Sign in to use this feature.

Years

Between: -

Subjects

remove_circle_outline
remove_circle_outline
remove_circle_outline
remove_circle_outline
remove_circle_outline

Journals

Article Types

Countries / Regions

Search Results (25)

Search Parameters:
Keywords = maneuvering target echo

Order results
Result details
Results per page
Select all
Export citation of selected articles as:
36 pages, 35595 KB  
Article
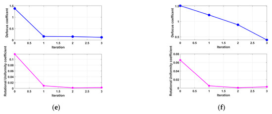
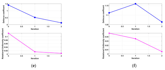
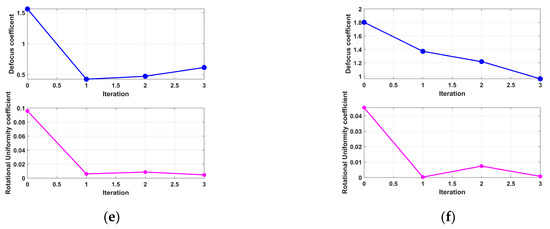
Robust ISAR Autofocus for Maneuvering Ships Using Centerline-Driven Adaptive Partitioning and Resampling
by Wenao Ruan, Chang Liu and Dahu Wang
Remote Sens. 2026, 18(1), 105; https://doi.org/10.3390/rs18010105 - 27 Dec 2025
Viewed by 173
Abstract
Synthetic aperture radar (SAR) is a critical enabling technology for maritime surveillance. However, maneuvering ships often appear defocused in SAR images, posing significant challenges for subsequent ship detection and recognition. To address this problem, this study proposes an improved iteration phase gradient resampling [...] Read more.
Synthetic aperture radar (SAR) is a critical enabling technology for maritime surveillance. However, maneuvering ships often appear defocused in SAR images, posing significant challenges for subsequent ship detection and recognition. To address this problem, this study proposes an improved iteration phase gradient resampling autofocus (IIPGRA) method. First, we extract the defocused ships from SAR images, followed by azimuth decompression and translational motion compensation. Subsequently, a centerline-driven adaptive azimuth partitioning strategy is proposed: the geometric centerline of the vessel is extracted from coarsely focused images using an enhanced RANSAC algorithm, and the target is partitioned into upper and lower sub-blocks along the azimuth direction to maximize the separation of rotational centers between sub-blocks, establishing a foundation for the accurate estimation of spatially variant phase errors. Next, phase gradient autofocus (PGA) is employed to estimate the phase errors of each sub-block and compute their differential. Then, resampling the original echoes based on this differential phase error linearizes non-uniform rotational motion. Furthermore, this study introduces the Rotational Uniformity Coefficient (β) as the convergence criterion. This coefficient can stably and reliably quantify the linearity of the rotational phase, thereby ensuring robust termination of the iterative process. Simulation and real airborne SAR data validate the effectiveness of the proposed algorithm. Full article
Show Figures

Figure 1

34 pages, 6708 KB  
Article
Unmanned Aerial Vehicle Tactical Maneuver Trajectory Prediction Based on Hierarchical Strategy in Air-to-Air Confrontation Scenarios
by Yuequn Luo, Zhenglei Wei, Dali Ding, Fumin Wang, Hang An, Mulai Tan and Junjun Ma
Aerospace 2025, 12(8), 731; https://doi.org/10.3390/aerospace12080731 - 18 Aug 2025
Cited by 1 | Viewed by 1131
Abstract
The prediction of the tactical maneuver trajectory of target aircraft is an important component of unmanned aerial vehicle (UAV) autonomous air-to-air confrontation. In view of the shortcomings of low accuracy and poor real-time performance in the existing maneuver trajectory prediction methods, this paper [...] Read more.
The prediction of the tactical maneuver trajectory of target aircraft is an important component of unmanned aerial vehicle (UAV) autonomous air-to-air confrontation. In view of the shortcomings of low accuracy and poor real-time performance in the existing maneuver trajectory prediction methods, this paper establishes a hierarchical tactical maneuver trajectory prediction model to achieve maneuver trajectory prediction based on the prediction of target tactical maneuver intentions. First, extract the maneuver trajectory features and situation features from the above data to establish the classification rules of maneuver units. Second, a tactical maneuver unit prediction model is established using the deep echo-state network based on the auto-encoder with attention mechanism (DeepESN-AE-AM) to predict 21 basic maneuver units. Then, for the above-mentioned 21 basic maneuver units, establish a maneuver trajectory prediction model using the gate recurrent unit based on triangle search optimization with attention mechanism (TSO-GRU-AM). Finally, by integrating the above two prediction models, a hierarchical strategy is adopted to establish a tactical maneuver trajectory prediction model. A section of the confrontation trajectory is selected from the air-to-air confrontation simulation data for prediction, and the results show that the trajectory prediction error of the combination of DeepESN-AE-AM and TSO-GRU-AM is small and meets the accuracy requirements. The simulation results of three air-to-air confrontation scenarios show that the proposed trajectory prediction method helps to assist UAV in accurately judging the confrontational situation and selecting high-quality maneuver strategies. Full article
Show Figures

Figure 1

30 pages, 8543 KB  
Article
Multi-Channel Coupled Variational Bayesian Framework with Structured Sparse Priors for High-Resolution Imaging of Complex Maneuvering Targets
by Xin Wang, Jing Yang and Yong Luo
Remote Sens. 2025, 17(14), 2430; https://doi.org/10.3390/rs17142430 - 13 Jul 2025
Viewed by 764
Abstract
High-resolution ISAR (Inverse Synthetic Aperture Radar) imaging plays a crucial role in dynamic target monitoring for aerospace, maritime, and ground surveillance. Among various remote sensing techniques, ISAR is distinguished by its ability to produce high-resolution images of non-cooperative maneuvering targets. To meet the [...] Read more.
High-resolution ISAR (Inverse Synthetic Aperture Radar) imaging plays a crucial role in dynamic target monitoring for aerospace, maritime, and ground surveillance. Among various remote sensing techniques, ISAR is distinguished by its ability to produce high-resolution images of non-cooperative maneuvering targets. To meet the increasing demands for resolution and robustness, modern ISAR systems are evolving toward wideband and multi-channel architectures. In particular, multi-channel configurations based on large-scale receiving arrays have gained significant attention. In such systems, each receiving element functions as an independent spatial channel, acquiring observations from distinct perspectives. These multi-angle measurements enrich the available echo information and enhance the robustness of target imaging. However, this setup also brings significant challenges, including inter-channel coupling, high-dimensional joint signal modeling, and non-Gaussian, mixed-mode interference, which often degrade image quality and hinder reconstruction performance. To address these issues, this paper proposes a Hybrid Variational Bayesian Multi-Interference (HVB-MI) imaging algorithm based on a hierarchical Bayesian framework. The method jointly models temporal correlations and inter-channel structure, introducing a coupled processing strategy to reduce dimensionality and computational complexity. To handle complex noise environments, a Gaussian mixture model (GMM) is used to represent nonstationary mixed noise. A variational Bayesian inference (VBI) approach is developed for efficient parameter estimation and robust image recovery. Experimental results on both simulated and real-measured data demonstrate that the proposed method achieves significantly improved image resolution and noise robustness compared with existing approaches, particularly under conditions of sparse sampling or strong interference. Quantitative evaluation further shows that under the continuous sparse mode with a 75% sampling rate, the proposed method achieves a significantly higher Laplacian Variance (LV), outperforming PCSBL and CPESBL by 61.7% and 28.9%, respectively and thereby demonstrating its superior ability to preserve fine image details. Full article
Show Figures

Graphical abstract

22 pages, 7686 KB  
Article
Transformer Architecture for Micromotion Target Detection Based on Multi-Scale Subaperture Coherent Integration
by Linsheng Bu, Defeng Chen, Tuo Fu, Huawei Cao and Wanyu Chang
Remote Sens. 2025, 17(3), 417; https://doi.org/10.3390/rs17030417 - 26 Jan 2025
Viewed by 1011
Abstract
In recent years, long-time coherent integration techniques have gained significant attention in maneuvering target detection due to their ability to effectively enhance the signal-to-noise ratio (SNR) and improve detection performance. However, for space targets, challenges such as micromotion phenomena and complex scattering characteristics [...] Read more.
In recent years, long-time coherent integration techniques have gained significant attention in maneuvering target detection due to their ability to effectively enhance the signal-to-noise ratio (SNR) and improve detection performance. However, for space targets, challenges such as micromotion phenomena and complex scattering characteristics make envelope alignment and phase compensation difficult, thereby limiting integration gain. To address these issues, in this study, we conducted an in-depth analysis of the echo model of cylindrical space targets (CSTs) based on different types of scattering centers. Building on this foundation, the multi-scale subaperture coherent integration Transformer (MsSCIFormer) was proposed, which integrates MsSCI with a Transformer architecture to achieve precise detection and motion parameter estimation of space targets in low-SNR environments. The core of the method lies in the introduction of a convolutional neural network (CNN) feature extractor and a dual-attention mechanism, covering both intra-subaperture attention (Intra-SA) and inter-subaperture attention (Inter-SA). This design efficiently captures the spatial distribution and motion patterns of the scattering centers of space targets. By aggregating multi-scale features, MsSCIFormer significantly enhances the detection performance and improves the accuracy of motion parameter estimation. Simulation experiments demonstrated that MsSCIFormer outperforms traditional moving target detection (MTD) methods and other deep learning-based algorithms in both detection and estimation tasks. Furthermore, each module proposed in this study was proven to contribute positively to the overall performance of the network. Full article
(This article belongs to the Special Issue Microwave Remote Sensing for Object Detection (2nd Edition))
Show Figures

Figure 1

20 pages, 8370 KB  
Article
Long Coherent Processing Intervals for ISAR Imaging: Combined Complex Signal Kurtosis and Data Resampling
by Wenao Ruan and Chang Liu
Remote Sens. 2024, 16(24), 4758; https://doi.org/10.3390/rs16244758 - 20 Dec 2024
Cited by 1 | Viewed by 942
Abstract
Airborne inverse synthetic aperture radar (ISAR) imaging of maneuvering targets is important for maritime surveillance. Long coherent processing intervals (CPIs) can bring better resolution and signal-to-clutter-plus-noise ratio (SCNR). Due to the change in the effective rotation vector (ERV), the conventional Range-Doppler (RD) algorithm [...] Read more.
Airborne inverse synthetic aperture radar (ISAR) imaging of maneuvering targets is important for maritime surveillance. Long coherent processing intervals (CPIs) can bring better resolution and signal-to-clutter-plus-noise ratio (SCNR). Due to the change in the effective rotation vector (ERV), the conventional Range-Doppler (RD) algorithm is not appropriate for producing a well-focused image. To resolve the above issue, we propose a long CPI imaging algorithm through ERV estimation and data resampling. This algorithm estimates the Doppler length of the sub-aperture image by complex signal kurtosis (CSK) at first. Then, the change in the ERV can be estimated because the ship Doppler length is always proportional to the ERV. Finally, the echo is resampled according to the estimation of the time-varying ERV to obtain the echo from a constant ERV. Computer simulation experiments and measured data have verified the effectiveness of the proposed method. Experimental results demonstrate that the proposed method can achieve ISAR imaging with longer CPIs at low SNR and inhomogeneous clutter. Full article
(This article belongs to the Special Issue SAR Images Processing and Analysis (2nd Edition))
Show Figures

Graphical abstract

21 pages, 14998 KB  
Article
Anti-Maneuvering Repeater Jamming Using Up- and Down-Chirp Modulation in Spaceborne Synthetic Aperture Radar
by Yu Sha, Xiaoxiao Feng, Tingcun Wei, Jiang Du and Weidong Yu
Remote Sens. 2024, 16(22), 4260; https://doi.org/10.3390/rs16224260 - 15 Nov 2024
Cited by 3 | Viewed by 1616
Abstract
With the continuous development of synthetic aperture radar (SAR) jamming technology, low-power maneuvering repeater jammers are now flexible and can be located on multiple unmanned aerial vehicles (UAVs) and unmanned vehicles (UVs) at the same time, which greatly increases the difficulty of the [...] Read more.
With the continuous development of synthetic aperture radar (SAR) jamming technology, low-power maneuvering repeater jammers are now flexible and can be located on multiple unmanned aerial vehicles (UAVs) and unmanned vehicles (UVs) at the same time, which greatly increases the difficulty of the anti-maneuvering repeater jamming method for spaceborne SAR. Due to the low-power transmission, the locations of the low-power repeater jammers and the protected areas in the imaged swath are relatively close in distance, while the transmission delay of the jamming is approximately equal to the pulse repetition interval (PRI). According to this phenomenon, an anti-maneuvering repeater jamming method using up- and down-chirp modulation is proposed in this paper. After alternately transmitting up- and down-chirp modulation signals, echoes of the jamming and the protected area are recorded in the same location within the echo-receiving window and are related to different chirp modulations. To remove the jamming echoes, de-chirping and frequency filtering are adopted after echo data segmentation. With jamming interference removal using frequency notch filtering, parts of the spectra corresponding to the desired echoes of the imaged swath are simultaneously removed. To recover the unwanted removed range spectra, linear prediction is introduced to improve the focusing quality. Finally, simulation results on both point and distributed targets validate the proposed anti-maneuvering repeater jamming method by using up- and down-chirp modulation. Full article
(This article belongs to the Section Satellite Missions for Earth and Planetary Exploration)
Show Figures

Figure 1

20 pages, 9655 KB  
Article
Dynamic RCS Modeling and Aspect Angle Analysis for Highly Maneuverable UAVs
by Kerem Sen, Sinan Aksimsek and Ali Kara
Aerospace 2024, 11(9), 775; https://doi.org/10.3390/aerospace11090775 - 20 Sep 2024
Cited by 5 | Viewed by 4597
Abstract
Unmanned aerial vehicles (UAVs) are increasingly significant in modern warfare due to their versatility and capacity to perform high-risk missions without risking human lives. Beyond surveillance and reconnaissance, UAVs with jet propulsion and engagement capabilities are set to play roles similar to conventional [...] Read more.
Unmanned aerial vehicles (UAVs) are increasingly significant in modern warfare due to their versatility and capacity to perform high-risk missions without risking human lives. Beyond surveillance and reconnaissance, UAVs with jet propulsion and engagement capabilities are set to play roles similar to conventional jets. In various scenarios, military aircraft, drones, and UAVs face multiple threats while ground radar systems continuously monitor their positions. The interaction between these aerial platforms and radars causes temporal fluctuations in scattered echo power due to changes in aspect angle, impacting radar tracking accuracy. This study utilizes the potential radar cross-section (RCS) dynamics of an aircraft throughout its flight, using ground radar as a reference. Key factors influencing RCS include time, frequency, polarization, incident angle, physical geometry, and surface material, with a focus on the complex scattering geometry of the aircraft. The research evaluates the monostatic RCS case and examines the impact of attitude variations on RCS scintillation. Here, we present dynamic RCS modeling by examining the influence of flight dynamics on the RCS fluctuations of a UAV-sized aircraft. Dynamic RCS modeling is essential in creating a robust framework for operational analysis and developing effective countermeasure strategies, such as advanced active decoys. Especially in the cognitive radar concept, aircraft will desperately need more dynamic and adaptive active decoys. A methodology for calculating target aspect angles is proposed, using the aircraft’s attitude and spherical position relative to the radar system. A realistic 6DoF (6 degrees of freedom) flight data time series generated by a commercial flight simulator is used to derive aircraft-to-radar aspect angles. By estimating aspect angles for a simulated complex flight trajectory, RCS scintillation throughout the flight is characterized. The study highlights the importance of maneuver parameters such as roll and pitch on the RCS measured at the radar by comparing datasets with and without these parameters. Significant differences were found, with a 32.44% difference in RCS data between full maneuver and no roll and pitch changes. Finally, proposed future research directions and insights are discussed. Full article
(This article belongs to the Section Aeronautics)
Show Figures

Figure 1

21 pages, 5453 KB  
Article
Research on Laser Dual-Mode Fusion Detection Method of Ship Wake Bubbles
by Siguang Zong, Xin Zhang, Zike Duan, Shaopeng Yang and Bao Chen
Appl. Sci. 2024, 14(9), 3695; https://doi.org/10.3390/app14093695 - 26 Apr 2024
Cited by 3 | Viewed by 1560
Abstract
Addressing the issues of weak echo signals and strong background interference in the laser detection of ships’ wakes, an analysis of the laser backscatter detection characteristics of ships’ wakes has been conducted. Based on the Monte Carlo method, a simulation model for the [...] Read more.
Addressing the issues of weak echo signals and strong background interference in the laser detection of ships’ wakes, an analysis of the laser backscatter detection characteristics of ships’ wakes has been conducted. Based on the Monte Carlo method, a simulation model for the dual-mode fusion detection of ship wake bubbles using laser technology was constructed under different target characteristics. A dual-mode fusion detection system for ships’ wakes was designed, and an indoor experimental platform for the dual-mode fusion detection of ship wake bubbles using laser technology was established. To address problems such as a wide range of echo signal intensity changes, severe signal fluctuations, low resolution, poor image contrast, and blurred target edge information, an algorithm based on multi-timescale hierarchical fusion signal processing and temporal difference accumulation image processing was proposed. Verification experiments for ship wake detection were conducted, which revealed that the dual-mode fusion detection method for ship wake bubbles using laser technology can effectively enhance the detection signal-to-background ratio and counter the maneuvering evasion of underwater weapons by ships. It achieved high sensitivity, large dynamic range, high resolution, and a wide field of view detection and real-time signal processing of ship wake bubble targets of different magnitudes against a strong reverberation background. The effectiveness of the dual-mode fusion detection mode was validated, providing theoretical support for the overall system design and parameter settings. Full article
(This article belongs to the Special Issue Application of Signal Processing in Lidar)
Show Figures

Figure 1

21 pages, 7268 KB  
Article
Joint Implementation Method for Clutter Suppression and Coherent Maneuvering Target Detection Based on Sub-Aperture Processing with Airborne Bistatic Radar
by Zhi Sun, Xingtao Jiang, Haonan Zhang, Jiangyun Deng, Zihao Xiao, Chen Cheng, Xiaolong Li and Guolong Cui
Remote Sens. 2024, 16(8), 1379; https://doi.org/10.3390/rs16081379 - 13 Apr 2024
Cited by 2 | Viewed by 1975
Abstract
An airborne bistatic radar working in downward-looking mode confronts two major challenges for low-altitude target detection. One is range cell migration (RCM) and Doppler migration (DM) resulting from the relative motion of the radar and target. The other is the non-stationarity characteristic of [...] Read more.
An airborne bistatic radar working in downward-looking mode confronts two major challenges for low-altitude target detection. One is range cell migration (RCM) and Doppler migration (DM) resulting from the relative motion of the radar and target. The other is the non-stationarity characteristic of clutter due to the radar configuration. To solve these problems, this paper proposes a joint implementation method based on sub-aperture processing to achieve clutter suppression and coherent maneuvering target detection. Specifically, clutter Doppler compensation and sliding window processing are carried out to realize sub-aperture space–time processing, removing the clutter non-stationarity resulting from the bistatic geometric configuration. Thus, the output matrix of clutter suppression in the sub-aperture could be obtained. Then, the elements with the same phase of this matrix are superimposed and rearranged to achieve the reconstructed 2-D range-pluse echo matrix. Next, the aperture division with respect to slow time is conducted and the RCM correction based on modified location rotation transform (MLRT) and coherent integration (CI) are realized within each sub-aperture. Finally, the matched filtering process (MFP) is applied to compensate for the RCM/DM among different sub-apertures to coherently integrate the maneuvering target energy of all sub-apertures. The simulation and measured data processing results prove the validity of the proposed method. Full article
Show Figures

Figure 1

22 pages, 13885 KB  
Article
Radar Maneuvering Target Detection Based on Product Scale Zoom Discrete Chirp Fourier Transform
by Lang Xia, Huotao Gao, Lizheng Liang, Taoming Lu and Boning Feng
Remote Sens. 2023, 15(7), 1792; https://doi.org/10.3390/rs15071792 - 27 Mar 2023
Cited by 4 | Viewed by 2290
Abstract
Long-time coherent integration works to significantly increase the detection probability for maneuvering targets. However, during the observation time, the problems that often tend to occur are range cell migration (RCM) and Doppler frequency cell migration (DFCM), due to the high velocity and acceleration [...] Read more.
Long-time coherent integration works to significantly increase the detection probability for maneuvering targets. However, during the observation time, the problems that often tend to occur are range cell migration (RCM) and Doppler frequency cell migration (DFCM), due to the high velocity and acceleration of the maneuvering target, which can reduce the detection of the maneuvering targets. In this regard, we propose a new coherent integration approach, based on the product scale zoom discrete chirp Fourier transform (PSZDCFT). Specifically, by introducing the zoom operation into the modified discrete chirp Fourier transform (MDCFT), the zoom discrete chirp Fourier transform (ZDCFT) can correctly estimate the centroid frequency and chirp rate of the linear frequency-modulated signal (LFM), regardless of whether the parameters of the LFM signal are outside the estimation scopes. Then, the scale operation, combined with ZDCFT, is performed on the radar echo signal in the range frequency slow time domain, to remove the coupling. Thereafter, a product operation is executed along the range frequency to inhibit spurious peaks and reinforce the true peak. Finally, the velocity and acceleration of the target estimated from the true peak position, are used to construct a phase compensation function to eliminate the RCM and DFCM, thus achieving coherent integration. The method is a linear transform without energy loss, and is suitable for low signal-to-noise (SNR) environments. Moreover, the method can be effectively fulfilled based on the chirp-z transform (CZT), which prevents the brute-force search. Thus, the method reaches a favorable tradeoff between anti-noise performance and computational load. Intensive simulations demonstrate the effectiveness of the proposed method. Full article
(This article belongs to the Special Issue Advanced Radar Signal Processing and Applications)
Show Figures

Graphical abstract

19 pages, 8760 KB  
Article
A Novel Bistatic SAR Maritime Ship Target Imaging Algorithm Based on Cubic Phase Time-Scaled Transformation
by Qing Yang, Zhongyu Li, Junao Li, Hongyang An, Junjie Wu, Yiming Pi and Jianyu Yang
Remote Sens. 2023, 15(5), 1330; https://doi.org/10.3390/rs15051330 - 27 Feb 2023
Cited by 6 | Viewed by 2370
Abstract
Due to the advantages of flexible configuration, bistatic synthetic aperture radar (BiSAR) has the ability to effectively observe from various visual angles, such as forward view area and squint area, and has good anti-jamming characteristics. It can be applied to the surveillance of [...] Read more.
Due to the advantages of flexible configuration, bistatic synthetic aperture radar (BiSAR) has the ability to effectively observe from various visual angles, such as forward view area and squint area, and has good anti-jamming characteristics. It can be applied to the surveillance of ship targets on the sea and is gradually gaining an increasing amount of attention. However, for ship targets with complex motions on the sea surface, such as maneuvering targets or ship targets under high sea conditions, the high-order Doppler frequency of the scattering points is always spatial variation (related to the spatial position of scattering points), which poses a considerable challenge for the imaging of maritime ship targets in BiSAR. To resolve this problem, a BiSAR maritime ship target imaging algorithm based on cubic phase time-scaled transformation is proposed in this paper. First, through pre-processing of echo such as Doppler prefiltering and keystone transform, the translation compensation of the BiSAR maritime ship target is completed, and the scattering point energy is corrected to within one range unit. Then, the azimuth signal is modeled as a multi-component cubic phase signal. Based on the proposed cubic phase time-scaled transformation, the Doppler centroid, frequency rate, and third-order frequency of scattering points are estimated. Eventually, the BiSAR imaging of maritime ship targets is realized. This algorithm has excellent noise immunity and low cross-terms. The simulation leads to the verification of the validity of the proposed algorithm. Full article
Show Figures

Figure 1

24 pages, 7508 KB  
Article
Weak and Maneuvering Target Detection with Long Observation Time Based on Segment Fusion for Narrowband Radar
by Shaopeng Wei, Yan Dai and Qiang Zhang
Sensors 2022, 22(18), 7086; https://doi.org/10.3390/s22187086 - 19 Sep 2022
Cited by 2 | Viewed by 3047
Abstract
Detecting high-speed and maneuvering targets is challenging in early warning radar applications. Modern early warning radar has many functions such as detection, tracking, imaging, and recognition which need a high signal-to-noise ratio (SNR). Thus, long-time coherent integration is a necessary method to realize [...] Read more.
Detecting high-speed and maneuvering targets is challenging in early warning radar applications. Modern early warning radar has many functions such as detection, tracking, imaging, and recognition which need a high signal-to-noise ratio (SNR). Thus, long-time coherent integration is a necessary method to realize high SNR requirements. However, high-speed and maneuverable motion cause range and Doppler migration, which brings about serious coherent integration loss. Traditional integration methods usually have the drawbacks of model mismatching and high computational complexity. This paper establishes a novel long coherent processing interval (CPI) integration algorithm that detects maneuvering and weak targets which have a low reflection cross-section (RCS) and low echo SNR. The range and Doppler migration problems are solved via a layer integration by blending the association in a tracking-before-detection (TBD) technique. Compact SNR gain is achieved with a target information transmission mechanism and an updated constant false alarm ratio (CFAR) threshold. The algorithm is applicable in multiple target scenarios by considering different velocity ambiguities and maneuvers. A simulation and real-measured experiments confirm the effectiveness of the algorithm. Full article
(This article belongs to the Special Issue Airborne Distributed Radar Technology)
Show Figures

Figure 1

16 pages, 6100 KB  
Article
Unambiguous ISAR Imaging Method for Complex Maneuvering Group Targets
by Fengkai Liu, Darong Huang, Xinrong Guo and Cunqian Feng
Remote Sens. 2022, 14(11), 2554; https://doi.org/10.3390/rs14112554 - 26 May 2022
Cited by 8 | Viewed by 2191
Abstract
In inverse synthetic-aperture radar (ISAR) imaging, it is essential to deal with the Doppler ambiguity of group targets with complex maneuvers in order to avoid the bias of target position towards the actual value. Simultaneously, migration through resolution cell (MTRC) under the Doppler [...] Read more.
In inverse synthetic-aperture radar (ISAR) imaging, it is essential to deal with the Doppler ambiguity of group targets with complex maneuvers in order to avoid the bias of target position towards the actual value. Simultaneously, migration through resolution cell (MTRC) under the Doppler ambiguity is unable to be compensated for as a preprocessing. Traditional ISAR imaging methods for maneuvering targets, however, are undesirable to handle the severe deformation and defocusing in the imaging results induced by the Doppler ambiguity and MTRC. In this paper, we propose a novel and effective ISAR imaging method to improve the imaging quality by removing the Doppler ambiguity and compensating for the MTRC. Specifically, we first model the echo as a multi-component cubic phase signal (m-CPS) and design a high-order instantaneous autocorrelation function–generalized scaled Fourier transform (HIAF–GSCFT) to process the echo. This is to estimate the rotational parameters without MTRC compensation. Then, a maximum weighted contrast algorithm is used to remove the Doppler ambiguity, followed by reconstructing the echo. Compared with the existing method, the proposed method can accurately estimate the rotational parameters under the existing MTRCs and achieves a high-quality ISAR image for group targets, with complex maneuvers without Doppler ambiguity. Experiments of simulated and measured datasets validate its effectiveness and robustness for single target and group targets. Full article
(This article belongs to the Special Issue Radar and Sonar Imaging and Processing Ⅲ)
Show Figures

Figure 1

20 pages, 3608 KB  
Article
Ground Maneuvering Target Focusing via High-Order Phase Correction in High-Squint Synthetic Aperture Radar
by Lei Ran, Zheng Liu and Rong Xie
Remote Sens. 2022, 14(6), 1514; https://doi.org/10.3390/rs14061514 - 21 Mar 2022
Cited by 6 | Viewed by 3042
Abstract
Moving target imaging in high-squint synthetic aperture radar (SAR) shows great potential for reconnaissance and surveillance tasks. For the desired resolution, high-squint SAR has a long-time coherent processing interval (CPI). In this case, the maneuvering motion of the moving target usually causes high-order [...] Read more.
Moving target imaging in high-squint synthetic aperture radar (SAR) shows great potential for reconnaissance and surveillance tasks. For the desired resolution, high-squint SAR has a long-time coherent processing interval (CPI). In this case, the maneuvering motion of the moving target usually causes high-order phase terms in the echoed data, which cannot be neglected for precise focusing. Many ground moving target imaging (GMTIm) algorithms have been proposed in the literature, but some high-order phase terms remain uncompensated in high-squint SAR. For this problem, a high-order phase correction-based GMTIm (HPC-GMTIm) method is proposed in this paper. We assumed that the target of interest has a constant velocity in the subaperture CPI, but maneuvering motion parameters for the whole CPI. Within the short subaperture CPI, the target signal can be simplified as a three-order phase expression, and the instantaneous Doppler frequency (DF) was estimated by some time–frequency analysis tools, including the Hough transform and the fractional Fourier transform. For the whole CPI, the subaperture, the instantaneous DF was combined to form a total least-squares problem, outputting the undetermined phase coefficients. Using the proposed local-to-global processing chain, all high-order phase terms can be estimated and corrected, which outperforms existing methods. The effectiveness of the HPC-GMTIm method is demonstrated by real measured high-squint SAR data. Full article
(This article belongs to the Special Issue Radar High-Speed Target Detection, Tracking, Imaging and Recognition)
Show Figures

Figure 1

14 pages, 301 KB  
Article
Quadratic Frequency Modulation Signals Parameter Estimation Based on Product High Order Ambiguity Function-Modified Integrated Cubic Phase Function
by Lei Zhu
Information 2019, 10(4), 140; https://doi.org/10.3390/info10040140 - 16 Apr 2019
Cited by 6 | Viewed by 4495
Abstract
In inverse synthetic aperture radar (ISAR) imaging system for targets with complex motion, such as ships fluctuating with oceanic waves and high maneuvering airplanes, the multi-component quadratic frequency modulation (QFM) signals are more suitable model for azimuth echo signals. The quadratic chirp rate [...] Read more.
In inverse synthetic aperture radar (ISAR) imaging system for targets with complex motion, such as ships fluctuating with oceanic waves and high maneuvering airplanes, the multi-component quadratic frequency modulation (QFM) signals are more suitable model for azimuth echo signals. The quadratic chirp rate (QCR) and chirp rate (CR) cause the ISAR imaging defocus. Thus, it is important to estimate QCR and CR of multi-component QFM signals in ISAR imaging system. The conventional QFM signal parameter estimation algorithms suffer from the cross-term problem. To solve this problem, this paper proposes the product high order ambiguity function-modified integrated cubic phase function (PHAF-MICPF). The PHAF-MICPF employs phase differentiation operation with multi-scale factors and modified coherently integrated cubic phase function (MICPF) to transform the multi-component QFM signals into the time-quadratic chirp rate (T-QCR) domains. The cross-term suppression ability of the PHAF-MICPF is improved by multiplying different T-QCR domains that are related to different scale factors. Besides, the multiplication operation can improve the anti-noise performance and solve the identifiability problem. Compared with high order ambiguity function-integrated cubic phase function (HAF-ICPF), the simulation results verify that the PHAF-MICPF acquires better cross-term suppression ability, better anti-noise performance and solves the identifiability problem. Full article
Show Figures

Figure 1

Back to TopTop