Sign in to use this feature.

Years

Between: -

Subjects

remove_circle_outline
remove_circle_outline
remove_circle_outline
remove_circle_outline
remove_circle_outline
remove_circle_outline

Journals

Article Types

Countries / Regions

Search Results (6)

Search Parameters:
Keywords = gluability

Order results
Result details
Results per page
Select all
Export citation of selected articles as:
18 pages, 5638 KB  
Article
Gluability of Thermally Modified Aspen, Birch, and Poplar Rotary Cut Veneers with Suberinic Acids Adhesive
by Anete Meija, Uldis Spulle, Luize Ramata, Ignazia Cuccui, Ottaviano Allegretti, Aigars Paze and Janis Rizikovs
Sustainability 2025, 17(5), 1990; https://doi.org/10.3390/su17051990 - 26 Feb 2025
Viewed by 793
Abstract
The eco-friendly lifestyle has gained traction at individual and industrial levels, especially following Europe’s “Green Deal”. While the woodworking industry in Latvia has made strides toward waste-free production, wood processing still produces by-products that require effective utilization. Instead of burning these residues for [...] Read more.
The eco-friendly lifestyle has gained traction at individual and industrial levels, especially following Europe’s “Green Deal”. While the woodworking industry in Latvia has made strides toward waste-free production, wood processing still produces by-products that require effective utilization. Instead of burning these residues for energy, a sustainable option is repurposing birch bark into suberinic acids adhesive, which is environmentally friendly and safe for humans. Research shows that thermally modified aspen, birch, and poplar veneers treated using the Termovuoto process at 160 °C/50 min, 204 °C/120 min, 214 °C/120 min, 217 °C/180 min, and 218 °C/30 min can be bonded with this adhesive and meet the EN 314-2:1993 standard for outdoor applications classified as Class 3 bonding. However, hydrothermally modified veneers treated at 160 °C 50 min do not bond successfully, failing to meet Class 3 requirements. Full article
(This article belongs to the Section Energy Sustainability)
Show Figures

Figure 1

13 pages, 1001 KB  
Article
Adhesive Bonding of Scots Pine Wood from the Szczecinek Forest District for the Production of Garden Equipment: An Experimental Investigation
by Tomasz Krystofiak, Barbara Lis and Cezary Beker
Materials 2022, 15(24), 8994; https://doi.org/10.3390/ma15248994 - 16 Dec 2022
Viewed by 1864
Abstract
This work aimed to determine the gluability of pressure-impregnated pine wood with two protection agents used in production technologies for garden equipment and their effect on the strength, water resistance and thermal resistance of joints, as well as their susceptibility to aging. The [...] Read more.
This work aimed to determine the gluability of pressure-impregnated pine wood with two protection agents used in production technologies for garden equipment and their effect on the strength, water resistance and thermal resistance of joints, as well as their susceptibility to aging. The tests were carried out on Scots pine wood (Pinus sylvestris L.) purchased from the forest districts of the Regional Directorate of State Forests in Szczecinek town, Poland. For the impregnation, two commercial protection agents were used. The pressure impregnation of the elements and gluing with the PUR adhesive were carried out by a garden furniture manufacturer. The strength and durability after aging tests of glued joints were performed in accordance with the procedure described in Technical Approval No. AT-15-2948/00 and the PN-EN ISO 9142 standard. The collected experimental data can be used in technological solutions, mainly for processes which involve gluing wood after impregnation. Full article
(This article belongs to the Special Issue Trends on the Wood Materials and Technologies)
Show Figures

Figure 1

14 pages, 3253 KB  
Commentary
Barriers to the Effective Adhesion of High-Density Hardwood Timbers for Glue-Laminated Beams in Australia
by William Leggate, Robert L. McGavin, Andrew Outhwaite, Benoit P. Gilbert and Shanmuganathan Gunalan
Forests 2022, 13(7), 1038; https://doi.org/10.3390/f13071038 - 1 Jul 2022
Cited by 15 | Viewed by 3777
Abstract
A number of international timbers of high commercial importance are extremely difficult to glue, which is significantly hindering access to global market opportunities for engineered wood products, especially for heavily demanded structural products. Some particularly problematic timbers in Australia are the dominant commercial [...] Read more.
A number of international timbers of high commercial importance are extremely difficult to glue, which is significantly hindering access to global market opportunities for engineered wood products, especially for heavily demanded structural products. Some particularly problematic timbers in Australia are the dominant commercial hardwood species, including spotted gum (Corymbia spp.) and Darwin stringybark (Eucalyptus tetrodonta). These species are renowned for their very high mechanical properties, natural durability and attractive aesthetic appeal. However, they are notoriously difficult to glue, especially for sawn laminate-based engineered wood products, such as structural glue-laminated beams. Despite considerable effort and testing of diverse internationally established best-practice approaches to improve adhesion, glue-laminated beam samples of these timbers still frequently fail to meet the requirements of the relevant standard, mainly due to excessive glue line delamination. This paper discusses the key barriers to effective adhesion of these high-density timbers and particularly emphasises the necessity of achieving greater adhesive penetration. Greater adhesive penetration is required to enhance mechanical interlocking, entanglement and molecular interactions between the adhesive and the wood to achieve stronger and more durable bonds. Potential solutions to enhance adhesive penetration, as well as to improve gluability in general, are discussed in terms of their likelihood to satisfactorily prevent delamination and the potential to be applied at an industrial scale. This new fundamental understanding will assist the development of solutions, allowing industry to commercialise newly engineered wood products made from high-density timbers. Full article
(This article belongs to the Special Issue Innovations in the Development of Sustainable Timber Products)
Show Figures

Figure 1

15 pages, 6552 KB  
Article
Surfactant-Induced Reconfiguration of Urea-Formaldehyde Resins Enables Improved Surface Properties and Gluability of Bamboo
by Lulu Liang, Yu Zheng, Yitian Wu, Jin Yang, Jiajie Wang, Yingjie Tao, Lanze Li, Chaoliang Ma, Yajun Pang, Hao Chen, Hongwei Yu and Zhehong Shen
Polymers 2021, 13(20), 3542; https://doi.org/10.3390/polym13203542 - 14 Oct 2021
Cited by 4 | Viewed by 3233
Abstract
The high-efficiency development and utilization of bamboo resources can greatly alleviate the current shortage of wood and promote the neutralization of CO2. However, the wide application of bamboo-derived products is largely limited by their unideal surface properties with adhesive as well [...] Read more.
The high-efficiency development and utilization of bamboo resources can greatly alleviate the current shortage of wood and promote the neutralization of CO2. However, the wide application of bamboo-derived products is largely limited by their unideal surface properties with adhesive as well as poor gluability. Herein, a facile strategy using the surfactant-induced reconfiguration of urea-formaldehyde (UF) resins was proposed to enhance the interface with bamboo and significantly improve its gluability. Specifically, through the coupling of a variety of surfactants, the viscosity and surface tension of the UF resins were properly regulated. Therefore, the resultant surfactant reconfigured UF resin showed much-improved wettability and spreading performance to the surface of both bamboo green and bamboo yellow. Specifically, the contact angle (CA) values of the bamboo green and bamboo yellow decreased from 79.6° to 30.5° and from 57.5° to 28.2°, respectively, with the corresponding resin spreading area increasing from 0.2 mm2 to 7.6 mm2 and from 0.1 mm2 to 5.6 mm2. Moreover, our reconfigured UF resin can reduce the amount of glue spread applied to bond the laminated commercial bamboo veneer products to 60 g m−2, while the products prepared by the initial UF resin are unable to meet the requirements of the test standard, suggesting that this facile method is an effective way to decrease the application of petroleum-based resins and production costs. More broadly, this surfactant reconfigured strategy can also be performed to regulate the wettability between UF resin and other materials (such as polypropylene board and tinplate), expanding the application fields of UF resin. Full article
(This article belongs to the Special Issue Eco Polymeric Materials and Natural Polymer)
Show Figures

Graphical abstract

11 pages, 981 KB  
Article
Characterization and Performance of Soy-Based Adhesives Cured with Epoxy Resin
by Nairong Chen, Peitao Zheng, Qinzhi Zeng, Qiaojia Lin and Jiuping Rao
Polymers 2017, 9(10), 514; https://doi.org/10.3390/polym9100514 - 16 Oct 2017
Cited by 61 | Viewed by 6703
Abstract
Soy-based adhesives have attracted much attention recently because they are environmentally safe, low cost, and readily available. To improve the gluability and water resistance of soy-based adhesives, we prepared an enzyme-treated soy-based adhesive modified with an epoxy resin. We investigated the wet shear [...] Read more.
Soy-based adhesives have attracted much attention recently because they are environmentally safe, low cost, and readily available. To improve the gluability and water resistance of soy-based adhesives, we prepared an enzyme-treated soy-based adhesive modified with an epoxy resin. We investigated the wet shear strength of plywood bonded with the modified adhesive using the boiling-water test. Fourier transformed infrared spectroscopy (FTIR) and 1H nuclear magnetic resonance analysis were used to characterize the reaction between epoxy groups and –NH2 groups in the modified soy-based adhesives. FTIR analysis confirmed the cross-linking structure in the cured adhesives. Viscosity and the solid content of soy-based adhesives gradually increased with the increasing amount of epoxy resin, but had little effect on its operability. Wet shear strength of plywood samples increased as the amount of epoxy resin was increased, whereas the inverse trend was observed regarding the water absorption of cured adhesives. Compared to an unmodified adhesive, the addition of 30% of epoxy resin increased the wet shear strength of plywood samples by 58.3% (0.95 MPa), meeting the requirement of the Chinese National Standard for exterior plywood. Differential scanning calorimetry and thermogravimetric analysis showed the improved thermostability of the cured adhesives after curing at 160 °C. These results suggest that epoxy resin could effectively improve the performance of enzyme-treated soy-based adhesives, which might provide a new option for the preparation of soy-based adhesives with high gluability and water resistance. Full article
(This article belongs to the Collection Polymeric Adhesives)
Show Figures

Figure 1

12 pages, 12762 KB  
Article
Development of Defatted Soy Flour-Based Adhesives by Acid Hydrolysis of Carbohydrates
by Peitao Zheng, Yuqi Li, Feng Li, Yangting Ou, Qiaojia Lin and Nairong Chen
Polymers 2017, 9(5), 153; https://doi.org/10.3390/polym9050153 - 25 Apr 2017
Cited by 37 | Viewed by 7519
Abstract
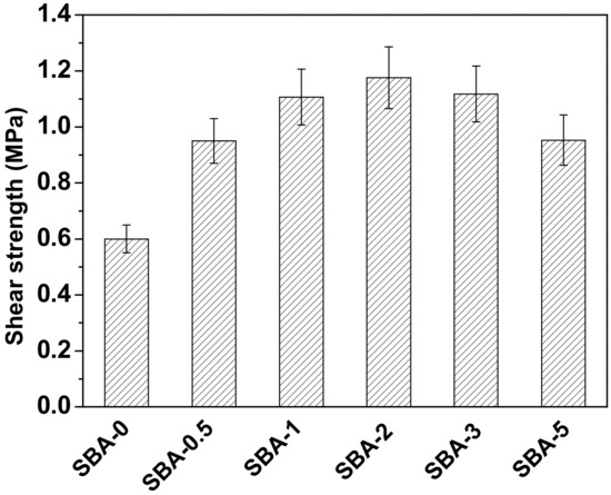
Soy-based adhesives are attracting increasing attention in recent years because they are a renewable and environmentally friendly raw material. Defatted soy flour (DSF), comprised of 50% protein and 40% carbohydrate, is the most widely used raw material for the preparation of soy-based adhesives [...] Read more.
Soy-based adhesives are attracting increasing attention in recent years because they are a renewable and environmentally friendly raw material. Defatted soy flour (DSF), comprised of 50% protein and 40% carbohydrate, is the most widely used raw material for the preparation of soy-based adhesives that are unfortunately hampered by poor gluability and water resistance. In the present study, we developed a self-crosslinking approach to prepare a formaldehyde-free defatted soy flour-based adhesive (SBA). Carbohydrates in the DSF were hydrolyzed with 0% (controls), 0.5%, 1.0%, 2.0%, 3.0% and 5.0% hydrochloric acid, and cross-linked with proteins to prepare the SBA. The effect of hydrolyzed carbohydrates on the performance of the SBA was investigated, and hydrolyzed carbohydrates significantly increased the amount of reducing sugars, but decreased insoluble substances. Fourier transform infrared spectroscopy (FTIR) and X-ray photoelectron spectroscopy (XPS) analyses revealed an enhanced cross-linking structure with fewer hydrophilic groups in cured SBAs. Maillard reactions between hydrolyzed carbohydrates and proteins resulted in SBAs with better gluability, rheological properties and thermal stability than controls. Scanning electron microscopy (SEM) images showed that plywood bonded with SBA had a higher wood failure rate than controls. This approach has potential for preparing bio-adhesives with enhanced properties from other natural resources with a similar polysaccharides and protein composition. Full article
Show Figures

Figure 1

Back to TopTop