Sign in to use this feature.

Years

Between: -

Subjects

remove_circle_outline
remove_circle_outline
remove_circle_outline
remove_circle_outline
remove_circle_outline

Journals

Article Types

Countries / Regions

Search Results (7)

Search Parameters:
Keywords = hp adaptive pseudospectral method

Order results
Result details
Results per page
Select all
Export citation of selected articles as:
16 pages, 2391 KB  
Article
Hybrid Trajectory Planning for Energy-Augmented Skip–Glide Vehicles via Hierarchical Bayesian Optimization
by Lianxing Wang, Yuankai Li, Guowei Zhang and Xiaoliang Wang
Symmetry 2025, 17(9), 1430; https://doi.org/10.3390/sym17091430 - 2 Sep 2025
Viewed by 743
Abstract
In this paper, a hierarchical optimization framework combining Bayesian and pseudospectral approaches is developed to solve the challenging problem of hybrid trajectory planning for energy-augmented hypersonic skip–glide vehicles that have plane symmetry. Traditional trajectory optimization methods usually deal with discrete energy injection timing [...] Read more.
In this paper, a hierarchical optimization framework combining Bayesian and pseudospectral approaches is developed to solve the challenging problem of hybrid trajectory planning for energy-augmented hypersonic skip–glide vehicles that have plane symmetry. Traditional trajectory optimization methods usually deal with discrete energy injection timing and continuous flight control variables separately, yielding suboptimal solutions. To achieve global optimality, this proposed framework optimizes the discrete and continuous variables simultaneously, conducting Bayesian optimization for discrete global search and hp-adaptive pseudospectral algorithm for local continuous optimization. A rigorous dynamic model, considering Earth’s oblateness, rotation, aerodynamic interactions, and thrust dynamics, is established to ensure high-fidelity trajectory simulation. Numerical simulation through three representative tests indicates significant improvements: The hp-adaptive pseudospectral method achieves over 20% higher computational efficiency and accuracy compared to standard pseudospectral methods. Bayesian optimization demonstrates rapid global convergence within 22 iterations, achieving the optimal single augmentation timing that enhances flight range by up to 55.08%. Further, comprehensive joint optimization with double energy augmentation yields an additional 7.5% range extension compared to randomly selected augmentation timings. The results verify that the proposed hierarchical framework substantially improves the planned trajectory performance and adaptability to the skip–glide trajectories with hybrid maneuver. Full article
Show Figures

Figure 1

32 pages, 4695 KB  
Article
Entry Guidance for Hypersonic Glide Vehicles via Two-Phase hp-Adaptive Sequential Convex Programming
by Xu Liu, Xiang Li, Houjun Zhang, Hao Huang and Yonghui Wu
Aerospace 2025, 12(6), 539; https://doi.org/10.3390/aerospace12060539 - 14 Jun 2025
Cited by 1 | Viewed by 1809
Abstract
This paper addresses the real-time trajectory generation problem for hypersonic glide vehicles (HGVs) during atmospheric entry, subject to complex constraints including aerothermal limits, actuator bounds, and no-fly zones (NFZs). To achieve efficient and reliable trajectory planning, a two-phase hp-adaptive sequential convex programming (SCP) [...] Read more.
This paper addresses the real-time trajectory generation problem for hypersonic glide vehicles (HGVs) during atmospheric entry, subject to complex constraints including aerothermal limits, actuator bounds, and no-fly zones (NFZs). To achieve efficient and reliable trajectory planning, a two-phase hp-adaptive sequential convex programming (SCP) framework is proposed. NFZ avoidance is reformulated as a soft objective to enhance feasibility under tight geometric constraints. In Phase I, a shrinking-trust-region strategy progressively tightens the soft trust-region radius by increasing the penalty weight, effectively suppressing linearization errors. A sensitivity-driven mesh refinement method then allocates collocation points based on their contribution to the objective function. Phase II applies residual-based refinement to reduce discretization errors. The resulting reference trajectory is tracked using a linear quadratic regulator (LQR) within a reference-trajectory-tracking guidance (RTTG) architecture. Simulation results demonstrate that the proposed method achieves convergence in only a few iterations, generating high-fidelity trajectories within 2–3 s. Compared to pseudospectral solvers, the method achieves over 12× computational speed-up while maintaining kilometer-level accuracy. Monte Carlo tests under uncertainties confirm a 100% success rate, with all constraints satisfied. These results validate the proposed method’s robustness, efficiency, and suitability for onboard real-time entry guidance in dynamic mission environments. Full article
(This article belongs to the Section Aeronautics)
Show Figures

Figure 1

16 pages, 1351 KB  
Article
Trajectory Tracking in Autonomous Driving Based on Improved hp Adaptive Pseudospectral Method
by Yingjie Liu and Qianqian Wang
World Electr. Veh. J. 2025, 16(5), 262; https://doi.org/10.3390/wevj16050262 - 8 May 2025
Viewed by 646
Abstract
Intelligent driving technology can effectively improve transportation efficiency and vehicle safety and has become a development trend in automotive technology. As one of the core technologies of autonomous driving, path tracking control is directly related to the driving safety and comfort of vehicles [...] Read more.
Intelligent driving technology can effectively improve transportation efficiency and vehicle safety and has become a development trend in automotive technology. As one of the core technologies of autonomous driving, path tracking control is directly related to the driving safety and comfort of vehicles and therefore has become a key research area of autonomous driving technology. In order to improve the reliability and control accuracy of path tracking algorithms, this paper proposed a path tracking control method based on the Gaussian pseudospectral method. Firstly, a vehicle motion model was constructed, and then an optimal trajectory solving method based on the hp adaptive pseudospectral method was proposed. The optimal trajectory control problem with differential constraints was transformed into an algebraic constrained nonlinear programming problem and solved using the sequential quadratic programming and compared with traditional control methods. The simulation results show that the tracking error of the lateral distance under the condition of μ=0.8 is smaller than that of μ=0.4. At the same time, the tracking error of the lateral distance under the condition of u = 30 km/h is smaller than that of u = 90 km/h. The optimal path tracking control using the improved hp adaptive pseudospectral method has higher accuracy and better control effect compared to traditional control algorithms. Finally, virtual and real vehicle tests were conducted to verify the effectiveness and accuracy of the improved hp adaptive trajectory control algorithm. Full article
Show Figures

Figure 1

32 pages, 9195 KB  
Article
Sequential Convex Programming for Reentry Trajectory Optimization Utilizing Modified hp-Adaptive Mesh Refinement and Variable Quadratic Penalty
by Zhe Liu, Naigang Cui, Lifu Du and Jialun Pu
Aerospace 2024, 11(9), 785; https://doi.org/10.3390/aerospace11090785 - 23 Sep 2024
Cited by 4 | Viewed by 2802
Abstract
Due to the strong nonlinearity in the reentry trajectory planning problem for reusable launch vehicles (RLVs), the scale of the problem after high-precision discretization can become significantly large, and the non-convex path constraints are prone to exceed limits. Meanwhile, the objective function oscillation [...] Read more.
Due to the strong nonlinearity in the reentry trajectory planning problem for reusable launch vehicles (RLVs), the scale of the problem after high-precision discretization can become significantly large, and the non-convex path constraints are prone to exceed limits. Meanwhile, the objective function oscillation phenomenon may occur due to successive convexification, which results in poor convergence. To address these issues, a novel sequential convex programming (SCP) method utilizing modified hp-adaptive mesh refinement and variable quadratic penalty is proposed in this paper. Firstly, a local mesh refinement algorithm based on constraint violation is proposed. Additional mesh intervals and mesh points are added in the vicinity of the constraint violation points, which improves the satisfaction of non-convex path constraints. Secondly, a sliding window-based mesh reduction algorithm is designed and introduced into the hp-adaptive pseudospectral (PS) method. Unnecessary mesh intervals are merged to reduce the scale of the problem. Thirdly, a variable quadratic penalty-based SCP method is proposed. The quadratic penalty term related to the iteration direction and the weight coefficient updating strategy is designed to eliminate the oscillation. Numerical simulation results show that the proposed method can strictly satisfy path constraints while the computational efficiency and convergence of SCP are improved. Full article
(This article belongs to the Special Issue Dynamics, Guidance and Control of Aerospace Vehicles)
Show Figures

Figure 1

16 pages, 1715 KB  
Article
Optimal Control Problem Path Tracking of an Intelligent Vehicle
by Yingjie Liu and Dawei Cui
World Electr. Veh. J. 2024, 15(9), 428; https://doi.org/10.3390/wevj15090428 - 20 Sep 2024
Cited by 3 | Viewed by 1428
Abstract
Aiming at the problem of multiple constraints and low solving efficiency in the process of vehicle path tracking, an improved hp-adaptive Radau pseudospectral method (I-hp-ARPM) which uses a double-layer optimization iteration strategy and the residual of differential algebraic constraints at sampling points with [...] Read more.
Aiming at the problem of multiple constraints and low solving efficiency in the process of vehicle path tracking, an improved hp-adaptive Radau pseudospectral method (I-hp-ARPM) which uses a double-layer optimization iteration strategy and the residual of differential algebraic constraints at sampling points with a Gaussian distribution as the error evaluation criterion is proposed. Firstly, a four-DOF vehicle motion model is established. Secondly, on the basis of establishing algebraic differential constraints and path constraints and satisfying the optimization objective function, the I-hp-ARPM is used to transform the optimal control problem (OCP) into a general nonlinear programming problem for solution. Finally, the effectiveness of the proposed method is verified compared with the traditional hp-adaptive pseudospectral method. The simulation results and the virtual test show that there are peak values at 3.5 s and 4.8 s, as well as 6 s, for both the steering wheel angle and the sideslip angle with the condition of μ = 0.8. And also, there are peak values at the times of 3.5 s and 5.5 s, as well as 7.5 s, with the condition of μ = 0.4. This indicates the vehicle can track the reference path well with the control of the proposed algorithm. Both the initial and final constraints, as well as the path constraint, meet the requirements. The proposed method can generate the optimal trajectory that meets various constraint requirements. This method provides a design basis for path tracking of autonomous vehicles and has significance in engineering. Full article
Show Figures

Figure 1

15 pages, 7395 KB  
Article
Research on Control of Intelligent Vehicle Human-Simulated Steering System Based on HSIC
by Haobin Jiang, Huan Tian, Yiding Hua and Bin Tang
Appl. Sci. 2019, 9(5), 905; https://doi.org/10.3390/app9050905 - 4 Mar 2019
Cited by 9 | Viewed by 3586
Abstract
The experienced drivers with good driving skills are used as objects of learning, and road steering test data of skilled drivers are collected in this article. First, a nonlinear fitting was made to the driving trajectory of skilled driver in order to achieve [...] Read more.
The experienced drivers with good driving skills are used as objects of learning, and road steering test data of skilled drivers are collected in this article. First, a nonlinear fitting was made to the driving trajectory of skilled driver in order to achieve human-simulated control. The segmental polynomial expression was solved for two typical steering conditions of normal right-steering and U-turn, and the hp adaptive pseudo-spectral method was used to solve the connection problem of the vehicle segmental driving trajectory. Second, a new Electric Power Steering (EPS) system was proposed, and the intelligent vehicle human-simulated steering system control model based on human simulated intelligent control (HSIC) was established in Simulink/Carsim joint simulation environment to simulate and analyze. Finally, in order to further verify the effectiveness of the proposed algorithm in this article, an intelligent vehicle steering system test bench with a steering resistance torque simulation device was built, and the dSPACE rapid prototype controller was used to realize human-simulated intelligent control law. The results show that the human-simulated steering control algorithm is superior to the traditional proportion integration differentiation (PID) control in the tracking effect of the steering characteristic parameters and passenger comfort. The steering wheel angle and torque can better track the angle and torque variation curve of real vehicle steering experiment of the skilled driver, and the effectiveness of the intelligent vehicle human-simulated steering control algorithm based on HSIC proposed in this article is verified. Full article
(This article belongs to the Special Issue Applied Sciences Based on and Related to Computer and Control)
Show Figures

Graphical abstract

21 pages, 575 KB  
Article
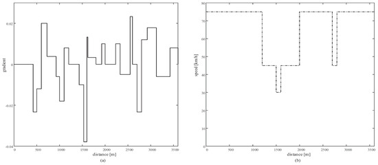
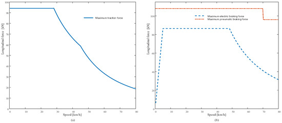
Integrated Optimization of Speed Profiles and Power Split for a Tram with Hybrid Energy Storage Systems on a Signalized Route
by Zhuang Xiao, Pengfei Sun, Qingyuan Wang, Yuqing Zhu and Xiaoyun Feng
Energies 2018, 11(3), 478; https://doi.org/10.3390/en11030478 - 25 Feb 2018
Cited by 25 | Viewed by 7001
Abstract
A tram with on-board hybrid energy storage systems based on batteries and supercapacitors is a new option for the urban traffic system. This configuration enables the tram to operate in both catenary zones and catenary-free zones, and the storage of regenerative braking energy [...] Read more.
A tram with on-board hybrid energy storage systems based on batteries and supercapacitors is a new option for the urban traffic system. This configuration enables the tram to operate in both catenary zones and catenary-free zones, and the storage of regenerative braking energy for later usage. This paper presents a multiple phases integrated optimization (MPIO) method for the coordination of speed profiles and power split considering the signal control strategy. The objective is to minimize the equivalent total energy consumption of all the power sources, which includes both the energy from the traction substation and energy storage systems. The constraints contain running time, variable gradients and curves, speed limits, power balance and signal time at some intersections. The integrated optimization problem is formulated as a multiple phases model based on the characters of the signalized route. An integrated calculation framework, using hp-adaptive pseudospectral method, is proposed for the integrated optimization problem. The effectiveness of the method is verified under fixed time signal (FTS) control strategy and tram priority signal (TPS) control strategy. Illustrative results show that this method can be successfully applied for trams with hybrid energy storage systems to improve their energy efficiency. Full article
(This article belongs to the Section D: Energy Storage and Application)
Show Figures

Figure 1

Back to TopTop