Sign in to use this feature.

Years

Between: -

Subjects

remove_circle_outline
remove_circle_outline
remove_circle_outline
remove_circle_outline
remove_circle_outline
remove_circle_outline
remove_circle_outline
remove_circle_outline
remove_circle_outline

Journals

Article Types

Countries / Regions

Search Results (19)

Search Parameters:
Keywords = masked priming

Order results
Result details
Results per page
Select all
Export citation of selected articles as:
15 pages, 1856 KB  
Article
High Neural Efficiency in Unconscious Perceptual Processing among Table Tennis Athletes: An Event-Related Potential Study
by Jilong Shi, Haojie Huang, Fatima A. Nasrallah and Anmin Li
Brain Sci. 2024, 14(8), 756; https://doi.org/10.3390/brainsci14080756 - 27 Jul 2024
Cited by 1 | Viewed by 2630
Abstract
Background: Neural efficiency refers to the brain’s ability to function with reduced resource expenditure while maintaining high performance levels. Previous research has demonstrated that table tennis athletes have greater neural efficiency at the conscious level. However, it is unknown whether they exhibit greater [...] Read more.
Background: Neural efficiency refers to the brain’s ability to function with reduced resource expenditure while maintaining high performance levels. Previous research has demonstrated that table tennis athletes have greater neural efficiency at the conscious level. However, it is unknown whether they exhibit greater neural efficiency at the unconscious level. Therefore, this study aims to investigate unconscious perceptual processing and neural efficiency in elite table tennis athletes through tasks involving the judgment of spin serves. Methods: Fifty healthy, right-handed individuals participated in this study, including 25 elite table tennis athletes and 25 control participants without professional training experience. To evaluate the unconscious perceptual characteristics of both groups, we used a combination of masked priming paradigm and event-related potential techniques. Results: The behavioral results reveal that, compared to the control group, the table tennis athletes displayed reduced reaction times (p < 0.001) and increased priming effects (p < 0.001) under unconscious conditions. The electrophysiological findings indicated that both groups elicited N1, N2, and P2 components. Notably, compared to the control group, the table tennis athletes exhibited significantly lower amplitude responses at the occipital lobe electrodes PO3, POz, PO4, O1, Oz, and O2 (p < 0.001). Conclusions: These results further support the neural efficiency hypothesis, indicating that prolonged professional training enhances athletes’ capacities for specialized unconscious cognitive processing. Full article
(This article belongs to the Special Issue Advances in Assessment and Training of Perceptual-Motor Performance)
Show Figures

Figure 1

17 pages, 1653 KB  
Article
Unconscious Integration of Categorical Relationship of Two Subliminal Numbers in Comparison with “5”
by Changjun Li, Qingying Liu, Yingjuan Liu, Jerwen Jou and Shen Tu
Behav. Sci. 2024, 14(4), 296; https://doi.org/10.3390/bs14040296 - 4 Apr 2024
Viewed by 1336
Abstract
Many studies have shown that the brain can process subliminal numerals, i.e., participants can categorize a subliminal number into two categories: greater than 5 or less than 5. In the context of many studies on the unconscious integration of multiple subliminal stimuli, the [...] Read more.
Many studies have shown that the brain can process subliminal numerals, i.e., participants can categorize a subliminal number into two categories: greater than 5 or less than 5. In the context of many studies on the unconscious integration of multiple subliminal stimuli, the issue of whether multiple subliminal numbers can be integrated is contentious. The same-different task is regarded as a perfect tool to explore unconscious integration. In the two experiments reported, we used a same-different task in which a pair of masked prime numbers was followed by a pair of target numbers, and participants were asked to decide whether the two target numbers were on the same (both smaller or larger than 5) or different sides (one smaller, the other larger than 5) of 5 in magnitude. The results indicated that the prime numbers could be categorized unconsciously, which was reflected by the category priming effect, and that the unconscious category relationship of the two prime numbers could affect the judgment on the category relationship of the two target numbers, as reflected by the response priming effect. The duration of the prime-to-target interstimulus interval (ISI) was also manipulated, showing a positive compatibility effect (PCE) of category priming and a negative compatibility effect (NCE) of response priming no matter whether the ISI was short (50 ms) or long (150 ms). The NCE, which occurred when the prime-to-target ISI was relatively short in this study, contradicted the conventional view but was consistent with previous results of unconscious integration based on an attention modulation mechanism. Importantly, this study provided evidence for the still-under-debate issue of numerical information integration. Full article
(This article belongs to the Section Cognition)
Show Figures

Figure 1

13 pages, 412 KB  
Article
An Evidence Accumulation Account of Masked Translation Priming in Two Bilingual Populations
by Camille Scrimshire, Sara Alicia Amador, Andrea González-García Aldariz, Galilea Meza and Pablo Gomez
Brain Sci. 2023, 13(7), 1066; https://doi.org/10.3390/brainsci13071066 - 13 Jul 2023
Cited by 3 | Viewed by 2161
Abstract
This manuscript addresses the phenomenon of masked priming and the cognitive process of switching from Spanish to English while reading in sequential bilingual texts compared to heritage speakers. A lexical decision task was employed in the present study with masked translation priming, which [...] Read more.
This manuscript addresses the phenomenon of masked priming and the cognitive process of switching from Spanish to English while reading in sequential bilingual texts compared to heritage speakers. A lexical decision task was employed in the present study with masked translation priming, which serves as a valuable tool for elucidating the orthographic and lexical processes involved in the initial stages of reading. This study builds upon previous research conducted on monolingual masked priming, which consistently demonstrates shifts in the response time (RT) distributions when comparing related and unrelated primes. Within the framework of a diffusion model, we implemented two theoretical positions. First, we posited that translation priming operates at the orthographic level, resulting in enhanced efficiency during the encoding process. Second, we explored the possibility that translation priming operates at the semantic level, influencing the accumulation of evidence during the lexical decision task. The findings of the present study indicate that translation priming elicits outcomes similar to those observed in monolingual priming paradigms. Specifically, we observed that translation priming facilitation is manifested as shifts in the RT distributions. These findings are interpreted to suggest that the benefits derived from the encoding process are not specific to the accessed lexicon following a brief stimulus presentation. Full article
Show Figures

Figure 1

9 pages, 657 KB  
Article
Investigating the Role of Response Codes in Masked Priming Lexical Decision Tasks: The Case of Repeated Presentations
by Maria Fernández-López, Ana Marcet and Manuel Perea
Brain Sci. 2023, 13(3), 452; https://doi.org/10.3390/brainsci13030452 - 6 Mar 2023
Cited by 1 | Viewed by 2210
Abstract
The masked priming technique is considered a gold standard among experimental psychologists who specialize in the field of visual word recognition. Typically, this method entails a comparison between two or more critical conditions (e.g., the target word MOUSE being preceded by either the [...] Read more.
The masked priming technique is considered a gold standard among experimental psychologists who specialize in the field of visual word recognition. Typically, this method entails a comparison between two or more critical conditions (e.g., the target word MOUSE being preceded by either the identity prime mouse or the unrelated prime fence). It is noteworthy that, unlike other masked priming tasks, prior experiments examining the properties of unrelated primes (e.g., their frequency as words [high or low] or their legality as nonwords [orthographically legal or illegal]) do not have an impact on the processing of the target item. However, two lexical decision studies reported faster responses to target words when the unrelated prime is a word rather than a nonword (i.e., a response congruency effect). One possible explanation for this discrepancy is a difference in methodology, as these two studies are the only ones to have used repeated presentation of stimuli, which could lead to the creation of an episodic memory trace that amplifies response congruency effects. To examine this hypothesis, we used a set of materials that did not show any congruency effect in a previous experiment with unique presentations, except that here we included repeated presentations. Results showed a response congruency effect, with participants responding faster to word targets when they were preceded by an unrelated word prime as opposed to an unrelated nonword prime. These findings suggest that the activation of response codes in masked priming is contingent upon the nature of cognitive resources required for processing the target stimuli. Full article
(This article belongs to the Special Issue Advances in Psycholinguistics and Cognition in Language Processing)
Show Figures

Figure 1

17 pages, 3830 KB  
Article
Word Structure Tunes Electrophysiological and Hemodynamic Responses in the Frontal Cortex
by Fei Gao, Lin Hua, Yuwen He, Jie Xu, Defeng Li, Juan Zhang and Zhen Yuan
Bioengineering 2023, 10(3), 288; https://doi.org/10.3390/bioengineering10030288 - 23 Feb 2023
Cited by 4 | Viewed by 3424
Abstract
To date, it is still unclear how word structure might impact lexical processing in the brain for languages with an impoverished system of grammatical morphology such as Chinese. In this study, concurrent electroencephalogram (EEG) and functional near-infrared spectroscopy (fNIRS) recordings were performed to [...] Read more.
To date, it is still unclear how word structure might impact lexical processing in the brain for languages with an impoverished system of grammatical morphology such as Chinese. In this study, concurrent electroencephalogram (EEG) and functional near-infrared spectroscopy (fNIRS) recordings were performed to inspect the temporal and spatial brain activities that are related to Chinese word structure (compound vs. derivation vs. non-morphological) effects. A masked priming paradigm was utilized on three lexical conditions (compound constitute priming, derivation constitute priming, and non-morphological priming) to tap Chinese native speakers’ structural sensitivity to differing word structures. The compound vs. derivation structure effect was revealed by the behavioral data as well as the temporal and spatial brain activation patterns. In the masked priming task, Chinese derivations exhibited significantly enhanced brain activation in the frontal cortex and involved broader brain networks as compared with lexicalized compounds. The results were interpreted by the differing connection patterns between constitute morphemes within a given word structure from a spreading activation perspective. More importantly, we demonstrated that the Chinese word structure effect showed a distinct brain activation pattern from that of the dual-route mechanism in alphabetic languages. Therefore, this work paved a new avenue for comprehensively understanding the underlying cognitive neural mechanisms associated with Chinese derivations and coordinate compounds. Full article
(This article belongs to the Special Issue Monitoring and Analysis of Human Biosignals)
Show Figures

Figure 1

9 pages, 640 KB  
Brief Report
Perceptual Contiguity Does Not Modulate Matched-Case Identity-Priming Effects in Lexical Decision
by Marta Vergara-Martínez, María Fernández-López and Manuel Perea
Brain Sci. 2023, 13(2), 336; https://doi.org/10.3390/brainsci13020336 - 16 Feb 2023
Cited by 1 | Viewed by 1681
Abstract
In recent studies with the masked priming lexical decision task, matched-case identity-priming effects occur for nonwords but not for words (e.g., nonwords: ERTAR-ERTAR faster than ertar-ERTAR; words: ALTAR-ALTAR produces similar response times as altar-ALTAR). This dissociation is thought to result from lexical feedback [...] Read more.
In recent studies with the masked priming lexical decision task, matched-case identity-priming effects occur for nonwords but not for words (e.g., nonwords: ERTAR-ERTAR faster than ertar-ERTAR; words: ALTAR-ALTAR produces similar response times as altar-ALTAR). This dissociation is thought to result from lexical feedback influencing orthographic representations in word processing. As nonwords do not receive this feedback, bottom-up processing of prime–target integration leads to matched-case effects. However, the underlying mechanism of this effect in nonwords remains unclear. In this study, we added a color congruency manipulation across the prime and target in the matched-case identity-priming design. We aimed to determine whether the case effects originate at the early stages of prime–target perceptual integration or due to bottom-up activation of case-specific letter detectors. Results replicated the previous dissociation between words and nonwords regarding the matched-case identity effect. Additionally, we did not find any modulation of these effects by prime–target color congruency. These findings suggest that the locus of the matched-case identity effect is at an orthographic level of representation that encodes case information. Full article
Show Figures

Figure 1

14 pages, 557 KB  
Article
Is There an Early Morphological Decomposition during L2 Lexical Access? A Meta-Analysis on the Morphological Priming Effect
by Ana Isabel Fernandes, Karlos Luna, Ana Paula Soares and Montserrat Comesaña
Brain Sci. 2023, 13(1), 127; https://doi.org/10.3390/brainsci13010127 - 11 Jan 2023
Cited by 5 | Viewed by 3131
Abstract
A considerable body of experimental data currently exists on the representation and processing of derived words. However, no theoretical account has led to a consensus so far, due in part to inconsistencies in empirical results which show either the presence or the absence [...] Read more.
A considerable body of experimental data currently exists on the representation and processing of derived words. However, no theoretical account has led to a consensus so far, due in part to inconsistencies in empirical results which show either the presence or the absence of signs of early morphological decomposition during lexical access. In this paper, we present the results of a meta-analysis that sought to examine the robustness of the masked morphological priming effect (MMP) in native and non-native speakers. This effect is indexed by faster responses to targets preceded by morphologically related primes vs. unrelated primes (e.g., fighter-FIGHT < needle-FIGHT), and is perhaps the most widespread effect used to test whether speakers of a given language are sensitive to the morphological components of words at early stages of lexical access. To this end, we selected 10 masked priming lexical decision studies (16 experiments) conducted with native and non-native speakers. Variables such as prime duration and level of L2 proficiency were considered in the analyses to assess their impact on the MMP effect. Results showed significant MMP effects, which were restricted to native speakers. No modulations were found for the prime duration. Results are interpreted in light of prevalent models of complex word processing. Full article
Show Figures

Figure 1

14 pages, 1226 KB  
Article
Social Stimulation by the Owner Increases Dogs’ (Canis familiaris) Social Susceptibility in a Food Choice Task—The Possible Effect of Endogenous Oxytocin Release
by Anna Kis, Henrietta Bolló, Anna Gergely and József Topál
Animals 2022, 12(3), 296; https://doi.org/10.3390/ani12030296 - 25 Jan 2022
Cited by 3 | Viewed by 4446
Abstract
Recent evidence suggests a human-like susceptibility to social influence in dogs. For example, dogs tend to ignore their ‘natural’ preference for the larger amount of food after having seen a human’s explicit preference for a smaller quantity. However, it is still unclear whether [...] Read more.
Recent evidence suggests a human-like susceptibility to social influence in dogs. For example, dogs tend to ignore their ‘natural’ preference for the larger amount of food after having seen a human’s explicit preference for a smaller quantity. However, it is still unclear whether this tendency to conform to the partner’s behaviour can be influenced by social stimuli and/or the neurohormone oxytocin as primers to prosocial predispositions. In Experiment I, eighty two dogs were tested using Prato-Previde et al.’s food quantity preference task. In Experiment I, we investigated in a 2 × 2 design how (i) a 10-minute-long social stimulation by the owner versus a socially ignoring pre-treatment as well as (ii) on-line ostensive communications versus no communication during task demonstration affect dogs’ (N = 82) choices in the abovementioned food choice task. Results indicate that the owners’ pre-treatment with social stimuli (eye contact, petting) increased dogs’ susceptibility to the experimenter’s food preference, but the salient ostensive addressing signals accompanying human demonstration masked this social priming effect. In Experiment II, N = 32 dogs from the subjects of Experiment I were retested after oxytocin (OT) or placebo (PL) pre-treatments. This experiment aimed to study whether intranasal administration of oxytocin as compared to placebo treatment would similarly increase dogs’ tendency to re-enact the human demonstrator’s counterproductive choice in the same task. Results showed an increased susceptibility to the human preference in the OT group, suggesting that both socially stimulating pre-treatment and the intranasal administration of oxytocin have similar priming effects on dogs’ social susceptibility. Full article
Show Figures

Figure 1

28 pages, 10818 KB  
Article
Optimization of Piston Grooves, Bridges on Cylinder Head, and Inlet Valve Masking of Home-Fueled Diesel Engine by Response Surface Methodology
by Mathad R. Indudhar, Nagaraj R. Banapurmath, K. Govinda Rajulu, Arun Y. Patil, Syed Javed and T. M. Yunus Khan
Sustainability 2021, 13(20), 11411; https://doi.org/10.3390/su132011411 - 15 Oct 2021
Cited by 9 | Viewed by 3200
Abstract
Naturally replenished biodiesel fuels are more precise in place of diesel engine applications as they have complying thermal properties, which are extensively used by various researchers. However, there is necessity to optimize their utility to meet stringent emission norms as per Bharat Stage [...] Read more.
Naturally replenished biodiesel fuels are more precise in place of diesel engine applications as they have complying thermal properties, which are extensively used by various researchers. However, there is necessity to optimize their utility to meet stringent emission norms as per Bharat Stage VI (BS VI) and Euro 6. From the exhaustive survey on the studies, number of piston grooves (NG), number of grooves-n-bridges on cylinder head (Gr-Br), and inlet valve masking (IVM) using the response surface methodologies (RSM) technique have not been reported on the competence, emissions, and combustion attributes of diesel engines running on Honge oil methyl ester (HOME), hence this is an identified gap in literature. The present simulation work is for optimizing the performance and lessoning exhaust emitted from the diesel prime mover tested on non-conventional and petro fuels. Experimentation was carried out to inquest the competence, combustion, and emittance of a vertical cylinder, overhead valve, water cooling, open or induction swirl diesel engine running on HOME as the injecting fuel. The object of the present effort is to optimize competence of diesel engines via a statistics inquest called designs of experiments (DoE). To curtail the diverse variations to be experimented on, full factorial designs (FFDs) array was employed. The response surface methodologies (RSM)-based nonlinear or quadratic predictors establish the relation between the input parameters and proposed attributes. The RSM-based mathematical predictors are established to prognosticate the distinguished engine output attributes at 95% confidence interval. The response surface assay discovered that a combination of 2B 3G, ‘IVM’ of 90°, and ‘NG’ of six grooves yields highest brake thermal efficiency (BTE), lessoning smoke, carbon monoxide (CO), and hydrocarbon (HC), but nitrogenous oxides (NOx) emissions increased slightly. Additionally, combustion attributes, such as Ignition delay (ID) and combustion duration (CD), were lessoned, but peak pressure (PP) and heat release rate (HRR) had a higher contrast to performance of HOME biodiesel in a conventional CI engine. Full article
Show Figures

Figure 1

17 pages, 3439 KB  
Article
Word and Face Recognition Processing Based on Response Times and Ex-Gaussian Components
by Carmen Moret-Tatay, David García-Ramos, Begoña Sáiz-Mauleón, Daniel Gamermann, Cyril Bertheaux and Céline Borg
Entropy 2021, 23(5), 580; https://doi.org/10.3390/e23050580 - 8 May 2021
Cited by 4 | Viewed by 3264
Abstract
The face is a fundamental feature of our identity. In humans, the existence of specialized processing modules for faces is now widely accepted. However, identifying the processes involved for proper names is more problematic. The aim of the present study is to examine [...] Read more.
The face is a fundamental feature of our identity. In humans, the existence of specialized processing modules for faces is now widely accepted. However, identifying the processes involved for proper names is more problematic. The aim of the present study is to examine which of the two treatments is produced earlier and whether the social abilities are influent. We selected 100 university students divided into two groups: Spanish and USA students. They had to recognize famous faces or names by using a masked priming task. An analysis of variance about the reaction times (RT) was used to determine whether significant differences could be observed in word or face recognition and between the Spanish or USA group. Additionally, and to examine the role of outliers, the Gaussian distribution has been modified exponentially. Famous faces were recognized faster than names, and differences were observed between Spanish and North American participants, but not for unknown distracting faces. The current results suggest that response times to face processing might be faster than name recognition, which supports the idea of differences in processing nature. Full article
(This article belongs to the Special Issue Information Propagation in Psychological Networks)
Show Figures

Figure 1

15 pages, 1585 KB  
Article
Exploring Affective Priming Effect of Emotion-Label Words and Emotion-Laden Words: An Event-Related Potential Study
by Chenggang Wu, Juan Zhang and Zhen Yuan
Brain Sci. 2021, 11(5), 553; https://doi.org/10.3390/brainsci11050553 - 27 Apr 2021
Cited by 34 | Viewed by 5692
Abstract
In order to explore the affective priming effect of emotion-label words and emotion-laden words, the current study used unmasked (Experiment 1) and masked (Experiment 2) priming paradigm by including emotion-label words (e.g., sadness, anger) and emotion-laden words (e.g., death, gift) as primes and [...] Read more.
In order to explore the affective priming effect of emotion-label words and emotion-laden words, the current study used unmasked (Experiment 1) and masked (Experiment 2) priming paradigm by including emotion-label words (e.g., sadness, anger) and emotion-laden words (e.g., death, gift) as primes and examined how the two kinds of words acted upon the processing of the target words (all emotion-laden words). Participants were instructed to decide the valence of target words, and their electroencephalogram was recorded at the same time. The behavioral and event-related potential (ERP) results showed that positive words produced a priming effect whereas negative words inhibited target word processing (Experiment 1). In Experiment 2, the inhibition effect of negative emotion-label words on emotion word recognition was found in both behavioral and ERP results, suggesting that modulation of emotion word type on emotion word processing could be observed even in the masked priming paradigm. The two experiments further supported the necessity of defining emotion words under an emotion word type perspective. The implications of the findings are proffered. Specifically, a clear understanding of emotion-label words and emotion-laden words can improve the effectiveness of emotional communications in clinical settings. Theoretically, the emotion word type perspective awaits further explorations and is still at its infancy. Full article
(This article belongs to the Collection Collection on Neurobiology of Language)
Show Figures

Figure 1

14 pages, 2895 KB  
Article
Associative Overdominance and Negative Epistasis Shape Genome-Wide Ancestry Landscape in Supplemented Fish Populations
by Maeva Leitwein, Hugo Cayuela and Louis Bernatchez
Genes 2021, 12(4), 524; https://doi.org/10.3390/genes12040524 - 3 Apr 2021
Cited by 6 | Viewed by 3528
Abstract
The interplay between recombination rate, genetic drift and selection modulates variation in genome-wide ancestry. Understanding the selective processes at play is of prime importance toward predicting potential beneficial or negative effects of supplementation with domestic strains (i.e., human-introduced strains). In a system of [...] Read more.
The interplay between recombination rate, genetic drift and selection modulates variation in genome-wide ancestry. Understanding the selective processes at play is of prime importance toward predicting potential beneficial or negative effects of supplementation with domestic strains (i.e., human-introduced strains). In a system of lacustrine populations supplemented with a single domestic strain, we documented how population genetic diversity and stocking intensity produced lake-specific patterns of domestic ancestry by taking the species’ local recombination rate into consideration. We used 552 Brook Charr (Salvelinus fontinalis) from 22 small lacustrine populations, genotyped at ~32,400 mapped SNPs. We observed highly variable patterns of domestic ancestry between each of the 22 populations without any consistency in introgression patterns of the domestic ancestry. Our results suggest that such lake-specific ancestry patterns were mainly due to variable associative overdominance (AOD) effects among populations (i.e., potential positive effects due to the masking of possible deleterious alleles in low recombining regions). Signatures of AOD effects were also emphasized by highly variable patterns of genetic diversity among and within lakes, potentially driven by predominant genetic drift in those small isolated populations. Local negative effects such as negative epistasis (i.e., potential genetic incompatibilities between the native and the introduced population) potentially reflecting precursory signs of outbreeding depression were also observed at a chromosomal scale. Consequently, in order to improve conservation practices and management strategies, it became necessary to assess the consequences of supplementation at the population level by taking into account both genetic diversity and stocking intensity when available. Full article
(This article belongs to the Special Issue Evolutionary Dynamics of Wild Populations)
Show Figures

Figure 1

14 pages, 2038 KB  
Article
Dissecting Hierarchies between Light, Sugar and Auxin Action Underpinning Root and Root Hair Growth
by Judith García-González, Jozef Lacek and Katarzyna Retzer
Plants 2021, 10(1), 111; https://doi.org/10.3390/plants10010111 - 7 Jan 2021
Cited by 21 | Viewed by 5057
Abstract
Plant roots are very plastic and can adjust their tissue organization and cell appearance during abiotic stress responses. Previous studies showed that direct root illumination and sugar supplementation mask root growth phenotypes and traits. Sugar and light signaling where further connected to changes [...] Read more.
Plant roots are very plastic and can adjust their tissue organization and cell appearance during abiotic stress responses. Previous studies showed that direct root illumination and sugar supplementation mask root growth phenotypes and traits. Sugar and light signaling where further connected to changes in auxin biosynthesis and distribution along the root. Auxin signaling underpins almost all processes involved in the establishment of root traits, including total root length, gravitropic growth, root hair initiation and elongation. Root hair plasticity allows maximized nutrient uptake and therefore plant productivity, and root hair priming and elongation require proper auxin availability. In the presence of sucrose in the growth medium, root hair emergence is partially rescued, but the full potential of root hair elongation is lost. With our work we describe a combinatory study showing to which extent light and sucrose are antagonistically influencing root length, but additively affecting root hair emergence and elongation. Furthermore, we investigated the impact of the loss of PIN-FORMED2, an auxin efflux carrier mediating shootward auxin transporter, on the establishment of root traits in combination with all growth conditions. Full article
(This article belongs to the Special Issue Advances in Auxin Research)
Show Figures

Figure 1

12 pages, 1315 KB  
Article
Visual Awareness Is Essential for Grouping Based on Mirror Symmetry
by Dina Devyatko and Ruth Kimchi
Symmetry 2020, 12(11), 1872; https://doi.org/10.3390/sym12111872 - 13 Nov 2020
Cited by 5 | Viewed by 2464
Abstract
We examined whether symmetry-based grouping can take place in the absence of visual awareness. To this end, we used a priming paradigm, sandwich masking as an invisibility-inducing method, and primes and targets composed of two vertical symmetric or asymmetric lines. The target could [...] Read more.
We examined whether symmetry-based grouping can take place in the absence of visual awareness. To this end, we used a priming paradigm, sandwich masking as an invisibility-inducing method, and primes and targets composed of two vertical symmetric or asymmetric lines. The target could be congruent or incongruent with the prime in symmetry. In Experiment 1, participants were presented with masked primes and clearly visible targets. In each trial, the participants performed a two-alternative discrimination task on the target, and then rated the visibility of the prime on a subjective visibility four-point scale (used to assess prime awareness). Subjectively invisible primes failed to produce response priming, suggesting that symmetry processing might depend on visual awareness. However, participants barely saw the prime, and the results for the visible primes were inconclusive, even when we used a conservative criterion for awareness. To rule out the possibility that our prime stimuli could not produce priming per se, we conducted a control visibility experiment (Experiment 2), in which participants were presented with unmasked, clearly visible primes and performed a target task. The results showed that our primes could elicit significant response priming when visible. Taken together, our findings indicate that symmetry-based grouping requires visual awareness. Full article
(This article belongs to the Special Issue Symmetry of Perception and Behaviour)
Show Figures

Figure 1

17 pages, 2483 KB  
Brief Report
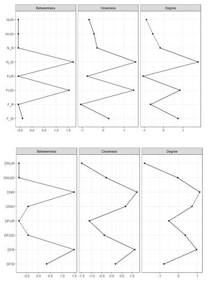
Can You Identify These Celebrities? A Network Analysis on Differences between Word and Face Recognition
by Carmen Moret-Tatay, Inmaculada Baixauli-Fortea, M. Dolores Grau Sevilla and Tatiana Quarti Irigaray
Mathematics 2020, 8(5), 699; https://doi.org/10.3390/math8050699 - 2 May 2020
Cited by 9 | Viewed by 3548
Abstract
Face recognition is located in the fusiform gyrus, which is also related to other tasks such word recognition. Although these two processes have several similarities, there are remarkable differences that include a vast range of approaches, which results from different groups of participants. [...] Read more.
Face recognition is located in the fusiform gyrus, which is also related to other tasks such word recognition. Although these two processes have several similarities, there are remarkable differences that include a vast range of approaches, which results from different groups of participants. This research aims to examine how the word-processing system processes faces at different moments and vice versa. Two experiments were carried out. Experiment 1 allowed us to examine the classical discrimination task, while Experiment 2 allowed us to examine very early moments of discrimination. In the first experiment, 20 Spanish University students volunteered to participate. Secondly, a sample of 60 participants from different nationalities volunteered to take part in Experiment 2. Furthermore, the role of sex and place of origin were considered in Experiment 1. No differences between men and women were found in Experiment 1, nor between conditions. However, Experiment 2 depicted shorter latencies for faces than word names, as well as a higher masked repetition priming effect for word identities and word names preceded by faces. Emerging methodologies in the field might help us to better understand the relationship among these two processes. For this reason, a network analysis approach was carried out, depicting sub-communities of nodes related to face or word name recognition, which were replicated across different groups of participants. Bootstrap inferences are proposed to account for variability in estimating the probabilities in the current samples. This supports that both processes are related to early moments of recognition, and rather than being independent, they might be bilaterally distributed with some expert specializations or preferences. Full article
(This article belongs to the Section E: Applied Mathematics)
Show Figures

Figure 1

Back to TopTop