Sign in to use this feature.

Years

Between: -

Subjects

remove_circle_outline
remove_circle_outline
remove_circle_outline
remove_circle_outline
remove_circle_outline
remove_circle_outline
remove_circle_outline

Journals

Article Types

Countries / Regions

Search Results (4)

Search Parameters:
Keywords = item-based collaborative filtering (IBCF)

Order results
Result details
Results per page
Select all
Export citation of selected articles as:
12 pages, 1278 KB  
Article
Recommender System Based on Collaborative Filtering for Personalized Dietary Advice: A Cross-Sectional Analysis of the ELSA-Brasil Study
by Vanderlei Carneiro Silva, Bartira Gorgulho, Dirce Maria Marchioni, Sheila Maria Alvim, Luana Giatti, Tânia Aparecida de Araujo, Angelica Castilho Alonso, Itamar de Souza Santos, Paulo Andrade Lotufo and Isabela Martins Benseñor
Int. J. Environ. Res. Public Health 2022, 19(22), 14934; https://doi.org/10.3390/ijerph192214934 - 13 Nov 2022
Cited by 14 | Viewed by 5010
Abstract
This study aimed to predict dietary recommendations and compare the performance of algorithms based on collaborative filtering for making predictions of personalized dietary recommendations. We analyzed the baseline cross-sectional data (2008–2010) of 12,667 participants of the Brazilian Longitudinal Study of Adult Health (ELSA-Brasil). [...] Read more.
This study aimed to predict dietary recommendations and compare the performance of algorithms based on collaborative filtering for making predictions of personalized dietary recommendations. We analyzed the baseline cross-sectional data (2008–2010) of 12,667 participants of the Brazilian Longitudinal Study of Adult Health (ELSA-Brasil). The participants were public employees of teaching and research institutions, aged 35–74 years, and 59% female. A semiquantitative Food Frequency Questionnaire (FFQ) was used for dietary assessment. The predictions of dietary recommendations were based on two machine learning (ML) algorithms—user-based collaborative filtering (UBCF) and item-based collaborative filtering (IBCF). The ML algorithms had similar precision (88–91%). The error metrics were lower for UBCF than for IBCF: with a root mean square error (RMSE) of 1.49 vs. 1.67 and a mean square error (MSE) of 2.21 vs. 2.78. Although all food groups were used as input in the system, the items eligible as recommendations included whole cereals, tubers and roots, beans and other legumes, oilseeds, fruits, vegetables, white meats and fish, and low-fat dairy products and milk. The algorithms’ performances were similar in making predictions for dietary recommendations. The models presented can provide support for health professionals in interventions that promote healthier habits and improve adherence to this personalized dietary advice. Full article
(This article belongs to the Special Issue Research on Dietary Intake, Nutrition, and Lifestyle Interventions)
Show Figures

Figure 1

14 pages, 1069 KB  
Article
Genomic Selection in Winter Wheat Breeding Using a Recommender Approach
by Dennis N. Lozada and Arron H. Carter
Genes 2020, 11(7), 779; https://doi.org/10.3390/genes11070779 - 11 Jul 2020
Cited by 16 | Viewed by 4211
Abstract
Achieving optimal predictive ability is key to increasing the relevance of implementing genomic selection (GS) approaches in plant breeding programs. The potential of an item-based collaborative filtering (IBCF) recommender system in the context of multi-trait, multi-environment GS has been explored. Different GS scenarios [...] Read more.
Achieving optimal predictive ability is key to increasing the relevance of implementing genomic selection (GS) approaches in plant breeding programs. The potential of an item-based collaborative filtering (IBCF) recommender system in the context of multi-trait, multi-environment GS has been explored. Different GS scenarios for IBCF were evaluated for a diverse population of winter wheat lines adapted to the Pacific Northwest region of the US. Predictions across years through cross-validations resulted in improved predictive ability when there is a high correlation between environments. Using multiple spectral traits collected from high-throughput phenotyping resulted in better GS accuracies for grain yield (GY) compared to using only single traits for predictions. Trait adjustments through various Bayesian regression models using genomic information from SNP markers was the most effective in achieving improved accuracies for GY, heading date, and plant height among the GS scenarios evaluated. Bayesian LASSO had the highest predictive ability compared to other models for phenotypic trait adjustments. IBCF gave competitive accuracies compared to a genomic best linear unbiased predictor (GBLUP) model for predicting different traits. Overall, an IBCF approach could be used as an alternative to traditional prediction models for important target traits in wheat breeding programs. Full article
(This article belongs to the Special Issue Selection Methods in Plant Breeding: From Visual Phenotyping to NGS)
Show Figures

Figure 1

17 pages, 3692 KB  
Article
Enhancing Recommendation Accuracy of Item-Based Collaborative Filtering via Item-Variance Weighting
by Zhi-Peng Zhang, Yasuo Kudo, Tetsuya Murai and Yong-Gong Ren
Appl. Sci. 2019, 9(9), 1928; https://doi.org/10.3390/app9091928 - 10 May 2019
Cited by 18 | Viewed by 7363
Abstract
Recommender systems (RS) analyze user rating information and recommend items that may interest users. Item-based collaborative filtering (IBCF) is widely used in RSs. However, traditional IBCF often cannot provide recommendations with good predictive and classification accuracy at the same time because it assigns [...] Read more.
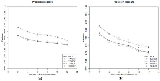
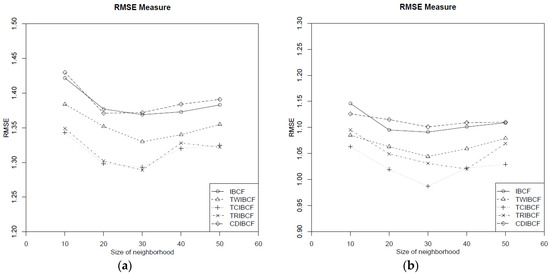
Recommender systems (RS) analyze user rating information and recommend items that may interest users. Item-based collaborative filtering (IBCF) is widely used in RSs. However, traditional IBCF often cannot provide recommendations with good predictive and classification accuracy at the same time because it assigns equal weights to all items when computing similarity and prediction. However, some items are more relevant and should be assigned greater weight. To address this problem, we propose a niche approach to realize item-variance weighting in IBCF in this paper. In the proposed approach, to improve the predictive accuracy, a novel time-related correlation degree is proposed and applied to form time-aware similarity computation, which can estimate the relationship between two items and reduce the weight of the item rated over a long period. Furthermore, a covering-based rating prediction is proposed to increase classification accuracy, which combines the relationship between items and the target user’s preference into the predicted rating scores. Experimental results suggest that the proposed approach outperforms traditional IBCF and other existing work and can provide recommendations with satisfactory predictive and classification accuracy simultaneously. Full article
(This article belongs to the Section Computing and Artificial Intelligence)
Show Figures

Figure 1

17 pages, 1289 KB  
Article
Addressing Complete New Item Cold-Start Recommendation: A Niche Item-Based Collaborative Filtering via Interrelationship Mining
by Zhi-Peng Zhang, Yasuo Kudo, Tetsuya Murai and Yong-Gong Ren
Appl. Sci. 2019, 9(9), 1894; https://doi.org/10.3390/app9091894 - 8 May 2019
Cited by 14 | Viewed by 3073
Abstract
Recommender system (RS) can be used to provide personalized recommendations based on the different tastes of users. Item-based collaborative filtering (IBCF) has been successfully applied to modern RSs because of its excellent performance, but it is susceptible to the new item cold-start problem, [...] Read more.
Recommender system (RS) can be used to provide personalized recommendations based on the different tastes of users. Item-based collaborative filtering (IBCF) has been successfully applied to modern RSs because of its excellent performance, but it is susceptible to the new item cold-start problem, especially when a new item has no rating records (complete new item cold-start). Motivated by this, we propose a niche approach which applies interrelationship mining into IBCF in this paper. The proposed approach utilizes interrelationship mining to extract new binary relations between each pair of item attributes, and constructs interrelated attributes to rich the available information on a new item. Further, similarity, computed using interrelated attributes, can reflect characteristics between new items and others more accurately. Some significant properties, as well as the usage of interrelated attributes, are provided in detail. Experimental results obtained suggest that the proposed approach can effectively solve the complete new item cold-start problem of IBCF and can be used to provide new item recommendations with satisfactory accuracy and diversity in modern RSs. Full article
(This article belongs to the Section Computing and Artificial Intelligence)
Show Figures

Figure 1

Back to TopTop