Sign in to use this feature.

Years

Between: -

Subjects

remove_circle_outline
remove_circle_outline
remove_circle_outline
remove_circle_outline
remove_circle_outline

Journals

Article Types

Countries / Regions

Search Results (6)

Search Parameters:
Keywords = guide vane closing law

Order results
Result details
Results per page
Select all
Export citation of selected articles as:
29 pages, 6525 KB  
Review
Issues Related to Water Hammer in Francis-Turbine Hydropower Schemes: A Review
by Anton Bergant, Jernej Mazij, Jošt Pekolj and Kamil Urbanowicz
Energies 2025, 18(24), 6404; https://doi.org/10.3390/en18246404 - 8 Dec 2025
Viewed by 157
Abstract
This paper reviews key parameters which may cause unacceptable water hammer loads in Francis-turbine hydropower schemes. Water hammer control strategies are presented for this context including operational scenarios (closing and opening laws), surge control devices, redesign of the pipeline components, or limitation of [...] Read more.
This paper reviews key parameters which may cause unacceptable water hammer loads in Francis-turbine hydropower schemes. Water hammer control strategies are presented for this context including operational scenarios (closing and opening laws), surge control devices, redesign of the pipeline components, or limitation of operating conditions. Theoretical water hammer models and solutions are outlined and discussed. Case studies include simple and complex new and refurbished hydropower systems including headrace and tailrace tunnels, surge tanks of various designs, and different penstock layouts. The case studies in this paper cover the application of both commercial and in-house software packages for hydraulic transient analysis. Two-stage guide vane closing law, increased unit inertia and surge tank(s) are used in the cases considered to keep the water hammer within the prescribed limits. Typical values for the maximum pressure head at the turbine inlet and the maximum unit speed rise during normal transient regimes were in the range of 10 to 35% of the maximum gross head and 35 to 50% above the nominal speed, respectively. The agreement between computational results using both software packages, and field test results is well within the limits of ±5% accepted in hydropower engineering practice. Full article
Show Figures

Figure 1

19 pages, 16057 KB  
Article
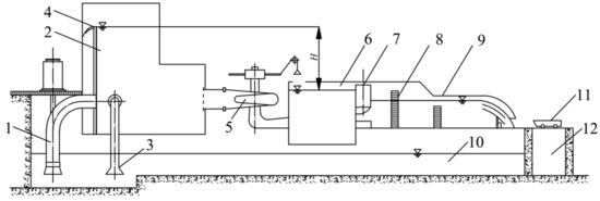
The Influence of Hydraulic Characteristics on Structural Performance in a Pump-Turbine under No-Load Conditions
by Shenming Ren, Yuan Zheng, Cong Yuan, Bin Liu, Emmanuel Fernandez-Rodriguez and Yuquan Zhang
Processes 2023, 11(12), 3422; https://doi.org/10.3390/pr11123422 - 13 Dec 2023
Cited by 3 | Viewed by 1743
Abstract
The operating state of a pump-turbine unit under no-load conditions is directly related to its safe and stable operation. In order to probe into the influence of hydraulic characteristics on structural performance, a pump-turbine assembled in China is selected for research by using [...] Read more.
The operating state of a pump-turbine unit under no-load conditions is directly related to its safe and stable operation. In order to probe into the influence of hydraulic characteristics on structural performance, a pump-turbine assembled in China is selected for research by using CFD (computational fluid dynamics) and unidirectional FSI (fluid–structure interaction) methods. The vortex distribution and the law of pressure pulsation propagation are analyzed to capture the peculiar flow phenomena. The results show that the vortex distribution in the runner channel appears initially at the suction side of the blades but then propagates toward the pressure side with GVO. This produces rotating stall frequencies (0.7fn) and a combination of the RSI, asymmetry of the water ring in vaneless space, and high-amplitude pressure pulsations in the downstream channel close to the runner inlet and elbow section of the draft tube. This, in turn, is associated with the structural stress of the runner and guide vane. The stress level of the guide vane becomes alleviated under no-load conditions with large GVO, but the stress distribution of the runner is no longer symmetrical, which aligns with the vortex evolution in the runner passage. The stress concentration that develops further along the blade root increases the structural failure, which is also captured and verified as a crack in the prototype runner. The phenomena suggest that the RPT should avoid operating under no-load conditions with large GVO as far as possible. Therefore, in the design or optimization of the pump-turbine unit, the structures of the guide vanes and runner could be treated as a whole to investigate the resulting internal flow and structure characteristics. Full article
(This article belongs to the Special Issue CFD Applications in Energy Engineering Research and Simulation)
Show Figures

Figure 1

21 pages, 7490 KB  
Article
Analysis of the Complex Three-Dimensional Flow Structure in the Circulation Pump of the Flow-Making System Based on Delayed Detached Eddy Simulation
by Zhong Li, Lei Ding, Weifeng Gong, Dan Ni, Cunzhi Ma and Yanna Sun
Energies 2023, 16(15), 5643; https://doi.org/10.3390/en16155643 - 27 Jul 2023
Viewed by 1457
Abstract
As the core component of the flow-making system, the circulating pump has differences in its internal flow structure under different operating conditions, which affects the flow quality of the environmental simulation test area and the authenticity of marine environmental simulation. To explore the [...] Read more.
As the core component of the flow-making system, the circulating pump has differences in its internal flow structure under different operating conditions, which affects the flow quality of the environmental simulation test area and the authenticity of marine environmental simulation. To explore the internal flow characteristics and outlet evolution characteristics of the circulating pump, this paper uses the DDES (delayed detached eddy simulation) method for numerical simulation. This paper combines BVF (boundary vorticity flow) diagnosis and the limit streamline method to analyze the evolution characteristics of the unstable flow area on the blade surface; it uses the Q criterion to identify the vortex structure inside the pump and analyze its evolution and development laws. Additionally, a quantitative analysis of the flow state of the circulating pump using flow uniformity indexes is performed. The results show that the surface of impeller blades is uniform under 1.0 QN. At 0.7 QN, the evolution process of the blade suction surface BVF is periodic, with a corresponding period of about 2/9 T (0.02 s). At 1.0 QN, the strength and scale of the separated vortices inside the guide vanes are minimized compared to other flow rates, and the scale and strength of the vortices show a decreasing trend along the outer normal direction. The evolution period of the separation vortex on the pressure surface of the guide vane is about 1/3 T (0.033 s) under 1.1 QN and the evolution period of the suction surface of the guide vane is about 2/3 T (0.067 s) under 0.7 QN. The flow uniformity indexes value downstream of the pump outlet under 1.0 QN are very close to the ideal value; with a corresponding value of Ϛi = 0.023, θ¯ = 89.94°, γ = 0.95, λ = 97.9%, the outflow can be approximately regarded as axial uniform flow. The research results can provide theoretical support for the further optimization design of circulating pumps and lay the foundation for the implementation of real systems. Full article
(This article belongs to the Special Issue Complex Flow in Fluid Machinery)
Show Figures

Figure 1

12 pages, 5662 KB  
Article
Study on the Effect of the Guide Vane Opening on the Band Clearance Sediment Erosion in a Francis Turbine
by Xijie Song, Xuhui Zhou, Huating Song, Jianhua Deng and Zhengwei Wang
J. Mar. Sci. Eng. 2022, 10(10), 1396; https://doi.org/10.3390/jmse10101396 - 30 Sep 2022
Cited by 9 | Viewed by 2545
Abstract
Sediment erosion is a negative phenomenon for the water turbine. The purpose of this paper is to study the effect of the guide vane opening on the particle motion and sediment erosion in the band chamber using the Euler–Lagrangian approach. The software Ansys [...] Read more.
Sediment erosion is a negative phenomenon for the water turbine. The purpose of this paper is to study the effect of the guide vane opening on the particle motion and sediment erosion in the band chamber using the Euler–Lagrangian approach. The software Ansys CFX and Tabakoff erosion model are used to simulate the sediment laden flow in the full flow passage of the hydraulic turbine. The results are in good agreement with the actual erosion character on site. Results show that the guide vane opening has a positive correlation with the flow in the non-clearance channel. The increase of the guide vane opening will increase the erosion of the runner blade head, but the friction wear on the outlet side of the blade surface will decrease. The rotating action of the runner makes the sediment particles in the band chamber rotate rapidly around the center of the runner and constantly collide with the band chamber wall. Under the small opening, the smaller the opening, the easier the leakage of the band clearance occurs. The unsteady flow in the band chamber will disturb the motion trajectory of particles, change the impact angle of particles, and affect the wear in the band chamber. Under different openings, the change law of the erosion in the band clearance is closely related to the change law of clearance leakage. Full article
(This article belongs to the Section Marine Energy)
Show Figures

Figure 1

18 pages, 8773 KB  
Article
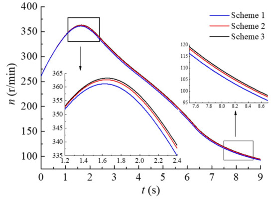
Load Rejection Transient Process Simulation of a Kaplan Turbine Model by Co-Adjusting Guide Vanes and Runner Blades
by Huixiang Chen, Daqing Zhou, Yuan Zheng, Shengwen Jiang, An Yu and You Guo
Energies 2018, 11(12), 3354; https://doi.org/10.3390/en11123354 - 30 Nov 2018
Cited by 26 | Viewed by 5110
Abstract
To obtain the flow mechanism of the transient characteristics of a Kaplan turbine, a three-dimensional (3-D) unsteady, incompressible flow simulation during load rejection was conducted using a computational fluid dynamics (CFD) method in this paper. The dynamic mesh and re-meshing methods were performed [...] Read more.
To obtain the flow mechanism of the transient characteristics of a Kaplan turbine, a three-dimensional (3-D) unsteady, incompressible flow simulation during load rejection was conducted using a computational fluid dynamics (CFD) method in this paper. The dynamic mesh and re-meshing methods were performed to simulate the closing process of the guide vanes and runner blades. The evolution of inner flow patterns and varying regularities of some parameters, such as the runner rotation speed, unit flow rate, unit torque, axial force, and static pressure of the monitored points were revealed, and the results were consistent with the experimental data. During the load rejection process, the guide vane closing behavior played a decisive role in changing the external characteristics and inner flow configurations. In this paper, the runner blades underwent a linear needle closure law and guide vanes operated according to a stage-closing law of “first fast, then slow,” where the inflection point was t = 2.3 s. At the segment point of the guide vane closing curve, a water hammer occurs between guide vanes and a large quantity of vortices emerged in the runner and the draft tube. The pressure at the measurement points changes dramatically and the axial thrust rises sharply, marking a unique time in the transient process. Thus, the quality of a transient process could be effectively improved by properly setting the location of segmented point. This study conducted a dynamic simulation of co-adjustment of the guide vanes and the blades, and the results could be used in fault diagnosis of transient operations at hydropower plants. Full article
(This article belongs to the Section A: Sustainable Energy)
Show Figures

Figure 1

22 pages, 7654 KB  
Article
Numerical Study on the Internal Flow Field of a Reversible Turbine during Continuous Guide Vane Closing
by Xiuli Mao, Andrea Dal Monte, Ernesto Benini and Yuan Zheng
Energies 2017, 10(7), 988; https://doi.org/10.3390/en10070988 - 13 Jul 2017
Cited by 18 | Viewed by 5958
Abstract
The unsteady flow field in a reversible pump-turbine is investigated during the continuous load rejection using a 3D computational fluid dynamic analysis. Numerical calculations are carried out using the detached eddy simulation (DES) turbulence model and a new approach involving automatic mesh motion. [...] Read more.
The unsteady flow field in a reversible pump-turbine is investigated during the continuous load rejection using a 3D computational fluid dynamic analysis. Numerical calculations are carried out using the detached eddy simulation (DES) turbulence model and a new approach involving automatic mesh motion. In this way, the instability of the flow field is analyzed by continuously changing the guide vane openings from the best efficiency point (BEP). Unsteady flow characteristics are described by post-processing signals for several monitoring points including mass flow, torque, head and pressure in the frequency and time-frequency domains. The formation of vortices of different scales is observed from the origin to further enlargement and stabilization; the effect of the rotating structures on the flow passage is analyzed, and the influence of unsteady flow development on the performance of the turbine is investigated. Finally, the evolution during the period of load rejection is characterized in order to determine the hydrodynamic conditions causing the vibrations in the machine. Full article
(This article belongs to the Section D: Energy Storage and Application)
Show Figures

Figure 1

Back to TopTop