Due to scheduled maintenance work on our servers, there may be short service disruptions on this website between 11:00 and 12:00 CEST on March 28th.
Sign in to use this feature.

Years

Between: -

Subjects

remove_circle_outline
remove_circle_outline
remove_circle_outline
remove_circle_outline
remove_circle_outline

Journals

Article Types

Countries / Regions

Search Results (4)

Search Parameters:
Keywords = microstructured optical fiber splicing

Order results
Result details
Results per page
Select all
Export citation of selected articles as:
11 pages, 3944 KB  
Letter
Polycarbonate mPOF-Based Mach–Zehnder Interferometer for Temperature and Strain Measurement
by Xiaoyu Yue, Haijin Chen, Hang Qu, Rui Min, Getinet Woyessa, Ole Bang and Xuehao Hu
Sensors 2020, 20(22), 6643; https://doi.org/10.3390/s20226643 - 20 Nov 2020
Cited by 8 | Viewed by 3568
Abstract
In this paper, an endlessly single mode microstructured polymer optical fiber (mPOF) in a Mach–Zehnder (M–Z) interferometer configuration is demonstrated for temperature and strain measurement. Because there is no commercial splicer applied for POF-silica optical fiber (SOF) connectorization, prior to the M–Z interferometric [...] Read more.
In this paper, an endlessly single mode microstructured polymer optical fiber (mPOF) in a Mach–Zehnder (M–Z) interferometer configuration is demonstrated for temperature and strain measurement. Because there is no commercial splicer applied for POF-silica optical fiber (SOF) connectorization, prior to the M–Z interferometric sensing, we introduce an imaging projecting method to align a polycarbonate mPOF to a SOF and then the splice is cured permanently using ultraviolet (UV) glue. A He-Ne laser beam at 632.8 nm coupled in a SOF is divided by a 1 × 2 fiber coupler to propagate in two fiber arms. A piece of mPOF is inserted in one arm for sensing implementation and the interference fringes are monitored by a camera. For non-annealed fiber, the temperature sensitivity is found to be 25.5 fringes/°C for increasing temperature and 20.6 fringes/°C for decreasing temperature. The converted sensitivity per unit length is 135.6 fringes/°C/m for increasing temperature, which is twice as much as the silica fiber, or 852.2 rad/°C/m (optical phase change versus fiber temperature), which is more than four times as much as that for the PMMA fiber. To solve the sensitivity disagreement, the fiber was annealed at 125 °C for 36 h. Just after the thermal treatment, the temperature measurement was conducted with sensitivities of 16.8 fringes/°C and 21.3 fringes/°C for increasing and decreasing process, respectively. One month after annealing, the linear response was improved showing a temperature sensitivity of ~20.7 fringes/°C in forward and reverse temperature measurement. For the strain measurement based on non-annealed fiber, the sensitivity was found to be ~1463 fringes/%ε showing repeatable linear response for forward and reverse strain. The fiber axial force sensitivity was calculated to be ~2886 fringes/N, showing a force measurement resolution of ~3.47 × 10−4 N. The sensing methodology adopted in this work shows several advantages, such as very low cost, high sensitivity, a straightforward sensing mechanism, and ease of fabrication. Full article
(This article belongs to the Special Issue Polymer Optical Fiber Sensors and Sensing Technologies)
Show Figures

Figure 1

10 pages, 1583 KB  
Article
Design of All-Solid Dual-Concentric-Core Microstructure Fiber for Ultra-Broadband Dispersion Compensation
by Chao Wang, Yajing Zhang, Zheng Wu, Guoxu Zhang, Yiyang Zhang and Linghong Jiang
Appl. Sci. 2019, 9(16), 3366; https://doi.org/10.3390/app9163366 - 15 Aug 2019
Cited by 9 | Viewed by 2885
Abstract
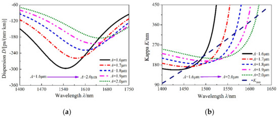
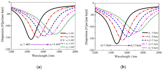
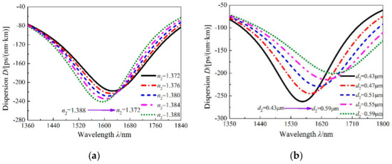
In this paper, the all-solid dual-concentric-core microstructure fiber (MSF) with ultra-broadband dispersion compensation characteristics is designed. The effects of microstructure fiber structure parameters on dispersion, phase-matching wavelength, and kappa value are analyzed by the multi-pole method and mode coupling theory. The average dispersion [...] Read more.
In this paper, the all-solid dual-concentric-core microstructure fiber (MSF) with ultra-broadband dispersion compensation characteristics is designed. The effects of microstructure fiber structure parameters on dispersion, phase-matching wavelength, and kappa value are analyzed by the multi-pole method and mode coupling theory. The average dispersion compensation multiple is 18.45, that is, 1 km long dispersion compensated MSF can compensate for the cumulative dispersion of standard single-mode fiber of 18.45 km in the wavelength range of 1385~1575 nm by optimizing MSF parameters. The change range of residual dispersion is within ±0.72 ps/(nm·km), and the splicing loss with standard single-mode fiber is controlled below 5 dB within the compensation bandwidth of 190 nm. Compared with the air hole-quartz structure dual-concentric-core microstructure fiber, the designed fiber reduces the difficulty of fiber drawing, is easy to splice with standard single-mode fiber, and has wider compensation bandwidth as well as larger compensation multiple than the existing microstructure fiber. This lays a solid foundation for the optimization of dense wavelength division multiplexing networks and the construction of all-optical networks. Full article
Show Figures

Figure 1

16 pages, 2092 KB  
Article
Combining Hollow Core Photonic Crystal Fibers with Multimode, Solid Core Fiber Couplers through Arc Fusion Splicing for the Miniaturization of Nonlinear Spectroscopy Sensing Devices
by Hanna Izabela Stawska, Maciej Andrzej Popenda and Elżbieta Bereś-Pawlik
Fibers 2018, 6(4), 77; https://doi.org/10.3390/fib6040077 - 11 Oct 2018
Cited by 9 | Viewed by 8316
Abstract
The presence of fiber optic devices, such as couplers or wavelength division multiplexers, based on hollow-core fibers (HCFs) is still rather uncommon, while such devices can be imagined to greatly increase the potential of HCFs for different applications, such as sensing, nonlinear optics, [...] Read more.
The presence of fiber optic devices, such as couplers or wavelength division multiplexers, based on hollow-core fibers (HCFs) is still rather uncommon, while such devices can be imagined to greatly increase the potential of HCFs for different applications, such as sensing, nonlinear optics, etc. In this paper, we present a combination of a standard, multimode fiber (MMF) optic coupler with a hollow core photonic bandgap fiber through arc fusion splicing and its application for the purpose of multiphoton spectroscopy. The presented splicing method is of high affordability due to the low cost of arc fusion splicers, and the measured splicing loss (SL) of the HCF-MMF splice is as low as (0.32 ± 0.1) dB, while the splice itself is durable enough to withstand a bending radius (rbend) of 1.8 cm. This resulted in a hybrid between the hollow core photonic bandgap fiber (HCPBF) and MMF coupler, delivering 20 mW of average power and 250-fs short laser pulses to the sample, which was good enough to test the proposed sensor setup in a simple, proof-of-concept multiphoton fluorescence excitation-detection experiment, allowing the successful measurement of the fluorescence emission spectrum of 10−5 M fluorescein solution. In our opinion, the presented results indicate the possibility of creating multi-purpose HCF setups, which would excel in various types of sensing applications. Full article
(This article belongs to the Special Issue Hollow Core Optical Fibers)
Show Figures

Graphical abstract

10 pages, 3662 KB  
Article
High-Frequency Fiber-Optic Ultrasonic Sensor Using Air Micro-Bubble for Imaging of Seismic Physical Models
by Tingting Gang, Manli Hu, Qiangzhou Rong, Xueguang Qiao, Lei Liang, Nan Liu, Rongxin Tong, Xiaobo Liu and Ce Bian
Sensors 2016, 16(12), 2125; https://doi.org/10.3390/s16122125 - 14 Dec 2016
Cited by 27 | Viewed by 7601
Abstract
A micro-fiber-optic Fabry-Perot interferometer (FPI) is proposed and demonstrated experimentally for ultrasonic imaging of seismic physical models. The device consists of a micro-bubble followed by the end of a single-mode fiber (SMF). The micro-structure is formed by the discharging operation on a short [...] Read more.
A micro-fiber-optic Fabry-Perot interferometer (FPI) is proposed and demonstrated experimentally for ultrasonic imaging of seismic physical models. The device consists of a micro-bubble followed by the end of a single-mode fiber (SMF). The micro-structure is formed by the discharging operation on a short segment of hollow-core fiber (HCF) that is spliced to the SMF. This micro FPI is sensitive to ultrasonic waves (UWs), especially to the high-frequency (up to 10 MHz) UW, thanks to its ultra-thin cavity wall and micro-diameter. A side-band filter technology is employed for the UW interrogation, and then the high signal-to-noise ratio (SNR) UW signal is achieved. Eventually the sensor is used for lateral imaging of the physical model by scanning UW detection and two-dimensional signal reconstruction. Full article
(This article belongs to the Section Physical Sensors)
Show Figures

Figure 1

Back to TopTop