) and qPCR, are routinely used for outbreak response and surveillance. However, these methods often yield discordant results due to cross-reactivity, limited sensitivity, or lack of species-level resolution. To address these diagnostic gaps, this study optimized the Boonsilp 16S rRNA PCR assay and applied Sanger sequencing for accurate species identification of Leptospira in 92 archived DNA samples collected between 2018 and 2020. The sensitivity and specificity of the optimized assay were compared with those of MAT and qPCR. Species-level identification was confirmed via sequencing, and a phylogenetic tree was constructed. Among the 92 samples, 46 (50.0%) tested positive by qPCR, 39 (42.4%) by MAT, and 67 (72.8%) by at least one of the two methods. The optimized Boonsilp assay detected Leptospira in 23 samples (25.0%), of which 22 were also qPCR positive. Twenty-one samples were confirmed as L. interrogans, one as L. borgpetersenii, and one as an unclassified Leptospira species. One sample undetected by both MAT and qPCR tested positive using the optimized assay. Compared to the composite reference, the Boonsilp assay showed 32.8% sensitivity and 96.0% specificity. Phylogenetic analysis revealed multiple L. interrogans strains, including those closely related to reference sequences of Copenhageni, Manilae, and Canicola. While the optimized Boonsilp PCR assay demonstrates diagnostic value as an adjunct molecular tool to qPCR and MAT supporting species-level identification during outbreak surveillance, this warrants further validation in freshly isolated DNA samples. Full article
(This article belongs to the Special Issue Leptospirosis and One Health)
Show Figures

Figure 1

19 pages, 438 KB  
Article
Project Finance Structuring, Public Sector Participation, and Institutional Capacity on Sustainability of Special Economic Zone Projects in Kenya
by Asha Abdi, Reuben Wambua Kikwatha and Johnbosco M. Kisimbii
Sustainability 2026, 18(5), 2455; https://doi.org/10.3390/su18052455 - 3 Mar 2026
Viewed by 197
Abstract
Special Economic Zones (SEZs) have increasingly been adopted worldwide as policy instruments for industrialization, export promotion, and employment creation. However, despite their rapid expansion, the long-term sustainability of SEZ projects remains uneven, particularly in emerging economies such as Kenya, where several zones continue [...] Read more.
Special Economic Zones (SEZs) have increasingly been adopted worldwide as policy instruments for industrialization, export promotion, and employment creation. However, despite their rapid expansion, the long-term sustainability of SEZ projects remains uneven, particularly in emerging economies such as Kenya, where several zones continue to operate below expected performance levels. Existing studies largely emphasize financial viability while paying limited attention to how governance and institutional factors jointly influence multidimensional sustainability outcomes. This study therefore examines the combined influence of project finance structuring, public sector participation, and institutional capacity on the sustainability of SEZ projects in Kenya. In this study, sustainability is conceptualized through the triple bottom line dimensions of economic, social, and environmental sustainability. The study adopted a cross-sectional research design and collected primary data from stakeholders across SEZ projects using structured questionnaires administered to project managers, government officials, and community representatives. Reliability and validity of measurement instruments were confirmed through Cronbach’s alpha and factor analysis, while diagnostic tests verified compliance with regression assumptions. Data were analyzed using descriptive statistics, Pearson correlation, and multiple linear regression techniques. Descriptive findings indicate moderate overall project sustainability, with economic sustainability recording relatively stronger outcomes compared to social and environmental sustainability, suggesting uneven progress across sustainability dimensions. Regression results show that public sector participation emerged as the strongest predictor of SEZ projects’ sustainability, followed by institutional capacity, while project finance structuring demonstrated only a moderate relationship and became statistically insignificant when public sector participation and institutional factors were jointly considered. Collectively, the integrated model explained approximately 76.5% of the variation in SEZ projects’ sustainability. The study concludes that sustainable SEZ projects in Kenya depends less on project finance structuring alone and more on strong institutional systems and proactive public sector participation capable of balancing economic growth with social and environmental objectives. The findings contribute to policy and practice by emphasizing a shift from finance-centric SEZ projects development toward integrated governance frameworks that promote inclusive and environmentally responsible industrialization. Full article
Show Figures

Figure 1

21 pages, 4034 KB  
Article
Developability Evaluation of Single-Domain Antibody-Chelator Conjugates for Diagnostic Radiotracers
by Philipp D. Kaiser, Simon Straß, Sandra Maier, Evgenia Herbold, Bjoern Traenkle and Anne Zeck
Antibodies 2026, 15(2), 22; https://doi.org/10.3390/antib15020022 - 3 Mar 2026
Viewed by 248
Abstract
Background/Objectives: Developability assessment is a critical step in advancing antibody-based molecules toward clinical application. This evaluation typically begins during clinical candidate selection and continues throughout all modifications of the molecule during development. It is guided by the target product profile, which includes [...] Read more.
Background/Objectives: Developability assessment is a critical step in advancing antibody-based molecules toward clinical application. This evaluation typically begins during clinical candidate selection and continues throughout all modifications of the molecule during development. It is guided by the target product profile, which includes the intended administration route and regimen, formulation parameters, and process conditions encountered during manufacturing, storage, and delivery. While developability testing is well established for conventional therapeutic antibodies, strategies for assessing single-domain antibodies (sdAbs) and their conjugates remain underexplored. Here, we present a strategy to test the developability of sdAbs as a case study for two clinical candidates intended as precursors for the production of diagnostic tracers for clinical imaging. Methods: Assays were developed to evaluate chemical and thermodynamic stability, target binding affinity and capacity, and chelation efficiency (“chelatability”). Accelerated stability studies were conducted for both unconjugated sdAbs and their chelator conjugated forms following incubation at two pH conditions, at multiple time points, and after twelve freeze–thaw cycles to simulate process conditions and long-term storage. Analytical assays were applied stepwise in a hierarchical approach to minimize experimental effort and material consumption. Candidates exhibiting critical developability features were selectively addressed by assays with increasing precision. Results: A tailored panel of analytical assays optimized for low molecular weight proteins was established and applied to the two clinical candidates, identifying instability hotspots as well as potential mitigation strategies. Successful engineering of a candidate with an initially critical developability profile was achieved. Conclusions: This study demonstrates the implementation of a structured developability assessment strategy for sdAb conjugates. The approach integrates physicochemical and functional stability evaluations, supporting robust candidate selection, formulation development, and method optimization for this class of molecules. Full article
Show Figures

Graphical abstract

9 pages, 404 KB  
Article
Quantification of Sonicated Implants from Patients with Osteoarticular Implant Infections
by L. Trallero-Calvo, A. Auñon, A. Blanco, J. Garcia-Cañete, R. Parrón, J. Esteban and L. Salar Vidal
Antibiotics 2026, 15(3), 258; https://doi.org/10.3390/antibiotics15030258 - 2 Mar 2026
Viewed by 270
Abstract
Background: Sonication of retrieved implants has emerged as a valuable diagnostic adjunct for Prosthetic Joint Infection (PJI), particularly in chronic infections or cases with prior antibiotic exposure. Quantitative culture of sonication fluid has been proposed to differentiate contamination from true infection; however, the [...] Read more.
Background: Sonication of retrieved implants has emerged as a valuable diagnostic adjunct for Prosthetic Joint Infection (PJI), particularly in chronic infections or cases with prior antibiotic exposure. Quantitative culture of sonication fluid has been proposed to differentiate contamination from true infection; however, the diagnostic thresholds remain inconsistent across studies and may be influenced by methodological variability. Objectives: We aimed to evaluate bacterial counts obtained from the routine sonication of osteoarticular implants and assess their diagnostic performance across different infection types. Methods: A retrospective study was conducted (2011–2023) at a tertiary hospital. Implants from patients with PJI or Fracture-Related Infection (FRI), classified according to international criteria, were processed using a standardized sonication protocol, including centrifugation and inoculation onto multiple culture media. Quantitative results were expressed as CFU/mL. Bacterial counts were compared across infection types (acute PJI, chronic PJI, FRI), microbial characteristics, infection pattern, and affected joint using non-parametric tests. Results: A total of 457 sonicated implants were analyzed, including 316 PJI samples (26.3% acute; 73.7% chronic) and 141 FRI samples. The median bacterial count was 40,000 CFU/mL (IQR 1000–100,000). No significant differences were found between prosthetic and osteosynthesis implants. Polymicrobial infections showed significantly higher counts than monomicrobial infections (p < 0.005). No significant differences were observed according to Gram stain or joint site. Acute PJI tended to show higher bacterial burdens than chronic PJI, although not significantly (p = 0.052). Conclusions: Quantitative sonication yields substantial variability in bacterial loads, with higher counts in polymicrobial infections and a trend toward increased counts in acute PJI. A threshold of ≥1000 CFU/mL appeared to be clinically meaningful within our protocol. These findings support the diagnostic utility of quantitative sonication and underscore the need for protocol-specific thresholds. Full article
Show Figures

Figure 1

Back to TopTop