Sign in to use this feature.

Years

Between: -

Subjects

remove_circle_outline
remove_circle_outline
remove_circle_outline
remove_circle_outline
remove_circle_outline

Journals

Article Types

Countries / Regions

Search Results (7)

Search Parameters:
Keywords = ice crystal formation suppression

Order results
Result details
Results per page
Select all
Export citation of selected articles as:
21 pages, 7072 KB  
Article
Cold Shock Protein B as an Alternative to DMSO for Oocyte Vitrification
by Xinhai Wang, Jing Guo, Kaiyan Zhang, Yi Fang, Hongyu Liu, He Ding, Yang Lyu, Xin Ma and Wenfa Lyu
Antioxidants 2026, 15(1), 107; https://doi.org/10.3390/antiox15010107 - 14 Jan 2026
Abstract
Dimethyl sulfoxide (DMSO) is widely utilized in the vitrification of oocytes, but DMSO exhibits concentration-dependent toxicity, which can compromise oocyte developmental potential by disrupting key cellular processes. This study reports the first successful use of cold shock protein B (CspB protein) as a [...] Read more.
Dimethyl sulfoxide (DMSO) is widely utilized in the vitrification of oocytes, but DMSO exhibits concentration-dependent toxicity, which can compromise oocyte developmental potential by disrupting key cellular processes. This study reports the first successful use of cold shock protein B (CspB protein) as a substitute for DMSO in vitrification solutions for oocyte vitrification. Combining dynamics simulations and experimental validation, we demonstrated CspB’s ability to inhibit ice crystallization and recrystallization by stabilizing its position at the ice–water interface and reducing ice formation rates. Recombinant CspB was successfully expressed and shown to bind to the oolemma. In vitrification solutions, CspB (1–2 mg/mL) effectively reduced ice crystal size and enabled a significant reduction or complete replacement of DMSO. This strategy markedly improved the post-thaw survival rates of both mouse and bovine metaphase II (MII) oocytes. Furthermore, oocytes vitrified with an optimized formulation (15% ethylene glycol + 2 mg/mL CspB) exhibited developmental competence (cleavage and blastocyst rates), oxidative stress markers (ROS, GSH), mitochondrial function (membrane potential and content), and apoptosis levels (Caspase-3/9) comparable to those treated with a standard DMSO-containing system. Transcriptomic analysis revealed that CspB’s cryoprotection involves the modulation of the mTOR signaling pathway. This role was functionally confirmed, as activation of mTOR abolished CspB’s beneficial effects, reinstating oxidative damage, mitochondrial dysfunction, and apoptosis. Thus, the CspB protein replaces DMSO with direct ice crystal formation suppression and mTOR-mediated oxidative stress regulation. This study offers a protein-based alternative to conventional permeable cryoprotectants. This approach holds promise for improving reproductive biotechnologies across species. Full article
Show Figures

Figure 1

18 pages, 4219 KB  
Article
Tuning the Structural, Acidic, and Catalytic Properties of SAPO-11 by Varying the SiO2/Al2O3 Ratio in a Boehmite-Based Reaction Gel
by Arthur R. Zabirov, Dmitry V. Serebrennikov, Nadezhda A. Filippova, Denis Sh. Sabirov, Arthur I. Malunov, Ekaterina S. Mescheryakova, Rufina A. Zilberg and Marat R. Agliullin
Gels 2025, 11(12), 989; https://doi.org/10.3390/gels11120989 - 8 Dec 2025
Viewed by 325
Abstract
The rational design of highly efficient bifunctional SAPO-11 catalysts for hydroisomerization of n-C16 requires unprecedented control over both acidic properties and diffusion characteristics. This work systematically investigates the influence of the SiO2/Al2O3 molar ratio (0.1–0.4) in [...] Read more.
The rational design of highly efficient bifunctional SAPO-11 catalysts for hydroisomerization of n-C16 requires unprecedented control over both acidic properties and diffusion characteristics. This work systematically investigates the influence of the SiO2/Al2O3 molar ratio (0.1–0.4) in the initial gel on the physicochemical and catalytic properties of SAPO-11. Using a combination of characterization techniques (XRD, SEM, TEM-SAED, 29Si MAS NMR, and IR-Py), it was established that this parameter serves as a simple tool for crystal engineering. The concentration of Brønsted acid sites and the external surface area demonstrate a non-linear dependency, reaching their maximum at SiO2/Al2O3 = 0.3. Further increase in silicon content reduces both crystallinity and acidity due to the transition to the dominant SM2 + SM3 incorporation mechanism and the formation of silicon islands. Notably, varying the SiO2/Al2O3 ratio enables control over crystal morphology—progressing systematically from truncated cones (SiO2/Al2O3 = 0.1) to flat prismatic platelets (SiO2/Al2O3 = 0.2) and ultimately hierarchical spherical aggregates (SiO2/Al2O3 = 0.4). In n-C16 hydroisomerization, the Pt/SAPO-11(0.2) catalyst demonstrated the highest yield of i-C16 compared to other samples reaching 81%. The platelet morphology ensures a minimal diffusion path (<100 nm), effectively suppressing secondary hydrocracking. This finding underscores that morphology optimization is more critical than maximizing acidity for achieving high selectivity in the context of n-C16 hydroisomerization over Pt/SAPO-11. Full article
(This article belongs to the Special Issue Gel-Related Materials: Challenges and Opportunities (2nd Edition))
Show Figures

Graphical abstract

13 pages, 2781 KB  
Article
An Anti-Freezing Ionic Conductive Hydrogel for Strain Sensing and Energy Harvesting Devices
by Yanjie Wang, Wei Yu and Sijun Liu
Polymers 2025, 17(23), 3102; https://doi.org/10.3390/polym17233102 - 22 Nov 2025
Viewed by 799
Abstract
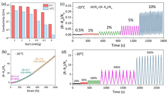
Hydrogels with excellent flexibility and conductivity have attracted intensive attention in wearable human monitoring and energy harvesting devices. However, hydrogels containing plenty of water inevitably freeze at subzero temperatures, which deteriorates flexibility and conductivity and limits their practical applications. Herein, an anti-freezing ionic [...] Read more.
Hydrogels with excellent flexibility and conductivity have attracted intensive attention in wearable human monitoring and energy harvesting devices. However, hydrogels containing plenty of water inevitably freeze at subzero temperatures, which deteriorates flexibility and conductivity and limits their practical applications. Herein, an anti-freezing ionic conductive hydrogel is developed by introducing Na+ into the gellan gum/hydrophobically associated polyacrylamide double network. The optimized anti-freezing hydrogel AICH3 achieves outstanding mechanical properties (fracture stress 1.1 MPa and fracture strain 1700%), remarkable conductivity (2.2 S/m), and impressive strain sensitivity (GF = 7.4) at −20 °C. Benefiting from excellent flexibility, conductivity and strain sensitivity, the assembled AICH3-based strain sensor can accurately sense the bending movement of the bionic finger at −20 °C. In addition, the AICH3 can also be used as a stretchable electrode of a triboelectric nanogenerator (TENG), and the assembled AICH3-based TENG can effectively harvest energy and power electronic devices at −20 °C. The comprehensive mechanical and conductive properties of AICH3 at subzero temperatures might be attributed to the multifunctionality of Na+, which not only promotes the fabrication of physically crosslinked gellan gum/hydrophobically associated polyacrylamide double network but also suppresses the formation of ice crystals. Full article
(This article belongs to the Section Smart and Functional Polymers)
Show Figures

Figure 1

18 pages, 5287 KB  
Article
Antimicrobial Effects of Abies alba Essential Oil and Its Application in Food Preservation
by Milena D. Vukić, Nenad L. Vuković, Marina Radović Jakovljević, Marija S. Ristić and Miroslava Kačániová
Plants 2025, 14(13), 2071; https://doi.org/10.3390/plants14132071 - 7 Jul 2025
Cited by 2 | Viewed by 1407
Abstract
The emergence of antimicrobial resistance and the increasing demand for a healthier lifestyle have set new goals for science and industry. In the search for new, more effective, and environmentally friendly antimicrobial agents, special attention is being paid to natural resources. In this [...] Read more.
The emergence of antimicrobial resistance and the increasing demand for a healthier lifestyle have set new goals for science and industry. In the search for new, more effective, and environmentally friendly antimicrobial agents, special attention is being paid to natural resources. In this regard, essential oils derived from plants, which are widely used in the cosmetic, food, and pharmaceutical industries, are one of the solutions. In view of the above, this study aims to investigate the biological effects of Abies alba essential oil (AAEO). The chemical profile of AAEO was evaluated by GC/MS analysis, which revealed a high abundance of limonene (52.2%) and α-pinene (36.2%). Antioxidant activity evaluation showed a higher potential of AAEO in scavenging ABTS radical species with an IC50 value of 1.18 ± 0.05 mg/mL. In vitro antimicrobial activity was determined by disc diffusion and minimum inhibitory concentration assays and showed that AAEO was more efficient in inhibiting the growth of G+ bacterial species. On contrary, in situ evaluations of antimicrobial effects of AAEO on different food models (strawberry, kiwi, white radish, and beetroot) resulted in more efficient suppression of G bacterial species. Although AAEO showed low effects on yeasts determined by in vitro methods, in situ investigations showed its higher potential in eradication of Candida yeast. The antibiofilm properties of the AAEO matrix were determined by means of crystal violet assay and MALDI-TOF MS Biotyper analysis against biofilm-forming Salmonella enterica. The analysis performed led to the conclusion that AAEO, when applied prior to biofilm formation, may contribute to the removal of planktonic cells and alter the abiotic surface, thereby reducing the suitability of Salmonella enterica for microbial attachment. Full article
(This article belongs to the Special Issue Chemical Composition and Biological Activities of Essential Oils)
Show Figures

Figure 1

20 pages, 6424 KB  
Article
Novel Thienyl-Based Tyrosine Kinase Inhibitors for the Treatment of Hepatocellular Carcinoma
by Andi Ma, Bernhard Biersack, Nils Goehringer, Bianca Nitzsche and Michael Höpfner
J. Pers. Med. 2022, 12(5), 738; https://doi.org/10.3390/jpm12050738 - 1 May 2022
Cited by 3 | Viewed by 2666
Abstract
New medical treatments are urgently needed for advanced hepatocellular carcinoma (HCC). Recently, we showed the anticancer effects of novel thiophene-based kinase inhibitors. In this study, we further characterized the antineoplastic effects and modes of action of the two most promising inhibitors, Thio-Iva and [...] Read more.
New medical treatments are urgently needed for advanced hepatocellular carcinoma (HCC). Recently, we showed the anticancer effects of novel thiophene-based kinase inhibitors. In this study, we further characterized the antineoplastic effects and modes of action of the two most promising inhibitors, Thio-Iva and Thio-Dam, and compared their effects with the clinically relevant multi-kinase inhibitor, sorafenib, in HCC cells. Crystal violet staining and real-time cell growth monitoring showed pronounced antiproliferative effects in Huh-7 and SNU-449 cells with IC50 values in the (sub-)micromolar range. Long-term incubation experiments revealed the reduced clonogenicity of Thio-Iva and Thio-Dam-treated HCC cells. LDH-release tests excluded cytotoxicity as an unspecific mode of action of the inhibitors, while flow cytometry analysis revealed a dose-dependent and pronounced G2/M phase cell cycle arrest and cyclin B1 suppression. Additionally, mitochondria-driven apoptosis was observed through the cytosolic increase of reactive oxygen species, a concomitant PARP cleavage, and caspase-3 induction. Both compounds were found to effectively inhibit the capillary tube formation of endothelial EA.hy926 cells in vitro, pointing towards additional antiangiogenic effects. Antiangiogenic and antineoplastic effects were confirmed in vivo by CAM assays. In summary, the thienyl-acrylonitrile derivatives, Thio-Iva and Thio-Dam, exert significant antineoplastic and antiangiogenic effects in HCC cells. Full article
Show Figures

Figure 1

12 pages, 10374 KB  
Article
Patterning Configuration of Surface Hydrophilicity by Graphene Nanosheet towards the Inhibition of Ice Nucleation and Growth
by Biao Jiang, Yizhou Shen, Jie Tao, Yangjiangshan Xu, Haifeng Chen, Senyun Liu, Weilan Liu and Xinyu Xie
Coatings 2022, 12(1), 52; https://doi.org/10.3390/coatings12010052 - 2 Jan 2022
Cited by 6 | Viewed by 3416
Abstract
Freezing of liquid water occurs in many natural phenomena and affects countless human activities. The freezing process mainly involves ice nucleation and continuous growth, which are determined by the energy and structure fluctuation in supercooled water. Herein, considering the surface hydrophilicity and crystal [...] Read more.
Freezing of liquid water occurs in many natural phenomena and affects countless human activities. The freezing process mainly involves ice nucleation and continuous growth, which are determined by the energy and structure fluctuation in supercooled water. Herein, considering the surface hydrophilicity and crystal structure differences between metal and graphene, we proposed a kind of surface configuration design, which was realized by graphene nanosheets being alternately anchored on a metal substrate. Ice nucleation and growth were investigated by molecular dynamics simulations. The surface configuration could induce ice nucleation to occur preferentially on the metal substrate where the surface hydrophilicity was higher than the lateral graphene nanosheet. However, ice nucleation could be delayed to a certain extent under the hindering effect of the interfacial water layer formed by the high surface hydrophilicity of the metal substrate. Furthermore, the graphene nanosheets restricted lateral expansion of the ice nucleus at the clearance, leading to the formation of a curved surface of the ice nucleus as it grew. As a result, ice growth was suppressed effectively due to the Gibbs–Thomson effect, and the growth rate decreased by 71.08% compared to the pure metal surface. Meanwhile, boundary misorientation between ice crystals was an important issue, which also prejudiced the growth of the ice crystal. The present results reveal the microscopic details of ice nucleation and growth inhibition of the special surface configuration and provide guidelines for the rational design of an anti-icing surface. Full article
Show Figures

Figure 1

20 pages, 17617 KB  
Article
Phase-Field Modeling of Freeze Concentration of Protein Solutions
by Tai-Hsi Fan, Ji-Qin Li, Bruna Minatovicz, Elizabeth Soha, Li Sun, Sajal Patel, Bodhisattwa Chaudhuri and Robin Bogner
Polymers 2019, 11(1), 10; https://doi.org/10.3390/polym11010010 - 21 Dec 2018
Cited by 24 | Viewed by 9035
Abstract
Bulk solutions of therapeutic proteins are often frozen for long-term storage. During the freezing process, proteins in liquid solution redistribute and segregate in the interstitial space between ice crystals. This is due to solute exclusion from ice crystals, higher viscosity of the concentrated [...] Read more.
Bulk solutions of therapeutic proteins are often frozen for long-term storage. During the freezing process, proteins in liquid solution redistribute and segregate in the interstitial space between ice crystals. This is due to solute exclusion from ice crystals, higher viscosity of the concentrated solution, and space confinement between crystals. Such segregation may have a negative impact on the native conformation of protein molecules. To better understand the mechanisms, we developed a phase-field model to describe the growth of ice crystals and the dynamics of freeze concentration at the mesoscale based on mean field approximation of solute concentration and the underlying heat, mass and momentum transport phenomena. The model focuses on evolution of the interfaces between liquid solution and ice crystals, and the degree of solute concentration due to partition, diffusive, and convective effects. The growth of crystals is driven by cooling of the bulk solution, but suppressed by a higher solute concentration due to increase of solution viscosity, decrease of freezing point, and the release of latent heat. The results demonstrate the interplay of solute exclusion, space confinement, heat transfer, coalescence of crystals, and the dynamic formation of narrow gaps between crystals and Plateau border areas along with correlations of thermophysical properties in the supercooled regime. Full article
(This article belongs to the Special Issue Polymer in Confinement)
Show Figures

Figure 1

Back to TopTop