Due to scheduled maintenance work on our servers, there may be short service disruptions on this website between 11:00 and 12:00 CEST on March 28th.
Sign in to use this feature.

Years

Between: -

Subjects

remove_circle_outline
remove_circle_outline
remove_circle_outline
remove_circle_outline
remove_circle_outline
remove_circle_outline
remove_circle_outline
remove_circle_outline
remove_circle_outline

Journals

Article Types

Countries / Regions

Search Results (81)

Search Parameters:
Keywords = haunting

Order results
Result details
Results per page
Select all
Export citation of selected articles as:
16 pages, 2419 KB  
Article
Ghosts Stories, Radical Placemaking: Understanding Storytelling on College Campuses
by Adriano Duque and Aymane Ahajjam
Soc. Sci. 2026, 15(3), 189; https://doi.org/10.3390/socsci15030189 - 16 Mar 2026
Viewed by 198
Abstract
As Villanova University students navigate campus life, ghost stories tied to specific buildings, paths, and rituals circulate as grassroots spatial narratives. This article argues that these stories involving haunted halls, underground tunnels, and ritualized practices surrounding seals, arches, and fountains, function as forms [...] Read more.
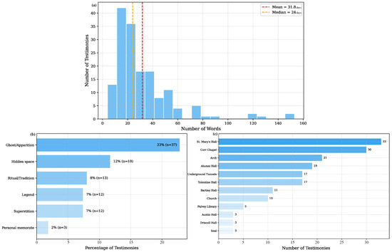
As Villanova University students navigate campus life, ghost stories tied to specific buildings, paths, and rituals circulate as grassroots spatial narratives. This article argues that these stories involving haunted halls, underground tunnels, and ritualized practices surrounding seals, arches, and fountains, function as forms of Radical Placemaking, through which students collectively reinterpret, appropriate, and sometimes resist the university’s officially sanctioned spatial order. Drawing on 162 student testimonies collected in 2019, translated into Spanish, and analyzed using topic modeling, co-occurrence mapping, and GIS visualization, the study demonstrates how vernacular stories encode lived experiences, informal knowledge, and alternative claims to campus space. Nine thematic clusters emerge, organized into three narrative domains: supernatural encounters anchored to institutional buildings (including Alumni Hall’s Civil War history, the St. Mary’s nun legend, and Tolentine Hall hauntings), ritual and tradition practices that reinscribe or subvert formal authority (the Corr Chapel arch, the Driscoll Hall seal ritual, and student ceremonies), and hidden-space narratives that imagine infrastructures beyond official visibility (such as underground tunnels linking campus buildings). Analysis of narrative transmission reveals uneven power relations: institutional channels circulate curated traditions aligned with university identity. Peer networks and personal experiences generate counter-mappings that privilege exploration, embodiment, and affect. Villanova’s ghost stories constitute spatial perceptions that enable students to assert belonging, contest institutional narratives, and produce place through collective storytelling within an evolving and hierarchically governed campus landscape. Full article
(This article belongs to the Section Community and Urban Sociology)
Show Figures

Figure 1

13 pages, 230 KB  
Article
Child Spirits in Thailand: The Intimacy of Kumanthong and Luk Thep
by Megan Sinnott
Religions 2026, 17(3), 303; https://doi.org/10.3390/rel17030303 - 2 Mar 2026
Viewed by 588
Abstract
Propitiating, or “adopting” child spirits is a traditional practice in Thailand that briefly joined a transnational trend in the mid 2010s of adopting dolls that had the look and feel of the realistic reborn dolls that were trendy in the United States in [...] Read more.
Propitiating, or “adopting” child spirits is a traditional practice in Thailand that briefly joined a transnational trend in the mid 2010s of adopting dolls that had the look and feel of the realistic reborn dolls that were trendy in the United States in the 1990s. These “angel dolls,” or luk thep, are a recent innovation in the diverse practices of propitiating child spirits that highlight the intimate, familial, and affective dimensions of these spiritual practices. In recent decades new iterations of child spirit propitiation have emerged focusing on intimacy with the spirit, and the shifting aesthetics of the material form away from human remains or abstractions, to increasingly life-like or appealingly child-like material forms, and the increasing interest in mass-produced commodity forms of child spirits. A new-animist analytic identifies within these practices forms of personhood that are inter-dependent and relational. Full article
(This article belongs to the Special Issue Dolls and Idols: Critical Essays in Neo-Animism)
15 pages, 278 KB  
Article
Hunting the Haunting: Searching for Orbs, Specters, and Ghostly Creatures Through Digital Technologies
by Lionel Obadia
Religions 2026, 17(2), 255; https://doi.org/10.3390/rel17020255 - 19 Feb 2026
Viewed by 441
Abstract
The development of digital technologies had a profound impact on religions, bringing about resistance and adaptations of traditional, theistic systems to this new technological and mediated environment, and on the dynamics of invention and creativity, as demonstrated by the wave of new digital [...] Read more.
The development of digital technologies had a profound impact on religions, bringing about resistance and adaptations of traditional, theistic systems to this new technological and mediated environment, and on the dynamics of invention and creativity, as demonstrated by the wave of new digital religious movements. Scholars’ attention has mainly been put on the modalities of Searching God on the Net. This emphasis on “traditional” religions led to overlooking another dimension, the resurgence and innovative dynamics of beliefs and practices that fall under the category of “paranormal” or “alternative” forms of thinking, believing and acting—magical, witchcraft, occult, esoteric, spirit, and “spiritual” beliefs (understood in a broad sense)—are indeed also spreading and changing by means of new digital technologies. In this regard, digital technologies are not only “religious” or “sacred”, but they are also “haunted”. Departing from a particular topic of primary importance in this field, the ghost, i.e., the different ways by which spectral forms manifests themselves in the new ecosystems of digital technologies, and the way in which technologies reshape the ghost figure, this paper intends to shed light on the logics of this less considered facet of the digital revolution: the ways it participates in a reinvention of the paranormal and a hauntology of technologies. And in parallel to the quest for God online, it is also possible to engage in virtual ghost hunting. Full article
(This article belongs to the Special Issue Digital Religion in the Age of the Metaverse)
12 pages, 236 KB  
Article
Proto-Spiritualist Masculinities in Arthur Conan Doyle’s The Captain of the ‘Pole-Star’
by Lin Young
Humanities 2026, 15(1), 5; https://doi.org/10.3390/h15010005 - 24 Dec 2025
Viewed by 489
Abstract
This paper examines Arthur Conan Doyle’s 1883 story The Captain of the ‘Pole-Star’ in light of his later intersecting interests in spiritualism and masculinity. Conan Doyle uses the Arctic as a space where scientific and spiritual ways of viewing the world struggle to [...] Read more.
This paper examines Arthur Conan Doyle’s 1883 story The Captain of the ‘Pole-Star’ in light of his later intersecting interests in spiritualism and masculinity. Conan Doyle uses the Arctic as a space where scientific and spiritual ways of viewing the world struggle to co-exist, comparing ship doctor Ray’s official journal with the ‘superstition’ of the crew, examining the role of spiritual belief in an increasingly scientific age. The paper examines how the story focuses these themes through the lens of masculinity. By reading Ray and Craigie as embodiments of possible British futures—that of scientific rationality and Romantic spirituality, Ray’s rationality is ultimately confounded and unsettled by the spectral events of the story, leaving him haunted by the events on board the ship, unable to resolve them or prevent Craigie’s death. Meanwhile, Craigie’s Romanticism leads him to embrace the spectral, but at the cost of his own life. As a result, Conan Doyle depicts both definitive worldviews as ultimately cold and desolate, neither wholly sustaining on their own terms. The ghost, as a result, becomes key to determining what sort of man ought to usher in the future—whether we recognize it as having a rational explanation or a sublime supernatural one. Full article
(This article belongs to the Special Issue Nineteenth-Century Gothic Spiritualisms: Looking Under the Table)
26 pages, 12914 KB  
Article
Copy/Past: A Hauntological Approach to the Digital Replication of Destroyed Monuments
by Giovanni Lovisetto
Heritage 2025, 8(7), 255; https://doi.org/10.3390/heritage8070255 - 27 Jun 2025
Viewed by 2838
Abstract
This article offers a critical analysis of two ‘replicas’ of monuments destroyed by ISIL in 2015: the Institute for Digital Archaeology’s Arch of Palmyra (2016) and the lamassu from Nimrud, exhibited in the Rinascere dalle Distruzioni exhibition (2016). Drawing on Jacques Derrida’s formulation [...] Read more.
This article offers a critical analysis of two ‘replicas’ of monuments destroyed by ISIL in 2015: the Institute for Digital Archaeology’s Arch of Palmyra (2016) and the lamassu from Nimrud, exhibited in the Rinascere dalle Distruzioni exhibition (2016). Drawing on Jacques Derrida’s formulation of hauntology and Umberto Eco’s theory of forgery, this study examines the ontological, ethical, and ideological stakes of digitally mediated replication. Rather than treating digital and physical ‘copies’ as straightforward reproductions of ancient ‘originals’, the essay reframes them as specters: material re-appearances haunted by loss, technological mediation, and political discourses. Through a close analysis of production methods, rhetorical framings, media coverage, and public reception, it argues that presenting such ‘replicas’ as faithful restorations or acts of cultural resurrection collapses a hauntological relationship into a false ontology. The article thus shows how, by concealing the intermediary, spectral role of digital modeling, such framings enable the symbolic use of these ‘replicas’ as instruments of Western technological triumphalism and digital colonialism. This research calls for a critical approach that recognizes the ontological peculiarities of such replicas, foregrounds their reliance on interpretive rather than purely mechanical processes, and acknowledges the ideological weight they carry. Full article
(This article belongs to the Special Issue Past for the Future: Digital Pathways in Cultural Heritage)
Show Figures

Figure 1

13 pages, 206 KB  
Article
‘I Heard Music’: Mansfield Park, an Opera by Jonathan Dove and Alasdair Middleton
by Gillian Dooley
Humanities 2025, 14(2), 26; https://doi.org/10.3390/h14020026 - 7 Feb 2025
Viewed by 1839
Abstract
When composer Jonathan Dove first read Jane Austen’s novel Mansfield Park, he immediately saw its operatic potential. In a newspaper interview, he is quoted as saying that the novel ‘haunted me for years’. He was particularly affected by Fanny Price and her [...] Read more.
When composer Jonathan Dove first read Jane Austen’s novel Mansfield Park, he immediately saw its operatic potential. In a newspaper interview, he is quoted as saying that the novel ‘haunted me for years’. He was particularly affected by Fanny Price and her predicament. When the opportunity came to write the opera, Dove worked with librettist Alasdair Middleton to create an operatic work that builds on and reinterprets Austen’s novel. It is a chamber opera, originally scored for piano duet, and although Dove later made an arrangement for a chamber ensemble, he retained the piano, identifying it as a sound world with which Austen was intimately familiar. In this paper, I track the transition from the printed page via the score and the libretto to the opera, and analyse the means by which Dove and Middleton create this popular adaptation, including telescoping the plot, using and adapting Austen’s own language, incorporating music inspired by eighteenth-century glees, and using characters as a chorus, with music that enhances the impact and translates the powerful emotions on Austen’s page into raw and urgent feelings. Full article
(This article belongs to the Special Issue Music and the Written Word)
13 pages, 251 KB  
Article
The Wandering Jew as Monster: John Blackburn’s Devil Daddy
by Lisa Lampert-Weissig
Humanities 2025, 14(1), 17; https://doi.org/10.3390/h14010017 - 17 Jan 2025
Viewed by 2164
Abstract
Can we think of the legendary Wandering Jew as a monster? The figure does not easily fit the common definition of a monster and yet, the Wandering Jew is extraordinary. In the medieval and early modern sources of the legend, the Wandering Jew, [...] Read more.
Can we think of the legendary Wandering Jew as a monster? The figure does not easily fit the common definition of a monster and yet, the Wandering Jew is extraordinary. In the medieval and early modern sources of the legend, the Wandering Jew, who once sinned against Christ and is therefore doomed to be an immortal eyewitness to the Passion, serves as a model for the faithful. In his 1796 gothic novel, The Monk, Matthew Lewis creates a new strand of the Wandering Jew tradition, a gothic Wandering Jew, a being transformed from wonder to horror through association with centuries of antisemitic accusations against Jews as agents of conspiracy, ritual murder, nefarious magic, and disease. This essay argues that a variation on the representation of the gothic Wandering Jew, which began with Coleridge’s Rime of the Ancient Mariner, further adapts the legend to make the Wanderer not a sign of redemption, but the monstrous cause of catastrophe not only for himself, but for those he encounters. This article, the first scholarly examination of John Blackburn’s 1972 Wandering Jew novel, Devil Daddy, situates it within the strand of the legend that represents the Wandering Jew as a monstrous source of destruction. Blackburn’s novel, written during a time of global concern over the development of biological weapons of mass destruction, portrays the Wandering Jew’s curse as a source of manmade global environmental catastrophe. In this way, the sin of the monstrous Wandering Jew becomes one not against Christ, but against humankind. Even as Devil Daddy explicitly references the horrors of the Holocaust, this representation of a monstrous Wandering Jew haunts the text, undermining its sympathetic representation of Jewish suffering. Full article
(This article belongs to the Special Issue Re-imagining Classical Monsters)
12 pages, 1436 KB  
Article
Rhizobacterial Isolates from the Native Plant Ceanothus velutinus Promote Growth in Two Genotypes of Tall Fescue
by Ananta Raj Devkota, Sukhmanjot Kaur and Amita Kaundal
Microbiol. Res. 2024, 15(4), 2607-2618; https://doi.org/10.3390/microbiolres15040173 - 10 Dec 2024
Cited by 1 | Viewed by 1802
Abstract
Global warming-induced climate change haunts the world, posing a critical threat to plant health and crop production. Overusing chemical fertilizers and pesticides poses a significant threat to soil health. Ceanothus velutinus (snowbrush) is a drought-tolerant, actinorhizal native plant found in the Intermountain West [...] Read more.
Global warming-induced climate change haunts the world, posing a critical threat to plant health and crop production. Overusing chemical fertilizers and pesticides poses a significant threat to soil health. Ceanothus velutinus (snowbrush) is a drought-tolerant, actinorhizal native plant found in the Intermountain West region of the US that harbors many plant growth-promoting rhizobacteria (PGPR). In this study, we evaluated the effects of PGPR CK-06, CK-22, CK-44, and CK-50 from C. velutinus on the growth and development of two tall fescue genotypes: (i) a lawn-type tall fescue blend and (ii) an endophyte-free forage-type tall fescue known as Armory. Tall fescue plants were grown in field soil and sand mix in pots and treated twice with 5 mL of bacterial inoculum. Two isolates, CK-06 and CK-22, significantly increased tiller numbers (p < 0.05) in the lawn-type tall fescue blend, and all isolates showed a significant increase in fresh and dry weight compared to the control. Isolate CK-22 significantly increased the tiller number and fresh and dry weight of the forage-type tall fescue Armory compared to the control. Isolates CK-44 and CK-50 tested positive for sulfur-oxidizing properties, and CK-44 was able to restore the sulfur content in sulfur-deficient soil compared to the control. Full article
Show Figures

Figure 1

11 pages, 227 KB  
Article
“No Way Out”: The Gothic Concept of Home in Shirley Jackson’s Horror Fiction
by Margherita Orsi
Humanities 2024, 13(5), 125; https://doi.org/10.3390/h13050125 - 28 Sep 2024
Viewed by 5789
Abstract
The “haunted house formula” is a central component in every Female Gothic narrative from the eighteenth and nineteenth centuries. Typically, it revolves around a heroine trapped in a gloomy mansion, seeking to escape a male villain. This trope, which covertly explores feminine anxieties [...] Read more.
The “haunted house formula” is a central component in every Female Gothic narrative from the eighteenth and nineteenth centuries. Typically, it revolves around a heroine trapped in a gloomy mansion, seeking to escape a male villain. This trope, which covertly explores feminine anxieties such as domestic confinement and familial oppression, recurs multiple times in Shirley Jackson’s “house trilogy” as well, namely The Sundial, The Haunting of Hill House, and We Have Always Lived in the Castle. However, as noted by many critics, while Female Gothic narratives usually conclude with the protagonist’s successful escape and her marriage to the male hero, in Jackson’s fiction, there is “no way out”. Her protagonists remain confined within the domestic space. This essay explores Jackson’s reappropriation of the haunted house trope as a symbol of the paranoia experienced by women in 1950s suburban America. The analysis begins by outlining the theme in traditional Female Gothic fiction, followed by an account of the sociohistorical context in which Jackson operated, without dismissing the significancy of her personal life experiences as well. Jackson’s “house trilogy” will then be examined, paying particular attention to the ways in which the haunted house formula is subverted to function not as an escape narrative, but as a metaphor for modern women’s inescapable confinement. Full article
(This article belongs to the Special Issue Legacy of Gothic Tradition in Horror Fiction)
16 pages, 246 KB  
Article
The Return of the Repressed: The Subprime Haunted House
by Jaleesa Rena Harris
Humanities 2024, 13(5), 124; https://doi.org/10.3390/h13050124 - 26 Sep 2024
Viewed by 2433
Abstract
This article merges evaluations of Black life through the Southern Gothic and the intersection of Black studies to conceptualize the “Black Gothic”. The Black Gothic conceives of a future that requires closely examining the past and the present primarily through a Southern Gothic [...] Read more.
This article merges evaluations of Black life through the Southern Gothic and the intersection of Black studies to conceptualize the “Black Gothic”. The Black Gothic conceives of a future that requires closely examining the past and the present primarily through a Southern Gothic and Black horror lens. Much of Black Gothic’s analytics depended upon the framework outlined within Afro-pessimism and the subprime; however, it differs in its pursuits of reparations as a way forward. The Black Gothic focuses on intermingling the lived anti-Black experiences of Black existence with supernatural gothic traditions, forcing readers to determine which experience is more horrific. The Black Gothic functions as a mode of interaction with the Southern Gothic and the Black horror visual genres; its definition invokes literary and visual modes and genres that expand the many depictions of Black life in America when it is constantly threatened by elimination and devaluation. The Black horror genre seeks to expose the “afterlife of slavery” through actual and speculative means. Meanwhile, Southern Gothic’s ability to cross temporal bounds makes these the ideal genres to present the enslaved’s repressed and debted history. Southern Gothic replaced ruined gothic castles with plantations; Black Gothic replaced plantations and the monolithic “South” with northern sundown towns, redlining, and subprime mortgages. The Black Gothic’s methodology uses a systemic fiscal devaluation of Black ownership, self, and property through the subprime. In company with Fred Moten’s conceptualization of the subprime, the Black Gothic views being marked as “subprime” as an antecedent to predatory housing practices; it is instead the moment that captured Africans experience social death. Using Toni Morrison’s Beloved and Misha Green’s HBO adaptation of Matt Ruff’s novel Lovecraft Country, I define the Black Gothic and then outline its capacity to function as an analytic to further both the Southern Gothic and Black horror genres. The Black Gothic transcends gothic traditions by including films and texts that are not categorically gothic or horror and exposes the horrific and gothic modes primarily exhibited through the treatment of the descendants of enslaved Africans. Comprehensively, this article argues for a space to view the future re-evaluation of Black life through speculative and practical reparations. Full article
(This article belongs to the Special Issue Legacy of Gothic Tradition in Horror Fiction)
16 pages, 190 KB  
Article
Empathy and Listening in Research-Based Theatre
by Christina Cook, George Belliveau and Luke Bokenfohr
Arts 2024, 13(5), 140; https://doi.org/10.3390/arts13050140 - 19 Sep 2024
Cited by 2 | Viewed by 2637
Abstract
This article shares excerpts from the playscript Unload, which brings to life research on military veterans and the lived experience of civilians carrying trauma. Co-developed by veterans, artists, researchers, and counsellors, the play follows a veteran’s journey to overcome challenges in and [...] Read more.
This article shares excerpts from the playscript Unload, which brings to life research on military veterans and the lived experience of civilians carrying trauma. Co-developed by veterans, artists, researchers, and counsellors, the play follows a veteran’s journey to overcome challenges in and out of uniform and sees him guide a civilian friend through unspoken grief that has been haunting him for decades. This research-based play artistically synthesizes extensive data collected from focus groups, interviews, and surveys conducted with veterans, artists, counsellors, and audiences involved in a five-year research project. This article begins by situating the research-based play within the literature on theatre and empathy. Then, alongside excerpts from the playscript, the authors, who were co-writers of the script and members of the cast, offer insights gleaned from the performance of Unload. Full article
12 pages, 235 KB  
Article
On the Ethics of Mediating Embodied Vulnerability to Violence
by Meenakshi Gigi Durham
Religions 2024, 15(9), 1127; https://doi.org/10.3390/rel15091127 - 18 Sep 2024
Viewed by 2989
Abstract
Media ethics has long been haunted by the question of representing human beings’ vulnerability to violence. While journalism and photojournalism have an obligation to report on the realities of violence and suffering in the world, the “spectacle of suffering” is fraught with ethical [...] Read more.
Media ethics has long been haunted by the question of representing human beings’ vulnerability to violence. While journalism and photojournalism have an obligation to report on the realities of violence and suffering in the world, the “spectacle of suffering” is fraught with ethical dilemmas. In this essay, I seek to theorize the ethics of vulnerability to violence in media representation. As a starting point, I argue for the politics of embodiment as a generative process that constitutes differential vulnerabilities. I move then to consider the way embodied vulnerabilities play out in the media, as exemplified by recent events such as the Black Lives Matter and MeToo movements as well as in times of war, from Vietnam to, more recently, Ukraine and Israel/Palestine. This leads to considerations of spectatorship: who looks and who is looked at? How are these relations of gazing related to the vectors of social and geopolitical power? Are images of embodied vulnerability simply media spectacles that reinforce power hierarchies, or are they powerful prosocial messages that might mobilize humanitarian activism? To address these epistemic questions, I propose that the feminist ethics of care encompasses an invitational rhetoric that can guide media praxis. Care ethics is aligned with various religious epistemologies, and because of that, I argue for it as an umbrella framework that has application in a variety of national and cultural contexts. Full article
(This article belongs to the Special Issue Vulnerability in Theology, the Humanities and Social Sciences)
19 pages, 315 KB  
Article
“And What If You Can’t Forget It? … What If It Stays in Your Head, Repeating Itself … ?”: Reading Chuck Palahniuk’s Horror Trilogy (Lullaby, Diary, and Haunted) for Obsessions and Compulsions
by Steve Van-Hagen
Humanities 2024, 13(5), 115; https://doi.org/10.3390/h13050115 - 11 Sep 2024
Viewed by 2920
Abstract
This essay argues that one of the distinguishing characteristics of Chuck Palahniuk’s self-described “Horror Trilogy” of novels, Lullaby, Diary, and Haunted, is their representation of obsessions, compulsions, and obsessive–compulsive disorders. This essay analyses these representations from a variety of different [...] Read more.
This essay argues that one of the distinguishing characteristics of Chuck Palahniuk’s self-described “Horror Trilogy” of novels, Lullaby, Diary, and Haunted, is their representation of obsessions, compulsions, and obsessive–compulsive disorders. This essay analyses these representations from a variety of different perspectives, including medical and psychiatric approaches, clinical and self-help narratives, and biocultural readings emanating from cultural history and critical disability studies. It is demonstrated that the novels reflect a range of the debates that arise from these competing approaches, and the points of similarity and difference in the readings produced are identified. Palahniuk’s representations, it is suggested, must be seen in the contexts of a number of his recurrent thematic preoccupations, and of his engagement with existential comedy. Ultimately, this essay suggests that Palahniuk’s representations of obsessions, compulsions, and OCD must be seen as multi-faceted and protean, as befitting the awareness of the complicated current debates about their conceptualisation that the novels display. Full article
(This article belongs to the Special Issue Literature and Medicine)
11 pages, 1332 KB  
Article
The Haunted Academy: A Whakapapa Approach to Understanding Māori Doctoral Student Belonging in Aotearoa Universities
by Hine Funaki-Cole
Genealogy 2024, 8(3), 91; https://doi.org/10.3390/genealogy8030091 - 15 Jul 2024
Cited by 2 | Viewed by 3237
Abstract
Hauntings are often misconstrued as strange and often scary supernatural experiences that blur the lines between what is real and what is not. Yet, Indigenous hauntings can not only be confronting, but they can also be comforting and support place belonging. This paper [...] Read more.
Hauntings are often misconstrued as strange and often scary supernatural experiences that blur the lines between what is real and what is not. Yet, Indigenous hauntings can not only be confronting, but they can also be comforting and support place belonging. This paper offers a Māori philosophical way of theorising hauntology and its relation to time, space, place, and belonging by privileging a whakapapa perspective. Whakapapa acknowledges not only kinship relations for people, but all things and their relationship to them, from the sky to the lands, and the spiritual connections in between. Employing a whakapapa kōrero theoretical framework, I draw on Māori constructs of time and place through Wā, Wānanga (Māori stories both told and untold), and Te Wāhi Ngaro to offer some insights from my doctoral thesis where Māori PhD students shared their everyday experiences in their institutions. With a backdrop of settler-colonial structures, norms, and daily interactions, I argue that hauntings are an everyday familiar occurrence in Te Ao Māori which play a major role in the way Māori doctoral students establish and maintain a sense of belonging in their universities. Full article
(This article belongs to the Special Issue Decolonial (and Anti-Colonial) Interventions to Genealogy)
Show Figures

Figure 1

20 pages, 349 KB  
Article
The First World War and Ford Madox Ford’s Short Stories, 1914–1920
by Andrew Frayn
Humanities 2024, 13(3), 86; https://doi.org/10.3390/h13030086 - 4 Jun 2024
Cited by 2 | Viewed by 3898
Abstract
This article analyses together, for the first time, Ford Madox Ford’s short stories about the First World War. A surprisingly unfamiliar form for Ford, who valued allusion, subtlety, and omission as narrative devices, we see in these stories his first attempts to parse [...] Read more.
This article analyses together, for the first time, Ford Madox Ford’s short stories about the First World War. A surprisingly unfamiliar form for Ford, who valued allusion, subtlety, and omission as narrative devices, we see in these stories his first attempts to parse his experience of wartime and, subsequently, military service. It is also an aspect of Ford’s writing which has received little previous critical comment. The wartime and post-war short stories are approached chronologically: ‘The Scaremonger: A Tale of the War Times’ (1914), ‘Fun!—It’s Heaven’ (1915), ‘Pink Flannel’ (1919), ‘The Colonel’s Shoes’ (1920), ‘Enigma’ ([1920–1922] 1999), and ‘The Miracle’ (1928). The contemporary debates in which Ford intervened are highlighted by returning to their original periodical publications, and extensive reference to a range of his non-fictional periodical contributions establishes new connections among his wartime writing. Here I bring together for the first time these short stories, arguing that Ford’s refracting of the war through the lens of his impressionism is distinctive as an early response to war, trauma, and neurosis and is vital to the genesis of his later successes in prose, notably the Parade’s End novel tetralogy (1924–1928). Full article
(This article belongs to the Special Issue Ford Madox Ford's War Writing)
Back to TopTop