Sign in to use this feature.

Years

Between: -

Subjects

remove_circle_outline
remove_circle_outline
remove_circle_outline
remove_circle_outline
remove_circle_outline
remove_circle_outline
remove_circle_outline
remove_circle_outline
remove_circle_outline

Journals

Article Types

Countries / Regions

Search Results (245)

Search Parameters:
Keywords = multi-wavelet decomposition

Order results
Result details
Results per page
Select all
Export citation of selected articles as:
19 pages, 25240 KB  
Article
A Hybrid Time–Frequency-Domain-Enhanced iTransformer for Temporal Carbon Emission Prediction
by Wenyu Zhang, Fei Shi, Yanyun Zhou and Zhenhong Jia
Appl. Sci. 2026, 16(5), 2512; https://doi.org/10.3390/app16052512 - 5 Mar 2026
Viewed by 151
Abstract
Short-term forecasting of carbon dioxide (CO2) emissions supports near-term mitigation planning, but real-world emission series are nonlinear, non-stationary, and contaminated by multi-scale fluctuations. This paper proposes RVWF-iTransformer, which integrates RIME-optimized variational mode decomposition (RIME-VMD), a trainable one-dimensional wavelet convolution block (WTConv [...] Read more.
Short-term forecasting of carbon dioxide (CO2) emissions supports near-term mitigation planning, but real-world emission series are nonlinear, non-stationary, and contaminated by multi-scale fluctuations. This paper proposes RVWF-iTransformer, which integrates RIME-optimized variational mode decomposition (RIME-VMD), a trainable one-dimensional wavelet convolution block (WTConv1d), and a discrete-cosine-transform-based frequency-enhanced channel attention mechanism (FECAM) into an iTransformer backbone. The model was evaluated on daily national CO2 emissions for China and India using Carbon Monitor and on two public benchmarks (PM2.5 and ETTH2) using a chronological 8/2 (train/test) split (with validation taken from the tail of the training segment for early stopping) and horizons H{5,10,15,20}. Predictive results are reported as mean ± standard deviation over 20 independent runs; RVWF-iTransformer yields the lowest errors at longer horizons on China-CO2 and maintains robust performance under additive Gaussian noise with SNR = 20/10/5 dB. These findings suggest that aligning adaptive decomposition and time–frequency representation learning within a single causal pipeline improves forecasting stability for non-stationary environmental time series. Full article
Show Figures

Figure 1

23 pages, 4634 KB  
Article
Revealing Driving Factors of Spatiotemporal Deformation in Typical Landslides of the Jinsha River Hulukou–Xiangbiling Segment Using InSAR: A Case Study of Xiaxiaomidi and Chenjiatian Landslides
by Boyu Zhang, Chenglei Hu, Xinwei Jiang, Jie He, Yuguo Wu, Xu Ma, Wei Xiong, Xiaoyan Lan and Kai Yang
Remote Sens. 2026, 18(5), 784; https://doi.org/10.3390/rs18050784 - 4 Mar 2026
Viewed by 143
Abstract
The Hulukou-Xiangbiling section of the Jinsha River is located in a typical high-mountain gorge area characterized by a complex geological environment, rendering it highly susceptible to landslide disasters. To reveal the deformation mechanisms of typical landslides in this region under hydrological effects, this [...] Read more.
The Hulukou-Xiangbiling section of the Jinsha River is located in a typical high-mountain gorge area characterized by a complex geological environment, rendering it highly susceptible to landslide disasters. To reveal the deformation mechanisms of typical landslides in this region under hydrological effects, this study employed the Small Baseline Subset InSAR (SBAS-InSAR) technique to process multi-track Sentinel-1 SAR images acquired between 2021 and 2024. Long-term deformation time series were extracted for the Xiaxiaomidi and Chenjiatian landslides. On this basis, a systematic multi-scale coupling analysis of the deformation characteristics was conducted using trend-cycle decomposition, Continuous Wavelet Transform (CWT), Cross Wavelet Transform (XWT), and Wavelet Coherence (WTC). The results indicate that although the two landslides are located in the same river section, their deformation mechanisms and hydrological response patterns differ significantly. The deformation of the Xiaomidi landslide is mainly concentrated in the lower part of the slope, exhibiting a characteristic of continuous acceleration. The analysis demonstrates that the evolution of this landslide is primarily controlled by hydrodynamic processes such as toe unloading, water body erosion, and water level fluctuations. In contrast, the Chenjiatian landslide displays a distinct dominant cycle of 365 days, manifesting as a composite mode of long-term creep superimposed with seasonal acceleration. Its deformation shows a high correlation with rainfall (correlation coefficient > 0.9), with a lag effect of approximately 1 to 2 months. This reflects the dominant role of rainfall infiltration and pore pressure transfer in the landslide dynamics. Full article
Show Figures

Figure 1

17 pages, 1851 KB  
Article
Spatio-Temporal Graph Neural Networks for Anomaly Detection in Complex Industrial Processes
by Shutian Zhao, Hang Zhang, Bei Sun and Yijun Wang
Sensors 2026, 26(5), 1597; https://doi.org/10.3390/s26051597 - 4 Mar 2026
Viewed by 101
Abstract
With the advancement of intelligent manufacturing strategies, Cyber–Physical Production Systems (CPPSs) generate massive amounts of multidimensional, dynamic, and non-stationary data, posing significant challenges to real-time Process Monitoring. Existing anomaly detection methods often suffer from insufficient feature robustness when dealing with complex spatio-temporal dynamics, [...] Read more.
With the advancement of intelligent manufacturing strategies, Cyber–Physical Production Systems (CPPSs) generate massive amounts of multidimensional, dynamic, and non-stationary data, posing significant challenges to real-time Process Monitoring. Existing anomaly detection methods often suffer from insufficient feature robustness when dealing with complex spatio-temporal dynamics, high computational complexity, and difficulties in effectively capturing incipient faults within deep topological structures. To address these issues, this paper proposes a Spatio-Temporal Variational Graph Statistical Attention Autoencoder (ST-VGSAE). First, the framework performs end-to-end multi-scale temporal decomposition via an Adaptive Lifting Wavelet Module, which enhances feature robustness while effectively suppressing noise. Furthermore, a spatio-temporal Token statistical self-attention mechanism with linear complexity is incorporated. By modulating local features via global statistics, it significantly reduces computational costs while enhancing anomaly discriminability. Experiments on the Tennessee Eastman (TE) process dataset demonstrate that the proposed model significantly outperforms state-of-the-art methods in key metrics such as the Fault Detection Rate and the False Alarm Rate, exhibiting superior noise robustness and real-time performance. Full article
(This article belongs to the Special Issue Advanced Sensing Technologies in Industrial Defect Detection)
Show Figures

Figure 1

29 pages, 56350 KB  
Article
MFE-DETR: Multimodal Feature-Enhanced Detection Transformer for RGB–Infrared Object Detection in Aerial Imagery
by Zekai Yan and Mu-Jiang-Shan Wang
Symmetry 2026, 18(3), 417; https://doi.org/10.3390/sym18030417 (registering DOI) - 27 Feb 2026
Viewed by 137
Abstract
Multimodal object detection utilizing RGB and infrared (IR) imagery has become a critical research area for unmanned aerial vehicle (UAV) surveillance applications, providing reliable perception under various lighting and environmental conditions. Nevertheless, current methods encounter three primary challenges: (1) insufficient utilization of frequency-domain [...] Read more.
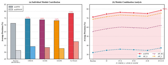
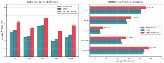
Multimodal object detection utilizing RGB and infrared (IR) imagery has become a critical research area for unmanned aerial vehicle (UAV) surveillance applications, providing reliable perception under various lighting and environmental conditions. Nevertheless, current methods encounter three primary challenges: (1) insufficient utilization of frequency-domain properties in heterogeneous modalities, (2) restricted adaptability in crossmodal feature integration across different environmental scenarios, and (3) inadequate modeling of fine-grained spatial relationships for accurate object localization. To overcome these limitations, we introduce MFE-DETR, a novel Multimodal Feature-Enhanced Detection Transformer that achieves superior RGB-IR fusion through three complementary innovations. First, we present the Dual-Modality Enhancement Module (DMEM) with two specialized processing streams: the Haar wavelet decomposition stream (HWD-Stream) that conducts multi-resolution frequency-domain analysis to independently enhance low-frequency structural components and high-frequency textural information, and the Attention-guided Kolmogorov–Arnold Refinement Stream (AKR-Stream) that employs learnable spline-parameterized activation functions for adaptive nonlinear feature refinement. Second, we enhance the Cross-scale Channel Feature Fusion module by integrating an Adaptive Feature Fusion Module (AFAM) with complementary gating mechanisms that dynamically adjust modality contributions according to spatial informativeness. Third, we introduce the Bilinear Attention-Enhanced Detection Module (BADM) that models second-order feature interactions through factorized bilinear pooling, facilitating fine-grained crossmodal correlation analysis. Extensive experiments on the DroneVehicle benchmark show that MFE-DETR attains 78.6% mAP50 and 57.8% mAP50:95, outperforming state-of-the-art approaches by 5.3% and 3.7%, respectively. Additional evaluations on the VisDrone dataset further confirm the excellent generalization performance of our method, especially for small object detection with 18.6% APS, achieving a 1.5% improvement over existing techniques. Comprehensive ablation studies and visualizations offer detailed insights into the effectiveness of each proposed component. Full article
(This article belongs to the Section Computer)
Show Figures

Figure 1

17 pages, 1036 KB  
Article
Robust Time-of-Flight Estimation for Multi-Echo Ultrasonic Signals Using the Secretary Bird Optimization Algorithm
by Dawei Wang, Yuxin Xie, Wei Yu, Chenyang Li and Gaofeng Meng
Algorithms 2026, 19(3), 181; https://doi.org/10.3390/a19030181 - 27 Feb 2026
Viewed by 177
Abstract
To address the instability in extracting key parameters such as time-of-flight (ToF) from ultrasonic echoes due to noise and multi-echo superposition, this paper proposes a robust parameter estimation method based on the secretary bird optimization algorithm (SBOA). The proposed approach adheres to the [...] Read more.
To address the instability in extracting key parameters such as time-of-flight (ToF) from ultrasonic echoes due to noise and multi-echo superposition, this paper proposes a robust parameter estimation method based on the secretary bird optimization algorithm (SBOA). The proposed approach adheres to the Gaussian convolution-based echo parameterization and cosine-similarity matching framework, while innovatively introducing SBOA to perform global optimization of model parameters. Consequently, the multi-echo ToF estimation is formulated as a nonlinear optimization problem aimed at maximizing waveform shape consistency. To evaluate the method’s performance, simulations are conducted under multi-echo superposition scenarios. Comparisons are made with representative baseline techniques, including wavelet transform (WT), empirical mode decomposition (EMD), and variational mode decomposition (VMD), using mean squared error (MSE), estimated signal-to-noise ratio (ESNR), and normalized cross-correlation (NCC) as performance metrics. Experimental results demonstrate that, in challenging low-SNR and echo-interference environments, the proposed method achieves overall superiority across all quantitative metrics and exhibits a stronger capability to preserve the main-lobe morphology and structural features of echoes. Validation on semi-synthetic signals further confirms its effectiveness, with practical applicability to be verified by measured datasets in future work. This work provides an effective and robust solution for ultrasonic signal processing in complex field conditions. Full article
Show Figures

Figure 1

30 pages, 8702 KB  
Article
A Novel Hybrid Adaptive Multi-Resolution Feature Extraction Method for Power Quality Disturbance Detection
by Musaed Alrashidi
Mathematics 2026, 14(5), 784; https://doi.org/10.3390/math14050784 - 26 Feb 2026
Viewed by 142
Abstract
Monitoring power quality (PQ) and classifying disturbances are essential for guaranteeing the reliable operation of contemporary electrical systems. Nonetheless, deriving discriminative features from PQ signals poses difficulties due to the complexity and non-stationary characteristics of disturbances. Therefore, this research introduces a novel Hybrid [...] Read more.
Monitoring power quality (PQ) and classifying disturbances are essential for guaranteeing the reliable operation of contemporary electrical systems. Nonetheless, deriving discriminative features from PQ signals poses difficulties due to the complexity and non-stationary characteristics of disturbances. Therefore, this research introduces a novel Hybrid Adaptive Multi-Resolution Feature Extraction (HAMRFE) approach for classifying power quality disturbances (PQDs). The proposed HAMRFE framework incorporates six synergistic techniques: adaptive signal decomposition, multi-resolution wavelet analysis, time–frequency analysis, morphological feature extraction, entropy-based feature extraction, and feature selection optimization. Experiments are performed on a dataset consisting of fifteen types of PQDs with differing noise levels. In addition, the performance of five classification algorithms is assessed, including Support Vector Machine (SVM), Artificial Neural Networks, Random Forest, Extreme Gradient Boosting, and K-nearest neighbor. The results indicate the exceptional efficacy of SVM utilizing HAMRFE features, with classification accuracies of 99.86% for noiseless signals, 99.85% at 40 dB, 99.82% at 30 dB, 99.74% at 20 dB, and 97.92% at 10 dB noise levels. Additionally, an analysis of different feature set sizes reveals that the set comprising 125 features is optimal at all noise levels, achieving a balance between computational efficiency and classification accuracy. Finally, the proposed HAMRFE approach exhibits remarkable resilience to noise and offers a thorough framework for classifying PQDs in practical applications. Full article
(This article belongs to the Section E: Applied Mathematics)
Show Figures

Figure 1

20 pages, 2394 KB  
Article
Multi-Frequency-Scale Distributed Recurrence Plot-Based Fault Diagnosis for PMSM
by Jun Sun, Ziling Nie, Yu Zhou, Pan Sun, Yangwei Zhou, Yihui Xia and Huayu Li
Sensors 2026, 26(4), 1361; https://doi.org/10.3390/s26041361 - 20 Feb 2026
Viewed by 277
Abstract
Conventional permanent magnet synchronous motor (PMSM) fault diagnosis methods rely on one-dimensional (1-D) time-series signals. These approaches face challenges such as complex signal processing, difficulty in extracting fault features, and limited noise immunity. To address these issues, a novel approach method is proposed. [...] Read more.
Conventional permanent magnet synchronous motor (PMSM) fault diagnosis methods rely on one-dimensional (1-D) time-series signals. These approaches face challenges such as complex signal processing, difficulty in extracting fault features, and limited noise immunity. To address these issues, a novel approach method is proposed. Its core process includes wavelet packet decomposition (WPD), distributed recurrence plot (DRP) generation, and image transformation. This approach enables feature representation of the original signal across multiple frequency bands, and the shortcomings of traditional recurrence plots in terms of feature redundancy and long-sequence representation are overcome. On this basis, a lightweight multi-frequency-scale fault diagnosis model is developed, consisting of a multi-frequency-scale convolutional neural network (CNN), a convolutional block attention module (CBAM), and a global average pooling (GAP) layer. Experimental results demonstrate that the proposed method achieves high diagnostic accuracy and strong noise immunity. Under identical hardware and dataset conditions, the inference time of the proposed method is only 12.35% as long as that of traditional recurrence plot-based CNN and 50.03% as long as that of asymmetric recurrence plot-based CNN. Full article
(This article belongs to the Special Issue AI-Assisted Condition Monitoring and Fault Diagnosis)
Show Figures

Figure 1

22 pages, 1746 KB  
Article
WMCA-Net: Wavelet Multi-Scale Contextual Attention Network for Segmentation of the Intercondylar Notch
by Yi Wu, Xiangxin Wang, Hu Liu, Quan Zhou, Lingyan Zhang, Yujia Zhou and Qianjin Feng
Bioengineering 2026, 13(2), 236; https://doi.org/10.3390/bioengineering13020236 - 18 Feb 2026
Viewed by 222
Abstract
Accurate segmentation of the intercondylar notch of the femur is of great significance for the diagnosis of knee joint diseases, surgical planning, and anterior cruciate ligament (ACL) reconstruction. Among them, the obvious anatomical heterogeneity, the interference of structurally similar tissues, and the blurred [...] Read more.
Accurate segmentation of the intercondylar notch of the femur is of great significance for the diagnosis of knee joint diseases, surgical planning, and anterior cruciate ligament (ACL) reconstruction. Among them, the obvious anatomical heterogeneity, the interference of structurally similar tissues, and the blurred boundaries in MRI images make the segmentation of the intercondylar notch challenging. The segmentation of the intercondylar notch is often regarded as a standard semantic segmentation problem, but doing so leaves the inherent high-order internal variation and low-contrast features of its anatomical structure unresolved. We proposed a new Wavelet Multi-scale Contextual Attention Network (WMCA-Net). We have coordinated the Shallow High-frequency Feature Dense Extraction Block (SHFDEB) and Wavelet Split and Fusion Block (WSFB) modules with each other. The SHFDEB intensively extracts high-frequency detailed features at the shallowest layer of the network, while the WSFB effectively splits and fuses features at various resolutions, suppressing noise while better preserving the high-frequency detailed structural information we need. The Multi-scale Depth-wise Convolution Block (MDCB) captures cross-scale features from the narrow intercondylar notch (5–8 mm wide) to the surrounding femoral structure (approximately 50 mm diameter), dynamically adapting to different morphologies, including pathological changes caused by osteophyte formation. The Contextual-Weighted Attention Module (CWAM) establishes long-term semantic associations between fuzzy regions and clear anatomical landmarks by precisely locating uncertain regions through foreground and background decomposition. The Dice Similarity Coefficient of WMCA-Net on the intercondylar notch dataset is 93.16%, and the 95% Hausdorff Distance is 1.42 mm, demonstrating its advanced segmentation performance and good anatomical adaptability. Full article
(This article belongs to the Special Issue Application of Bioengineering to Orthopedics)
Show Figures

Figure 1

23 pages, 6166 KB  
Article
Efficient Multivariate Time Series Forecasting with SC-TWRNet: Combining Adaptive Multi-Resolution Wavelet and Parallelizable Decomposition
by Yu Chen and Hanshen Li
Algorithms 2026, 19(2), 155; https://doi.org/10.3390/a19020155 - 15 Feb 2026
Viewed by 327
Abstract
Long-term multivariate time series forecasting serves as a fundamental analytical tool across diverse domains, such as energy management, transportation analysis, and meteorology. However, conventional modeling paradigms often yield suboptimal results as they fail to adequately capture non-stationarity and multi-scale temporal correlations. While frequency-domain [...] Read more.
Long-term multivariate time series forecasting serves as a fundamental analytical tool across diverse domains, such as energy management, transportation analysis, and meteorology. However, conventional modeling paradigms often yield suboptimal results as they fail to adequately capture non-stationarity and multi-scale temporal correlations. While frequency-domain methods offer theoretical clarity, representative efficient spectral-domain architectures often rely on magnitude-based spectral pruning to ensure efficiency, inadvertently discarding high-frequency transient signals essential for non-stationary forecasting. To address these limitations, we propose the Structural Component-based Temporal Wavelet-Refine Network (SC-TWRNet), a framework that orchestrates adaptive wavelet filtering with explicit structural temporal decomposition. The architecture is anchored by the Adaptive Multi-Resolution Wavelet (AMRW) filter, designed to generate time-frequency representations while maintaining linear computational complexity. Concurrently, a structural temporal decomposition module decouples the input stream into distinct trend, seasonal, and residual components for targeted modeling. Extensive experiments on eight standard datasets demonstrate that SC-TWRNet achieves superior predictive accuracy compared to state-of-the-art baselines while maintaining linear computational complexity for efficient high-dimensional modeling. Full article
Show Figures

Figure 1

21 pages, 7791 KB  
Article
An Integrated IEWT and CNN–Transformer Deep Architecture for Intelligent Fault Diagnosis of Bogie Axle-Box Bearings
by Xiaoping Ding, Zhongqi Li, Minghui Tang, Xiaoxu Shen and Liang Zhou
Electronics 2026, 15(4), 804; https://doi.org/10.3390/electronics15040804 - 13 Feb 2026
Viewed by 229
Abstract
To address the strong nonstationarity and complex multi-source interference in vibration signals of bogie axle-box bearings, a fault diagnosis method combining Improved Empirical Wavelet Transform (IEWT) and a Convolutional Neural Network (CNN)–Transformer model is proposed. First, the vibration signals are decomposed using the [...] Read more.
To address the strong nonstationarity and complex multi-source interference in vibration signals of bogie axle-box bearings, a fault diagnosis method combining Improved Empirical Wavelet Transform (IEWT) and a Convolutional Neural Network (CNN)–Transformer model is proposed. First, the vibration signals are decomposed using the IEWT method, where dynamic frequency-band division adaptively determines the decomposition bands. This yields multiple intrinsic mode functions, and key modes containing fault features are selected based on information entropy. Next, the selected key modes are fused and transformed into polar coordinate projection maps, further enhancing the distinctiveness of fault data features. Finally, CNN is employed to extract local features from the vibration signals, while the Transformer captures long-range dependencies through the self-attention mechanism, significantly improving feature modeling for complex signals. To validate the fault diagnosis performance of the IEWT and CNN–Transformer model, vibration signals from bogie axle-box bearings in urban railways are analyzed. Analysis of the experimental data suggests that the adaptive decomposition of bearing signals using IEWT effectively overcomes the fixed band boundary limitations of traditional EWT, enhancing the precision of signal feature extraction. The integration of polar coordinate projection maps more accurately illustrates frequency variations and amplitude differences in the signals, fully capturing their nonstationary characteristics. Among the five fault categories of bogie axle-box bearings, the proposed method achieves an accuracy of 99.46%, a recall rate of 99.52%, and an F1-score of 0.995, significantly outperforming five classic comparison methods. This demonstrates that the combined strengths of CNN and Transformer yield higher classification accuracy and better robustness in handling complex fault patterns, effectively solving the fault diagnosis challenges for bogie axle-box bearings. Full article
(This article belongs to the Special Issue Advances in Condition Monitoring and Fault Diagnosis)
Show Figures

Figure 1

21 pages, 4143 KB  
Article
Distinguishing Early Depression from Negative Emotion via Multi-Domain EEG Feature Fusion and Multi-Head Additive Attention Network
by Ruoyu Du, Benbao Wang, Haipeng Gao, Tingting Xu, Shanjing Ju, Xin Xu and Jiangnan Xu
Entropy 2026, 28(2), 218; https://doi.org/10.3390/e28020218 - 13 Feb 2026
Viewed by 223
Abstract
The early diagnosis of depression is often impeded by the subjectivity inherent in traditional clinical assessments. To advance objective screening, this study proposes a lightweight neural network framework designed to discriminate between pathological depressive states and non-pathological transient negative emotions using EEG signals. [...] Read more.
The early diagnosis of depression is often impeded by the subjectivity inherent in traditional clinical assessments. To advance objective screening, this study proposes a lightweight neural network framework designed to discriminate between pathological depressive states and non-pathological transient negative emotions using EEG signals. Diverging from conventional methods that rely on single-domain features, we construct a comprehensive multi-domain feature space via Wavelet Packet Decomposition. Specifically, the framework integrates frequency (α/β power spectral density ratio), spatial (normalized α-asymmetry), and non-linear (Sample Entropy) attributes to capture the heterogeneous neurophysiological dynamics of depression. To effectively synthesize these diverse features, a multi-head additive attention mechanism is introduced. This mechanism empowers the model to adaptively recalibrate feature weights, thereby prioritizing the most discriminative patterns associated with the disorder. Experimental validation on the DEAP (negative emotion) and HUSM (major depressive disorder) datasets demonstrates that the proposed method achieves a classification accuracy of 92.2% and an F1-score of 93%. Comparative results indicate that our model significantly outperforms baseline SVM and standard deep learning approaches. Furthermore, the architecture exhibits high computational efficiency and rapid convergence, highlighting its potential as a deployable engine for real-time mental health monitoring in clinical scenarios. Full article
(This article belongs to the Section Entropy and Biology)
Show Figures

Graphical abstract

24 pages, 9471 KB  
Article
Algorithmic Complexity vs. Market Efficiency: Evaluating Wavelet–Transformer Architectures for Cryptocurrency Price Forecasting
by Aldan Jay and Rafael Berlanga
Algorithms 2026, 19(2), 101; https://doi.org/10.3390/a19020101 - 27 Jan 2026
Viewed by 366
Abstract
We investigate whether sophisticated deep learning architectures justify their computational cost for short-term cryptocurrency price forecasting. Our study evaluates a 2.1M-parameter (M represents millions (e.g., 2.1M = 2,100,000 parameters), with all RMSE values reported in USD) wavelet-enhanced transformer that decomposes the Fear and [...] Read more.
We investigate whether sophisticated deep learning architectures justify their computational cost for short-term cryptocurrency price forecasting. Our study evaluates a 2.1M-parameter (M represents millions (e.g., 2.1M = 2,100,000 parameters), with all RMSE values reported in USD) wavelet-enhanced transformer that decomposes the Fear and Greed Index (FGI) into multiple timescales before integrating these signals with technical indicators. Using Diebold–Mariano tests with HAC-corrected variance, we find that all models—including our wavelet–transformer, ARIMA, XGBoost, LSTM, and vanilla Transformer—fail to significantly outperform the O(1) naive persistence baseline at the 1-day horizon (DM statistic = +19.13, p<0.001, naive preferred). Our model achieves an RMSE of USD 2005 versus USD 1986 for naive (ratio 1.010), requiring 3909× more inference time (2.43 ms vs. 0.0006 ms) for a statistically worse performance. These results provide strong empirical support for the Efficient Market Hypothesis in cryptocurrency markets: even sophisticated multi-scale architectures combining wavelet decomposition, cross-attention, and auxiliary technical indicators cannot extract profitable short-term signals. Through systematic ablation, we identify positional encoding as the only critical architectural component—its removal causes 30% RMSE degradation. Our findings carry important implications, as follows: (1) short-term crypto forecasting faces fundamental predictability limits, (2) architectural complexity provides negative ROI in efficient markets, and (3) rigorous statistical validation reveals that apparent improvements often represent noise rather than signal. Full article
(This article belongs to the Special Issue Machine Learning for Pattern Recognition (3rd Edition))
Show Figures

Figure 1

34 pages, 17028 KB  
Article
Vibration Signal Denoising Method Based on ICFO-SVMD and Improved Wavelet Thresholding
by Yanping Cui, Xiaoxu He, Zhe Wu, Qiang Zhang and Yachao Cao
Sensors 2026, 26(2), 750; https://doi.org/10.3390/s26020750 - 22 Jan 2026
Viewed by 259
Abstract
Non-stationary, multi-component vibration signals in rotating machinery are easily contaminated by strong background noise, which masks weak fault features and degrades diagnostic reliability. This paper proposes a joint denoising method that combines an improved cordyceps fungus optimization algorithm (ICFO), successive variational mode decomposition [...] Read more.
Non-stationary, multi-component vibration signals in rotating machinery are easily contaminated by strong background noise, which masks weak fault features and degrades diagnostic reliability. This paper proposes a joint denoising method that combines an improved cordyceps fungus optimization algorithm (ICFO), successive variational mode decomposition (SVMD), and an improved wavelet thresholding scheme. ICFO, enhanced by Chebyshev chaotic initialization, a longitudinal–transverse crossover fusion mutation operator, and a thinking innovation strategy, is used to adaptively optimize the SVMD penalty factor and number of modes. The optimized SVMD decomposes the noisy signal into intrinsic mode functions, which are classified into effective and noise-dominated components via the Pearson correlation coefficient. An improved wavelet threshold function, whose threshold is modulated by the sub-band signal-to-noise ratio, is then applied to the effective components, and the denoised signal is reconstructed. Simulation experiments on nonlinear, non-stationary signals with different noise levels (SNR = 1–20 dB) show that the proposed method consistently achieves the highest SNR and lowest RMSE compared to VMD, SVMD, VMD–WTD, CFO–SVMD, and WTD. Tests on CWRU bearing data and gearbox vibration signals with added −2 dB Gaussian white noise further confirm that the method yields the lowest residual variance ratio and highest signal energy ratio while preserving key fault characteristic frequencies. Full article
(This article belongs to the Section Industrial Sensors)
Show Figures

Figure 1

26 pages, 6505 KB  
Article
Hybrid Wavelet–Transformer–XGBoost Model Optimized by Chaotic Billiards for Global Irradiance Forecasting
by Walid Mchara, Giovanni Cicceri, Lazhar Manai, Monia Raissi and Hezam Albaqami
J. Sens. Actuator Netw. 2026, 15(1), 12; https://doi.org/10.3390/jsan15010012 - 22 Jan 2026
Viewed by 512
Abstract
Accurate global irradiance (GI) forecasting is essential for improving photovoltaic (PV) energy management, stabilizing renewable power systems, and enabling intelligent control in solar-powered applications, including electric vehicles and smart grids. The highly stochastic and non-stationary nature of solar radiation, influenced by rapid atmospheric [...] Read more.
Accurate global irradiance (GI) forecasting is essential for improving photovoltaic (PV) energy management, stabilizing renewable power systems, and enabling intelligent control in solar-powered applications, including electric vehicles and smart grids. The highly stochastic and non-stationary nature of solar radiation, influenced by rapid atmospheric fluctuations and seasonal variability, makes short-term GI prediction a challenging task. To overcome these limitations, this work introduces a new hybrid forecasting architecture referred to as WTX–CBO, which integrates a Wavelet Transform (WT)-based decomposition module, an encoder–decoder Transformer model, and an XGBoost regressor, optimized using the Chaotic Billiards Optimizer (CBO) combined with the Adam optimization algorithm. In the proposed architecture, WT decomposes solar irradiance data into multi-scale components, capturing both high-frequency transients and long-term seasonal patterns. The Transformer module effectively models complex temporal and spatio-temporal dependencies, while XGBoost enhances nonlinear learning capability and mitigates overfitting. The CBO ensures efficient hyperparameter tuning and accelerated convergence, outperforming traditional meta-heuristics such as Particle Swarm Optimization (PSO) and Genetic Algorithms (GA). Comprehensive experiments conducted on real-world GI datasets from diverse climatic conditions demonstrate the outperformance of the proposed model. The WTX–CBO ensemble consistently outperformed benchmark models, including LSTM, SVR, standalone Transformer, and XGBoost, achieving improved accuracy, stability, and generalization capability. The proposed WTX–CBO framework is designed as a high-accuracy decision-support forecasting tool that provides short-term global irradiance predictions to enable intelligent energy management, predictive charging, and adaptive control strategies in solar-powered applications, including solar electric vehicles (SEVs), rather than performing end-to-end vehicle or photovoltaic power simulations. Overall, the proposed hybrid framework provides a robust and scalable solution for short-term global irradiance forecasting, supporting reliable PV integration, smart charging control, and sustainable energy management in next-generation solar systems. Full article
(This article belongs to the Special Issue AI and IoT Convergence for Sustainable Smart Manufacturing)
Show Figures

Figure 1

25 pages, 16529 KB  
Article
Multi-Scale Photovoltaic Power Forecasting with WDT–CRMABIL–Fusion: A Two-Stage Hybrid Deep Learning Framework
by Reza Khodabakhshi Palandi, Loredana Cristaldi and Luca Martiri
Energies 2026, 19(2), 455; https://doi.org/10.3390/en19020455 - 16 Jan 2026
Viewed by 337
Abstract
Ultra-short-term photovoltaic (PV) power forecasts are vital for secure grid operation as solar penetration rises. We propose a two-stage hybrid framework, WDT–CRMABIL–Fusion. In Stage 1, we apply a three-level discrete wavelet transform to PV power and key meteorological series (shortwave radiation and panel [...] Read more.
Ultra-short-term photovoltaic (PV) power forecasts are vital for secure grid operation as solar penetration rises. We propose a two-stage hybrid framework, WDT–CRMABIL–Fusion. In Stage 1, we apply a three-level discrete wavelet transform to PV power and key meteorological series (shortwave radiation and panel irradiance). We then forecast the approximation and detail sub-series using specialized component predictors: a 1D-CNN with dual residual multi-head attention (feature-wise and time-wise) together with a BiLSTM. In Stage 2, a compact dense fusion network recombines the component forecasts into the final PV power trajectory. We use 5-min data from a PV plant in Milan and evaluate 5-, 10-, and 15-min horizons. The proposed approach outperforms strong baselines (DCC+LSTM, CNN+LSTM, CNN+BiLSTM, CRMABIL direct, and WDT+CRMABIL direct). For the 5-min horizon, it achieves MAE = 1.60 W and RMSE = 4.21 W with R2 = 0.943 and CORR = 0.973, compared with the best benchmark (MAE = 3.87 W; RMSE = 7.89 W). The gains persist across K-means++ weather clusters (rainy/sunny/cloudy) and across seasons. By combining explicit multi-scale decomposition, attention-based sequence learning, and learned fusion, WDT–CRMABIL–Fusion provides accurate and robust ultra-short-term PV forecasts suitable for storage dispatch and reserve scheduling. Full article
Show Figures

Figure 1

Back to TopTop