Sign in to use this feature.

Years

Between: -

Subjects

remove_circle_outline
remove_circle_outline
remove_circle_outline
remove_circle_outline
remove_circle_outline
remove_circle_outline

Journals

Article Types

Countries / Regions

Search Results (12)

Search Parameters:
Keywords = modified quasichemical model

Order results
Result details
Results per page
Select all
Export citation of selected articles as:
20 pages, 10707 KB  
Article
Critical Evaluation and Thermodynamic Optimization of the Cr–P and Cr–Fe–P Systems
by Zhimin You, Zhijie Lai, Senlin Cui, Zhouhua Jiang and In-Ho Jung
Metals 2024, 14(10), 1116; https://doi.org/10.3390/met14101116 - 30 Sep 2024
Viewed by 1306
Abstract
Existing thermodynamic descriptions of the whole Cr–Fe–P system are insufficiently accurate for understanding the thermodynamic behavior of the Cr–Fe–P materials during the manufacturing process. To construct a more precise and consistent thermodynamic database of the Cr–Fe–P system, thermodynamic modeling of the Cr–P and [...] Read more.
Existing thermodynamic descriptions of the whole Cr–Fe–P system are insufficiently accurate for understanding the thermodynamic behavior of the Cr–Fe–P materials during the manufacturing process. To construct a more precise and consistent thermodynamic database of the Cr–Fe–P system, thermodynamic modeling of the Cr–P and Cr–Fe–P systems was conducted using the CALculation of PHAse Diagrams (CALPHAD) approach based on critical evaluation of the experimental data. The modified quasichemical model and compound energy formalism were employed to describe the liquid and solid solutions, respectively. The Gibbs energies of stoichiometric compounds Cr3P(s), Cr2P(s), CrP(s), and CrP2(s) were carefully determined based on reliable experimental data. The ternary (Cr,Fe)3P, (Cr,Fe)2P, and (Cr,Fe)P phosphides were modeled as solid solutions considering mutual substitution between Cr and Fe atoms. In addition, the phase equilibria of BCC_A2 and FCC_A1 solutions and the liquid phase of the ternary Cr–Fe–P system were also optimized for more accurate descriptions of existing phase equilibria and thermodynamic properties data. As an application of the present database, the experimentally unexplored thermodynamic properties and phase diagrams of the Cr–Fe–P system are predicted. Full article
(This article belongs to the Special Issue Modeling Thermodynamic Systems and Optimizing Metallurgical Processes)
Show Figures

Figure 1

23 pages, 8658 KB  
Article
Critical Evaluation and Thermodynamic Re-Optimization of the Si–P and Si–Fe–P Systems
by Zhimin You, Hao Zhang, Senlin Cui, Zhouhua Jiang and In-Ho Jung
Materials 2023, 16(11), 4099; https://doi.org/10.3390/ma16114099 - 31 May 2023
Cited by 2 | Viewed by 2155
Abstract
Thermodynamic modeling of the Si–P and Si–Fe–P systems was performed using the CALculation of PHAse Diagram (CALPHAD) method based on critical evaluation of available experimental data in the literature. The liquid and solid solutions were described using the Modified Quasichemical Model accounting for [...] Read more.
Thermodynamic modeling of the Si–P and Si–Fe–P systems was performed using the CALculation of PHAse Diagram (CALPHAD) method based on critical evaluation of available experimental data in the literature. The liquid and solid solutions were described using the Modified Quasichemical Model accounting for the short-range ordering and Compound Energy Formalism considering the crystallographic structure, respectively. In the present study, the phase boundaries for the liquidus and solid Si phases of the Si–P system were reoptimized. Furthermore, the Gibbs energies of the liquid solution, (Fe)3(P,Si)1, (Fe)2(P,Si)1, and (Fe)1(P,Si)1 solid solutions and FeSi4P4 compound were carefully determined to resolve the discrepancies in previously assessed vertical sections, isothermal sections of phase diagrams, and liquid surface projection of the Si–Fe–P system. These thermodynamic data are of great necessity for a sound description of the entire Si–Fe–P system. The optimized model parameters from the present study can be used to predict any unexplored phase diagrams and thermodynamic properties within the Si–Fe–P alloys. Full article
Show Figures

Figure 1

11 pages, 2771 KB  
Article
Experimental Measurements and Thermodynamic Optimization of the NaCl+RbCl Phase Diagram
by Zhangyang Kang, Maogang He and Guangxuan Lu
Materials 2022, 15(18), 6411; https://doi.org/10.3390/ma15186411 - 15 Sep 2022
Cited by 1 | Viewed by 2403
Abstract
In this study, the phase diagram of the NaCl+RbCl binary system was measured using differential scanning calorimetry, and the measured molar percentages of the binary mixture RbCl ranged from 12 to 97 mol%, updating and extending the experimental data for this binary system. [...] Read more.
In this study, the phase diagram of the NaCl+RbCl binary system was measured using differential scanning calorimetry, and the measured molar percentages of the binary mixture RbCl ranged from 12 to 97 mol%, updating and extending the experimental data for this binary system. The liquid phase of this system was thermodynamically modeled using a modified quasichemical model, and a computer optimization program for evaluation of the experimental data on phase equilibria and other thermodynamic data was developed based on this model. All thermodynamic models of the NaCl+RbCl binary system were constructed; calculations of the phase diagram, enthalpy of mixing, and activity coefficient of NaCl of the NaCl+RbCl binary system were completed using the obtained model parameters; and the calculated eutectic point positions were xRbCl = 0.567 and 550.2 °C. The calculated results were able to reproduce the various types of experimental data well, and the thermodynamic self-consistency between different types of experimental data was demonstrated. Full article
Show Figures

Figure 1

32 pages, 7148 KB  
Article
Critical Evaluation and Thermodynamic Optimization of the Cu-Zn, Cu-Se and Zn-Se Binary Systems
by Yu Tang, Jie Ma, Dong Han, Jian Wang, Haiying Qi and Liling Jin
Metals 2022, 12(9), 1401; https://doi.org/10.3390/met12091401 - 24 Aug 2022
Cited by 10 | Viewed by 6118
Abstract
In our study, a complete review of the literature, critical evaluation and thermodynamic assessment of the Cu-Zn, Cu-Se and Zn-Se binary systems were carried out. The modified quasi-chemical model (MQM) was applied to describe the Gibbs energy of the liquid phase. The Gibbs [...] Read more.
In our study, a complete review of the literature, critical evaluation and thermodynamic assessment of the Cu-Zn, Cu-Se and Zn-Se binary systems were carried out. The modified quasi-chemical model (MQM) was applied to describe the Gibbs energy of the liquid phase. The Gibbs energies of all intermetallic compounds and terminal solid solutions were described using the compound energy formalism (CEF) model. The re-optimization of the Cu-Zn binary system was carried out by considering the ordered bcc_B2 crystal structure of the β’ phase. Moreover, the β and δ phases in the Cu-Zn binary system with the same bcc_A2 crystal structure were modeled as one single phase in the present work. A self-consistent thermodynamic database was constructed for the Cu-Zn, Cu-Se and Zn-Se binary systems, work that formed part of a comprehensive thermodynamic database development project researching zinc-based biodegradable materials. Full article
Show Figures

Figure 1

21 pages, 5075 KB  
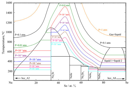
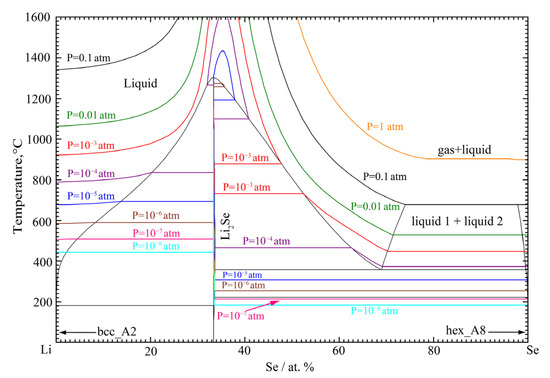
Article
Critical Evaluation and Thermodynamic Modeling of the Li-Se and Na-Se Binary Systems Using Combined CALPHAD and First-Principles Calculations Method
by Jie Ma, Chen Ji, Jian Wang, Dong Han, Zhou Cui, Baisheng Sa and Senlin Cui
Metals 2022, 12(8), 1349; https://doi.org/10.3390/met12081349 - 13 Aug 2022
Cited by 2 | Viewed by 2370
Abstract
This work presents a complete review of the literature on and a critical evaluation and thermodynamic optimization of the Li-Se and Na-Se binary systems. The modified quasi-chemical model in the pair approximation (MQMPA) was employed to describe the liquid solution exhibiting a high [...] Read more.
This work presents a complete review of the literature on and a critical evaluation and thermodynamic optimization of the Li-Se and Na-Se binary systems. The modified quasi-chemical model in the pair approximation (MQMPA) was employed to describe the liquid solution exhibiting a high degree of short-range ordering behavior of atoms. The thermodynamic properties of the compounds Li2Se (cF12_Fm3¯m), Na2Se (cF12_Fm3¯m), NaSe (hP8_P63/mmc), and NaSe2 (tI48_I4¯2d) were also calculated by using first-principles density functional theory (DFT) calculations to assist the thermodynamic description of these two binary systems. All the available and reliable experimental data are reproduced within experimental error limits. Moreover, the phase equilibria of these two systems at low total pressure were analyzed by using the developed thermodynamic model. Full article
(This article belongs to the Section Computation and Simulation on Metals)
Show Figures

Figure 1

31 pages, 10449 KB  
Article
Thermal Stability Calculation and Experimental Investigation of Common Binary Chloride Molten Salts Applied in Concentrating Solar Power Plants
by Jingyu Zhong, Jing Ding, Jianfeng Lu, Xiaolan Wei and Weilong Wang
Energies 2022, 15(7), 2516; https://doi.org/10.3390/en15072516 - 29 Mar 2022
Cited by 7 | Viewed by 3740
Abstract
A computational study on thermal stability was conducted the first time, combining the modified quasi-chemical model, the Antoine equation, and the adiabatic flash evaporation calculation principle to design a method to calculate the system pressure-temperature (P-T) phase diagram of binary chloride molten salts. [...] Read more.
A computational study on thermal stability was conducted the first time, combining the modified quasi-chemical model, the Antoine equation, and the adiabatic flash evaporation calculation principle to design a method to calculate the system pressure-temperature (P-T) phase diagram of binary chloride molten salts. The evaporation temperature of the molten salt obtained by analyzing the P-T phase diagram of the eutectic molten salt clearly defined the upper limit of the optimal operating temperature of the mixed molten salt. The results indicated that the upper-temperature limits of NaCl-KCl, NaCl-CaCl2, KCl-CaCl2, NaCl-MgCl2, and KCl-MgCl2 are determined to be 1141 K, 1151 K, 1176 K, 1086 K, and 1068 K. The maximum working temperature was measured experimentally using a thermogravimetric analysis (TGA), and the relative error between the calculation and experiment was calculated. The maximum error between the calculated and experimental values of the maximum operating temperature was 6.02%, while the minimum was 1.29%, demonstrating the method’s high accuracy. Combined with the lowest eutectic temperature and the upper-temperature limits of binary chloride molten salts, the stable operating temperature ranges of NaCl-KCl, NaCl-CaCl2, KCl-CaCl2, NaCl-MgCl2, and KCl-MgCl2 are 891~1141 K, 750~1151 K, 874~1176 K, 732~1086 K, and 696~1086 K. Full article
(This article belongs to the Topic Sustainable Energy Technology)
Show Figures

Figure 1

27 pages, 4752 KB  
Article
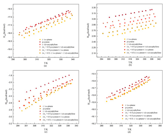
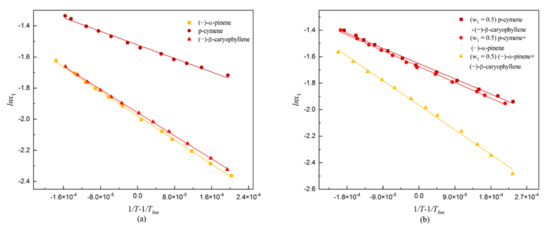
Experimental Determination and Computational Prediction of Dehydroabietic Acid Solubility in (−)-α-Pinene + (−)-β-Caryophyllene + P-Cymene System
by Yanmin Qin, Xiaopeng Chen, Linlin Wang, Xiaojie Wei, Weijian Nong, Xuejuan Wei and Jiezhen Liang
Molecules 2022, 27(4), 1220; https://doi.org/10.3390/molecules27041220 - 11 Feb 2022
Cited by 5 | Viewed by 2764
Abstract
The solubility of dehydroabietic acid in (−)-α-pinene, p-cymene, (−)-β-caryophyllene, (−)-α-pinene + p-cymene, (−)-β-caryophyllene + p-cymene and (−)-α-pinene + (−)-β-caryophyllene were determined using the laser monitoring method at atmospheric pressure. The solubility of dehydroabietic acid was positively correlated with temperature from 295.15 to 339.46 [...] Read more.
The solubility of dehydroabietic acid in (−)-α-pinene, p-cymene, (−)-β-caryophyllene, (−)-α-pinene + p-cymene, (−)-β-caryophyllene + p-cymene and (−)-α-pinene + (−)-β-caryophyllene were determined using the laser monitoring method at atmospheric pressure. The solubility of dehydroabietic acid was positively correlated with temperature from 295.15 to 339.46 K. (−)-α-pinene, p-cymene, and (−)-β-caryophyllene were found to be suitable for the solubilization of dehydroabietic acid. In addition, the non-random two liquid (NRTL), universal quasi-chemical (UNIQUAC), modified Apelblat, modified Wilson, modified Wilson–van’t Hoff, and λh models were applied to correlate the determined solubility data. The modified Apelblat model gave the minor deviation for dehydroabietic acid in monosolvents, while the λh equation showed the best result in the binary solvents. A comparative analysis of compatibility between solutes and solvents was carried out using Hansen solubility parameters. The thermodynamic functions of ΔsolH0, ΔsolS0, ΔsolG0 were calculated according to the van’t Hoff equation, indicating that the dissolution was an entropy-driven heat absorption process. The Conductor-like Screening Model for Real Solvents (COSMO-RS) combined with an experimental value was applied to predict the reasonable solubility data of dehydroabietic acid in the selected solvents systems. The interaction energy of the dehydroabietic acid with the solvent was analyzed by COSMO-RS. Full article
Show Figures

Figure 1

15 pages, 2930 KB  
Article
Thermodynamic Optimization of the Ternary Ga-Sn-Te System Using Modified Quasichemical Model
by Bhupendra Kumar, Manas Paliwal, Chandra Sekhar Tiwary and Min-Kyu Paek
Metals 2021, 11(9), 1363; https://doi.org/10.3390/met11091363 - 30 Aug 2021
Cited by 4 | Viewed by 3770
Abstract
Thermoelectric (TE) materials are of great interest to many researchers because they directly convert electric and thermal energy in a solid state. Various materials such as chalcogenides, clathrates, skutterudites, eutectic alloys, and intermetallic alloys have been explored for TE applications. The Ga-Sn-Te system [...] Read more.
Thermoelectric (TE) materials are of great interest to many researchers because they directly convert electric and thermal energy in a solid state. Various materials such as chalcogenides, clathrates, skutterudites, eutectic alloys, and intermetallic alloys have been explored for TE applications. The Ga-Sn-Te system exhibits promising potential as an alternative to the lead telluride (PbTe) based alloys, which are harmful to environments because of Pb toxicity. Therefore, in this study, thermodynamic optimization and critical evaluation of binary Ga-Sn, binary Sn-Te, and ternary Ga-Sn-Te systems have been carried out over the whole composition range from room temperature to above liquidus temperature using the CALPHAD method. It is observed that Sn-Te and Ga-Te liquids show the strong negative deviation from the ideal solution behavior. In contrast, the Ga-Sn liquid solution has a positive mixing enthalpy. These different thermodynamic properties of liquid solution were explicitly described using Modified Quasichemical Model (MQM) in the pair approximation. The asymmetry of ternary liquid solution in the Ga-Sn-Te system was considered by adopting the toop-like interpolation method based on the intrinsic property of each binary. The solid phase of SnTe was optimized using Compound Energy Formalism (CEF) to explain the high temperature homogeneity range, whereas solid solution, Body-Centered Tetragonal (BCT) was optimized using a regular solution model. Thermodynamic properties and phase diagram in the Ga-Sn-Te and its sub-systems were reproduced successfully by the optimized model parameters. Using the developed database, we also suggested several ternary eutectic compositions for designing TE alloy with improved properties. Full article
(This article belongs to the Special Issue Thermodynamic Modeling of Metallurgical Processes)
Show Figures

Figure 1

15 pages, 3975 KB  
Article
Thermodynamic Assessment of the AF–CrF3 (A = Li, Na, K) and CrF2–CrF3 Systems
by Thomas Dumaire, Rudy J. M. Konings and Anna Louise Smith
Thermo 2021, 1(2), 205-219; https://doi.org/10.3390/thermo1020014 - 18 Aug 2021
Cited by 8 | Viewed by 3763
Abstract
Understanding the corrosion mechanisms and the effect of corrosion products on the basic properties of the salt (e.g., melting point, heat capacity) is fundamental for the safety assessment and durability of molten salt reactor technology. This work focused on the thermodynamic assessment of [...] Read more.
Understanding the corrosion mechanisms and the effect of corrosion products on the basic properties of the salt (e.g., melting point, heat capacity) is fundamental for the safety assessment and durability of molten salt reactor technology. This work focused on the thermodynamic assessment of the CrF2−CrF3 system and the binary systems of chromium trifluoride CrF3 with alkali fluorides (LiF, NaF, KF) using the CALPHAD (computer coupling of phase diagrams and thermochemistry) method. In this work, the modified quasi-chemical model in the quadruplet approximation was used to develop new thermodynamic modelling assessments of the binary solutions, which are highly relevant in assessing the corrosion process in molten salt reactors. The agreement between these assessments and the phase equilibrium data available in the literature is generally good. The excess properties (mixing enthalpies, entropies and Gibbs energies) calculated in this work are consistent with the expected behaviour of decreasing enthalpy and Gibbs energy of mixing with the increasing ionic radius of the alkali cations. Full article
(This article belongs to the Special Issue Thermodynamics and Nuclear Materials)
Show Figures

Figure 1

11 pages, 1326 KB  
Article
Developing Practical Models of Complex Salts for Molten Salt Reactors
by Theodore M. Besmann and Juliano Schorne-Pinto
Thermo 2021, 1(2), 168-178; https://doi.org/10.3390/thermo1020012 - 28 Jul 2021
Cited by 21 | Viewed by 5979
Abstract
Molten salt reactors (MSRs) utilize salts as coolant or as the fuel and coolant together with fissile isotopes dissolved in the salt. It is necessary to therefore understand the behavior of the salts to effectively design, operate, and regulate such reactors, and thus [...] Read more.
Molten salt reactors (MSRs) utilize salts as coolant or as the fuel and coolant together with fissile isotopes dissolved in the salt. It is necessary to therefore understand the behavior of the salts to effectively design, operate, and regulate such reactors, and thus there is a need for thermodynamic models for the salt systems. Molten salts, however, are difficult to represent as they exhibit short-range order that is dependent on both composition and temperature. A widely useful approach is the modified quasichemical model in the quadruplet approximation that provides for consideration of first- and second-nearest-neighbor coordination and interactions. Its use in the CALPHAD approach to system modeling requires fitting parameters using standard thermodynamic data such as phase equilibria, heat capacity, and others. A shortcoming of the model is its inability to directly vary coordination numbers with composition or temperature. Another issue is the difficulty in fitting model parameters using regression methods without already having very good initial values. The proposed paper will discuss these issues and note some practical methods for the effective generation of useful models. Full article
(This article belongs to the Special Issue Thermodynamics and Nuclear Materials)
Show Figures

Figure 1

24 pages, 1789 KB  
Article
Assessment of the SM12, SM8, and SMD Solvation Models for Predicting Limiting Activity Coefficients at 298.15 K
by Sydnee N. Roese, Justin D. Heintz, Cole B. Uzat, Alexa J. Schmidt, Griffin V. Margulis, Spencer J. Sabatino and Andrew S. Paluch
Processes 2020, 8(5), 623; https://doi.org/10.3390/pr8050623 - 22 May 2020
Cited by 8 | Viewed by 5200
Abstract
The SMx (x = 12, 8, or D) universal solvent models are implicit solvent models which using electronic structure calculations can compute solvation free energies at 298.15 K. While solvation free energy is an important thermophysical property, within the thermodynamic modeling [...] Read more.
The SMx (x = 12, 8, or D) universal solvent models are implicit solvent models which using electronic structure calculations can compute solvation free energies at 298.15 K. While solvation free energy is an important thermophysical property, within the thermodynamic modeling of phase equilibrium, limiting (or infinite dilution) activity coefficients are preferred since they may be used to parameterize excess Gibbs free energy models to model phase equilibrium. Conveniently, the two quantities are related. Therefore the present study was performed to assess the ability to use the SMx universal solvent models to predict limiting activity coefficients. Two methods of calculating the limiting activity coefficient where compared: (1) the solvation free energy and self-solvation free energy were both predicted and (2) the self-solvation free energy was computed using readily available vapor pressure data. Overall the first method is preferred as it results in a cancellation of errors, specifically for the case in which water is a solute. The SM12 model was compared to both the Universal Quasichemical Functional-group Activity Coefficients (UNIFAC) and modified separation of cohesive energy density (MOSCED) models. MOSCED was the highest performer, yet had the smallest available compound inventory. UNIFAC and SM12 exhibited comparable performance. Therefore further exploration and research should be conducted into the viability of using the SMx models for phase equilibrium calculations. Full article
(This article belongs to the Special Issue Thermodynamics: Modeling and Simulation)
Show Figures

Figure 1

27 pages, 14998 KB  
Review
Experimental Data of Fluid Phase Equilibria- Correlation and Prediction Models: A Review
by Urszula Domańska
Processes 2019, 7(5), 277; https://doi.org/10.3390/pr7050277 - 10 May 2019
Cited by 26 | Viewed by 8853
Abstract
The examples of phase equilibria in binary systems, solid/liquid (SLE), liquid/liquid (LLE), vapor/liquid (VLE), as well as liquid/liquid equilibria in ternary systems mainly containing ionic liquids (ILs), or the infragrance materials, or pharmaceuticals with molecular organic solvents, such as an alcohol, or water, [...] Read more.
The examples of phase equilibria in binary systems, solid/liquid (SLE), liquid/liquid (LLE), vapor/liquid (VLE), as well as liquid/liquid equilibria in ternary systems mainly containing ionic liquids (ILs), or the infragrance materials, or pharmaceuticals with molecular organic solvents, such as an alcohol, or water, or hydrocarbons, are presented. The most popular correlation methods of the experimental phase equilibrium data are presented, related to the excess Gibbs free energy models such as Wilson, universal-quasichemical, UNIQUAC and non-random two-liquid model, NRTL as well as several popular theories for the modeling of the phase equilibria and excess molar enthalpy, HE in binary or ternary mixtures are presented: the group contribution method (Mod. UNIFAC) and modified UNIFAC model for pharmaceuticals and lattice theory based on non-random hydrogen bonding (NRHB). The SLE, LLE, or VLE and HE of these systems may be described by the Perturbed-Chain Polar Statistical Associating Fluid Theory (PC-SAFT), or a Conductor-like Screening Model for Real Solvents (COSMO-RS). The examples of the application of ILs as extractants for the separation of aromatic hydrocarbons from alkanes, sulfur compounds from alkanes, alkenes from alkanes, ethylbenzene from styrene, butan-1-ol from water phase, or 2-phenylethanol (PEA) from water are discussed on the basis of previously published data. The first information about the selectivity of extrahent for separation can be obtained from the measurements of the limiting activity coefficient measurements by the gas–liquid chromatography technique. This review outlines the main research work carried out over the last few years on direct measurements of phase equilibria, or HE and limiting activity coefficients, the possibility of thermodynamic modeling with emphasis on recent research achievements and potential for future research. Full article
(This article belongs to the Special Issue Thermodynamics: Modeling and Simulation)
Show Figures

Graphical abstract

Back to TopTop