Sign in to use this feature.

Years

Between: -

Subjects

remove_circle_outline
remove_circle_outline
remove_circle_outline
remove_circle_outline
remove_circle_outline
remove_circle_outline
remove_circle_outline
remove_circle_outline
remove_circle_outline

Journals

Article Types

Countries / Regions

Search Results (46)

Search Parameters:
Keywords = fraying

Order results
Result details
Results per page
Select all
Export citation of selected articles as:
14 pages, 1977 KB  
Article
Spectroscopic Investigations of Diethanolamine-Modified Nucleic Acids
by Tabea Lenz and Marian Hebenbrock
AppliedChem 2025, 5(4), 40; https://doi.org/10.3390/appliedchem5040040 - 15 Dec 2025
Viewed by 16
Abstract
To develop a modifier based on diethanolamine, a corresponding phosphoramidite for automated solid-phase deoxyribonucleic acid synthesis was synthesized. The influence of this modifier on the thermal stability of the terminally modified nucleic acids showed a dependence on the neighboring nucleobases and could be [...] Read more.
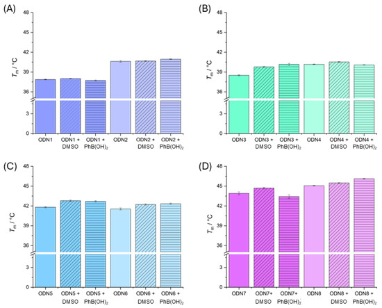
To develop a modifier based on diethanolamine, a corresponding phosphoramidite for automated solid-phase deoxyribonucleic acid synthesis was synthesized. The influence of this modifier on the thermal stability of the terminally modified nucleic acids showed a dependence on the neighboring nucleobases and could be attributed to the fraying of the DNA ends. The potential for modification with dioxazaborocanes was first investigated using a small molecule model, and the formation of the dioxazaborocane was confirmed both in solution and in the solid state. Such a modification could expand the scope of xenonucleic acids in the future and modulate the properties of nucleic acids in solution. The influence on the thermal stability of the modified nucleic acids was minimal. In the future, this modification will be extended to internal incorporation and the potential of dioxazaborocanes in the nucleic acid context will be further exploited. Full article
Show Figures

Figure 1

17 pages, 1063 KB  
Article
In More Than Words: Ecopoetic Hybrids with Visual and Musical Arts
by Lynn Keller
Humanities 2025, 14(7), 145; https://doi.org/10.3390/h14070145 - 8 Jul 2025
Viewed by 1605
Abstract
While poetry has long relied on musical and visual elements for its communicative power, numerous contemporary poets are drawing so dramatically on the resources of the visual arts and on elements of musical scoring that their poems become inter-arts hybrids. The interdisciplinary character [...] Read more.
While poetry has long relied on musical and visual elements for its communicative power, numerous contemporary poets are drawing so dramatically on the resources of the visual arts and on elements of musical scoring that their poems become inter-arts hybrids. The interdisciplinary character of environmental writing and its attachment to material conditions of planetary life particularly invite the use of visual and/or audio technologies as documentation or as prompts toward multisensory attention that may shift readers’ perceptions of the more-than-human world. This essay examines four recent works of ecopoetry from the US to explore some of the diverse ways in which, by integrating into volumes of poetry their own visual and musical art, poets are expanding the environmental imagination and enhancing their environmental messaging. The visual and musical elements, I argue, offer fresh perceptual lenses that help break down cognitive habits bolstering separations of Western humans from more-than-human realms or dampening awareness of social and cultural norms that foster environmental degradation and violations of environmental justice. The multi-modal works discussed are Jennifer Scappettone’s The Republic of Exit 43, JJJJJerome Ellis’s Aster of Ceremonies, Danielle Vogel’s Edges & Fray, and Jonathan Skinner’s “Blackbird Stanzas.” Full article
(This article belongs to the Special Issue Hybridity and Border Crossings in Contemporary North American Poetry)
Show Figures

Figure 1

13 pages, 208 KB  
Article
Against Erasure: Balam Rodrigo’s Central American Book of the Dead
by Jeannine Marie Pitas
Humanities 2025, 14(7), 139; https://doi.org/10.3390/h14070139 - 3 Jul 2025
Viewed by 950
Abstract
“Know that in place of a heart I carry a tongue,” writes the unnamed poetic speaker of Mexican poet Balam Rodrigo’s Central American Book of the Dead. This documentary poetic text alternates between the voices of Central American immigrants journeying north and [...] Read more.
“Know that in place of a heart I carry a tongue,” writes the unnamed poetic speaker of Mexican poet Balam Rodrigo’s Central American Book of the Dead. This documentary poetic text alternates between the voices of Central American immigrants journeying north and a subtle yet bold revision of Fray Bartolomé de las Casas’s A Brief Account of the Destruction of the Indies, with some words from the Friar’s 1552 text replaced by other words that reflect the realities of twenty-first century immigrants traveling north. Interspersed with de la Casas’s texts are persona poems in which we are invited to listen to the ghosts of immigrants who have suffered tragic deaths. This essay explores the ways that, crossing borders between time and space while drawing strength from his Christian faith, Rodrigo resists the erasure of Indigenous peoples, honors their journeys, and invites readers into solidarity. Full article
(This article belongs to the Special Issue Hybridity and Border Crossings in Contemporary North American Poetry)
12 pages, 241 KB  
Article
Rebeldes con Pausa: Teresa de Jesús, Cervantes, Fray Luis, and the Curious Path to Holiness
by Ana Laguna
Humanities 2025, 14(7), 137; https://doi.org/10.3390/h14070137 - 1 Jul 2025
Viewed by 838
Abstract
Early modern theologians often cast female curiosity as both a moral flaw and an epistemic transgression. Aware of this suspicion, Teresa of Ávila professed to have renounced such dangerous impulses in her youth. Yet the persistent presence of curiosity in her writings suggests [...] Read more.
Early modern theologians often cast female curiosity as both a moral flaw and an epistemic transgression. Aware of this suspicion, Teresa of Ávila professed to have renounced such dangerous impulses in her youth. Yet the persistent presence of curiosity in her writings suggests a strategic redeployment—one that fosters attentiveness and subtly renegotiates ecclesiastical authority as she actively advances reform within the Carmelite order. Through life-writing and scriptural exegesis, Teresa cultivates a disciplined appetite for knowledge: an appetite that outwardly conforms to, yet quietly subverts, doctrinal anxieties surrounding women’s intellectual desires. Her use of curiosidad moves fluidly between sacred and secular registers—sometimes connoting superficial fascination, at other times signaling a deeper, interior restlessness. Resisting reductive interpretation, Teresa reveals a sophisticated and self-aware engagement with a disposition both morally ambiguous and intellectually generative. The same culture that once feared her intellect would ultimately aestheticize it. After her death, Teresa’s relics were fragmented and displayed in Philip II’s Wunderkammer, transforming her once-condemned curiosidad into curiositas, an imperial collectible. Reading Teresa alongside her posthumous interpreters—Fray Luis de León and Miguel de Cervantes—this essay explores how her radical epistemological ambition reverberated through Spanish intellectual culture. Spanning this cultural arc—from sin to spectacle, from forbidden desire to sanctified display—Teresa emerges as a masterful theorist and activist reformer of spiritual authority. In these expansive roles, she reveals the immense and often contradictory power that curiosity wielded in the early modern world. Full article
(This article belongs to the Special Issue Curiosity and Modernity in Early Modern Spain)
12 pages, 1495 KB  
Article
Phenotypes and Genotypes of Children with Vitamin D-Dependent Rickets Type 1A: A Single Tertiary Pediatric Center in Vietnam
by Thi Anh Thuong Tran, Tran Minh Dien, Ngoc Lan Nguyen, Khanh Ngoc Nguyen, Thi Bich Ngoc Can, Bui Phuong Thao, Nguyen Thi Thuy Hong, Van Khanh Tran, Thinh Huy Tran, Ngo Xuan Khoa, Nguyen Thi Kim Lien, Nguyen Thien Tao, Huy Hoang Nguyen and Chi Dung Vu
Diagnostics 2025, 15(7), 918; https://doi.org/10.3390/diagnostics15070918 - 2 Apr 2025
Cited by 1 | Viewed by 1823
Abstract
Background: Vitamin D-dependent rickets type 1A (VDDR1A) is a rare autosomal recessive disorder caused by mutations in the CYP27B1 gene, leading to a deficiency in active vitamin D (1,25-dihydroxyvitamin D). This study examines the genotypic and phenotypic characteristics of VDDR1A in Vietnamese [...] Read more.
Background: Vitamin D-dependent rickets type 1A (VDDR1A) is a rare autosomal recessive disorder caused by mutations in the CYP27B1 gene, leading to a deficiency in active vitamin D (1,25-dihydroxyvitamin D). This study examines the genotypic and phenotypic characteristics of VDDR1A in Vietnamese children. Patients and Methods: A retrospective analysis was conducted on 19 Vietnamese children diagnosed with VDDR1A. Clinical, radiological, biochemical, and molecular data were collected. Rickets Severity Scores (RSSs), biochemical parameters, and height standard deviation scores (HtSDSs) were used to assess the severity of the condition. Results: The study included 19 children from 17 families (ten males and nine females). The median age of rickets diagnosis was 19.2 months, while with VDDR1A, the median time of diagnosis was 7.5 months. Common symptoms among the children included thickened wrists and ankles (19/19), genu varum or genu valgum (18/19), failure to thrive (18/19), rachitic rosary (12/19), and delayed walking (11/19). The radiographic features showed that all children had cupping, splaying, and fraying, twelve children had rachitic rosary, and six exhibited pseudofractures. The biochemical findings showed severe hypocalcemia, normal or mildly low serum phosphate, elevated alkaline phosphatase and parathyroid hormone levels, and normal serum 25-hydroxyvitamin D levels. Genetic analysis identified biallelic CYP27B1 variants, including one known pathogenic frameshift mutation, c.1319_1325dup p.(Phe443Profs*24), one novel likely pathogenic missense variant, c.616C>T p.(Arg206Cys), and one novel pathogenic frameshift mutation, c.96_97del p.(Ala33Thrfs*299). The c.1319_1325dup p.(Phe443Profs*24) variant was the most common, present in 18 out of 19 children. Conclusions: The children with VDDR1A in this study presented with growth failure and skeletal deformities. Key findings included severe hypocalcemia, elevated alkaline phosphatase and parathyroid hormone levels, normal or elevated 25(OH)D, and high RSSs. Predominant frameshift mutations in CYP27B1, especially c.1319_1325dup, highlighted the importance of early genetic diagnosis for optimal management. Additionally, two novel CYP27B1 variants were identified, expanding the known mutation spectrum of VDDR1A. Full article
(This article belongs to the Special Issue Diagnosis and Management of Metabolic Bone Diseases: 2nd Edition)
Show Figures

Figure 1

21 pages, 320 KB  
Article
Fray Luis de León and the Crypto-Jewish Context of Antonio Enríquez Gómez’s El Noble Siempre es Valiente
by Alexander John McNair
Religions 2025, 16(2), 102; https://doi.org/10.3390/rel16020102 - 21 Jan 2025
Viewed by 2458
Abstract
The plays written by Fernando de Zárate, alias of the Crypto-Jewish poet Antonio Enríquez Gómez (1600–1663), appear on the surface to be militantly Catholic. Critics have struggled to reconcile the vision of the ‘Zárate’ plays, written in Seville after Enríquez’s clandestine return from [...] Read more.
The plays written by Fernando de Zárate, alias of the Crypto-Jewish poet Antonio Enríquez Gómez (1600–1663), appear on the surface to be militantly Catholic. Critics have struggled to reconcile the vision of the ‘Zárate’ plays, written in Seville after Enríquez’s clandestine return from exile (c. 1650), with the poems and treatises he penned in France (1636–1649), which were harshly critical of the Inquisition and Spanish notions of blood purity. One such play, El noble siempre es valiente [The nobleman is always brave], survives in an autograph manuscript from 1660. Written only months before the Inquisition identified and arrested Enríquez, the play became the most popular stage version of the epic hero El Cid in the eighteenth century, when it circulated under the titles El Cid Campeador and Vida y muerte del Cid [Life and death of El Cid]. The work stages the triumph of Spanish Christianity over Islam and appears to advocate an implacably bellicose ethos. This essay, however, interprets the play in the context of Enríquez’s exile writing, with specific focus on the influence of another erstwhile victim of the Inquisition, Fray Luis de León (1527–1591), whose works were found in the private libraries of Crypto-Jewish families. Full article
15 pages, 3374 KB  
Article
Reinforcing Bus Living Space with Recycled Carbon Fibers from Expired Prepreg in the Aircraft Industry
by Miguel Angel Martínez, Daniel Lavayen-Farfán, Juana Abenojar, María Jesús López-Boada and Daniel García-Pozuelo
Materials 2024, 17(23), 5958; https://doi.org/10.3390/ma17235958 - 5 Dec 2024
Cited by 2 | Viewed by 1282
Abstract
Due to increasing mobility and energy conservation needs, improving bus and coach safety without adding weight is essential. Many crashes with fatal outcomes for vehicle occupants are associated with the rollover of the vehicle, revealing the structural weakness of the steel pillars between [...] Read more.
Due to increasing mobility and energy conservation needs, improving bus and coach safety without adding weight is essential. Many crashes with fatal outcomes for vehicle occupants are associated with the rollover of the vehicle, revealing the structural weakness of the steel pillars between windows, which must resist high levels of bending during rollovers. This study aims to reinforce these pillars with expired carbon fiber prepreg from the aircraft industry, improving safety and reducing environmental waste. To manufacture the pillars, shot-blasted hollow S275 steel tubes with a side length of 25 mm and a thickness of 1.5 mm were used. Bidirectional GG600T woven carbon fiber, CF, and aircraft-grade recycled carbon fiber-reinforced plastic, rCFRP, prepreg M21EV/IMA/3 were used as composite reinforcements. The first composite was made from a CF weave using the rigid epoxy resin Sicomin® 8500/Sicomin® SD8601. The rCFRP composite was frayed, and a new composite was made with the same rigid epoxy resin. Both composites were joined to the steel tube using a tough structural adhesive (SikaPower® 1277). A third composite was obtained using the frayed rCFRP and the structural adhesive as a polymer matrix. All composites were treated with an APPT (atmospheric-pressure plasma torch) before being joined to the steel pillar with the structural adhesive. The comparison of the three reinforcements showed that the steel reinforced with the recycled prepreg composite manufactured with the rigid adhesive performed best, with a 50% increase in specific bending strength and only a 32% increase in weight. It also absorbed 71% more energy, which shows that this novel option for upcycling can noticeably increase the crashworthiness of structures. Full article
Show Figures

Graphical abstract

14 pages, 3603 KB  
Article
Preparation of Titanium Metal by Deoxygenation Under KCl-NaCl-YCl3 System Using Soluble Anode
by Tianzhu Mu, Fuxing Zhu, Yan Zhao, Haoyu Fang, Haohang Ji and Lei Gao
Metals 2024, 14(11), 1288; https://doi.org/10.3390/met14111288 - 14 Nov 2024
Cited by 1 | Viewed by 1594
Abstract
Titanium metal is primarily produced via the Kroll process, which is characterized by a semi-continuous production flow and a lengthy process cycle, resulting in high production costs. Researchers have explored alternative methods for titanium production, including molten salt electrolysis, such as the Fray–Farthing–Chen [...] Read more.
Titanium metal is primarily produced via the Kroll process, which is characterized by a semi-continuous production flow and a lengthy process cycle, resulting in high production costs. Researchers have explored alternative methods for titanium production, including molten salt electrolysis, such as the Fray–Farthing–Chen (FFC), Ono Suzuki (OS), and University of Science and Technology Beijing (USTB) processes, aiming to achieve more economical production. Among these, the USTB process, a representative of soluble anode electrolysis, has shown significant promise. However, controlling oxygen concentration in titanium produced by soluble anode electrolysis remains a challenge. This study proposes a novel approach to enhance deoxidation efficiency in soluble anode electrolysis for titanium production by introducing yttrium chloride (YCl3) into the molten salt electrolyte. Thermodynamic analysis and experimental validation demonstrate that the theoretical deoxidation limit for titanium can reach below 100 ppm under Y/YOCl/YCl3 equilibrium. We report the successful synthesis of titanium powder with an oxygen concentration of 6000 ppm from titanium-carbon-oxygen solid solution. Under optimized conditions, the purity of the titanium powder reached 99.42%, demonstrating a new approach for producing high-purity titanium. This method, based on soluble anode electrolysis, offers a potential alternative to the conventional Kroll process. The research elucidates the fabrication process and analytical methods for titanium-carbon-oxygen solid solution, and employs a combination of analytical techniques, including XRD, SEM-EDS, and ONH Analyzer, for characterization of the electrolytic product, encompassing phase analysis, microstructure, and oxygen concentration testing. Full article
(This article belongs to the Special Issue Metallurgy Investigation in Nonferrous Metal Smelting)
Show Figures

Figure 1

16 pages, 1393 KB  
Article
Antinociceptive Behavior, Glutamine/Glutamate, and Neopterin in Early-Stage Streptozotocin-Induced Diabetic Neuropathy in Liraglutide-Treated Mice under a Standard or Enriched Environment
by Pavlina Gateva, Milen Hristov, Natasha Ivanova, Debora Vasileva, Alexandrina Ivanova, Zafer Sabit, Todor Bogdanov, Sonia Apostolova and Rumiana Tzoneva
Int. J. Mol. Sci. 2024, 25(19), 10786; https://doi.org/10.3390/ijms251910786 - 8 Oct 2024
Cited by 6 | Viewed by 2147
Abstract
Diabetic neuropathy (DN) is a common complication of long-lasting type 1 and type 2 diabetes, with no curative treatment available. Here, we tested the effect of the incretin mimetic liraglutide in DN in mice with early-stage type 1 diabetes bred in a standard [...] Read more.
Diabetic neuropathy (DN) is a common complication of long-lasting type 1 and type 2 diabetes, with no curative treatment available. Here, we tested the effect of the incretin mimetic liraglutide in DN in mice with early-stage type 1 diabetes bred in a standard laboratory or enriched environment. With a single i.p. injection of streptozotocin 150 mg/kg, we induced murine diabetes. Liraglutide (0.4 mg/kg once daily, i.p. for ten days since the eighth post-streptozotocin day) failed to decrease the glycemia in the diabetic mice; however, it alleviated their antinociceptive behavior, as tested with formalin. The second phase of the formalin test had significantly lower results in liraglutide-treated mice reared in the enriched environment vs. liraglutide-treated mice under standard conditions [2.00 (0.00–11.00) vs. 29.00 (2.25–41.50) s, p = 0.016]. Liraglutide treatment, however, decreased the threshold of reactivity in the von Fray test. A significantly higher neopterin level was demonstrated in the diabetic control group compared to treatment-naïve controls and the liraglutide-treated diabetic mice (p < 0.001). The glutamine/glutamate ratio in both liraglutide-treated groups, either reared under standard conditions (p = 0.003) or an enriched environment (p = 0.002), was significantly higher than in the diabetic controls. This study demonstrates an early liraglutide effect on pain sensation in two streptozotocin-induced diabetes mouse models by reducing some inflammatory and oxidative stress parameters. Full article
(This article belongs to the Special Issue Neurodegeneration: From Genetics to Molecules—2nd Edition)
Show Figures

Figure 1

19 pages, 7940 KB  
Article
Molecular and Physiological Responses of Toona ciliata to Simulated Drought Stress
by Linxiang Yang, Peixian Zhao, Xiaobo Song, Yongpeng Ma, Linyuan Fan, Meng Xie, Zhilin Song, Xuexing Zhang and Hong Ma
Horticulturae 2024, 10(10), 1029; https://doi.org/10.3390/horticulturae10101029 - 27 Sep 2024
Cited by 5 | Viewed by 1495
Abstract
Drought stress, as one of the most common environmental factors, seriously affects seed- ling establishment as well as plant growth and productivity. The growth of Toona ciliata is constrained by soil moisture deficit, and drought stress can reduce its productivity and limit its [...] Read more.
Drought stress, as one of the most common environmental factors, seriously affects seed- ling establishment as well as plant growth and productivity. The growth of Toona ciliata is constrained by soil moisture deficit, and drought stress can reduce its productivity and limit its suitable growing environment. To explore the molecular mechanism of Toona ciliata responding to drought stress, leaves of two-year-old Toona ciliata seedlings were used as experimental materials for transcriptome sequencing and physiological index measurements. Under drought stress, the contents of Chl, MDA, POD, SP, SS, and RWC all change differently. We performed transcriptome sequencing, obtaining 4830 differential genes. The enrichment analysis indicates that the primary effects on the leaves of Toona ciliata under drought stress are related to photosynthesis and responses to plant hormone signal transduction. Transcription factor families associated with drought resistance include the NAC, WRKY, bZIP, bHLH, AP2-EREBP, C3H, GRAS, and FRAI transcription factor families. A weighted gene co-expression network analysis (WGCNA) analysis successfully identified 10 hub genes in response to drought stress in Toona ciliata leaves. Real-time quantitative PCR (RT-qPCR) validated the reliability of the transcriptomic data, and the analysis of its results showed a close correlation with the data obtained from RNA-seq. This study clarifies the transcriptional response of Toona ciliata to drought stress, contributing to the revelation of the molecular mechanisms of drought adaptation. Full article
Show Figures

Figure 1

18 pages, 9640 KB  
Article
Processing of Layered Composite Products Manufactured on the Basis of Bioresin Reinforced with Flax Fabric Using Milling Technology
by Wiesław Frącz, Grażyna Ryzińska, Leszek Skoczylas, Łukasz Bąk and Grzegorz Janowski
Materials 2024, 17(18), 4528; https://doi.org/10.3390/ma17184528 - 14 Sep 2024
Viewed by 1127
Abstract
In this work, a laminate based on bioresin and natural fibers was produced. Flax fabric was selected as the natural fiber. The biocomposite was subjected to strength tests. Stress–strain characteristics and strength indicators were determined. The workability of the laminate produced was also [...] Read more.
In this work, a laminate based on bioresin and natural fibers was produced. Flax fabric was selected as the natural fiber. The biocomposite was subjected to strength tests. Stress–strain characteristics and strength indicators were determined. The workability of the laminate produced was also tested using milling technology. The tests were carried out using five carbide shank cutters for different purposes. The cutters with the geometry used in the processing of polymer materials and composites, general purpose cutters, and cutters with the geometry for aluminum and with different numbers of blades were analyzed. In order to obtain information on the workability of the prepared material, machining tests with different configurations of technological parameters were carried out. For each cutter, the effect of cutting speed and feed rate on the quality of the machined surface was tested. Due to the small thickness of the laminate, the machining was carried out in one pass, as a result of which the cutting depth in each case was constant. Changes in cutting speed and feed were evenly distributed over five levels. The quality of machining was assessed in two stages. The first stage included a visual assessment of the machined surface, involving a preliminary qualification of the machining parameters. The criterion was the amount of chips, frays, burrs, etc., remaining after machining that adhered to the surface. The next stage was the measurement of the geometric structure of the surface, during which the roughness parameters were analyzed using an optical microscope with a roughness analysis attachment. Quantitative analysis was performed for the best quality composite surfaces from each measurement series. The studies showed a dependence of the quality of machining on the technological parameters used. High tool speed, regardless of the type, especially at low feed, led to the sticking of chips, which had a very delicate form. In turn, low tool speed and high feed, due to the chip thickness, favored the formation of burrs. Machining with different types of tools showed that the process progresses better for tools with sharp blade geometry. Machining with a regular and polished cutter did not show any differences in the scope of the process progress. Full article
Show Figures

Figure 1

14 pages, 6849 KB  
Article
Reconfigurable Low-Power CMOS Amplifier Stages for Broadband Impedance Spectroscopy
by Jorge Pérez-Bailón, Belén Calvo-López and Nicolás Medrano
Electronics 2024, 13(9), 1674; https://doi.org/10.3390/electronics13091674 - 26 Apr 2024
Cited by 3 | Viewed by 2001
Abstract
In this paper, a fully differential amplifier is proposed in a 1.8 V-0.18 μm CMOS (Complementary Metal-Oxide-Semiconductor) technology, which can accommodate both voltage (V-mode) and current (C-mode) inputs. Post-layout simulation results show a fixed gain amplifier exhibiting a 26 dB (V-mode)/89 dBΩ (C-mode) [...] Read more.
In this paper, a fully differential amplifier is proposed in a 1.8 V-0.18 μm CMOS (Complementary Metal-Oxide-Semiconductor) technology, which can accommodate both voltage (V-mode) and current (C-mode) inputs. Post-layout simulation results show a fixed gain amplifier exhibiting a 26 dB (V-mode)/89 dBΩ (C-mode) gain and a programmable gain amplifier featuring a 6–26 dB gain, overall yielding a 26.8–46.4 dB dB (V-mode)/89.6–109.2 dBΩ (C-mode) programmable gain range, with a 100 MHz bandwidth and a power and area consumption of 360.5 µW and 0.0177 mm2, respectively. This amplifier has been designed considering the constraints and specifications (including low voltage, low power, reduced noise and high common mode rejection ratio) for its use in an analogue Lock-in-based Frequency Response Analyser-Impedance Spectroscopy (FRA-IS) device. The proposed design introduces a novel fully differential open-loop structure based on a transconductance–transimpedance (TC-TI) topology for high performance applications with a broad programmable bandwidth. To compare this work, different figures of merit (FoMs) are introduced as well as a comparison table with other simulated and experimental results, reporting an overall better performance in terms of gain, frequency and power-area consumption. Full article
(This article belongs to the Special Issue Design of Low-Voltage and Low-Power Integrated Circuits)
Show Figures

Figure 1

12 pages, 6300 KB  
Case Report
Ochronotic Chondropathy: A Case Report
by Jake Littman, John Pietro, Jon Olansen, Chanika Phornphutkul and Roy K. Aaron
Biomedicines 2023, 11(10), 2625; https://doi.org/10.3390/biomedicines11102625 - 25 Sep 2023
Viewed by 1807
Abstract
Endogenous ochronosis, also known as alkaptonuria, is a rare disease known for its bluish-black discoloration of the skin, sclerae, and pinnae, as well as urine that turns black upon standing. Though rarely fatal, joint degradation is a common sequela, and many patients require [...] Read more.
Endogenous ochronosis, also known as alkaptonuria, is a rare disease known for its bluish-black discoloration of the skin, sclerae, and pinnae, as well as urine that turns black upon standing. Though rarely fatal, joint degradation is a common sequela, and many patients require multiple large joint arthroplasties throughout their lifetime. Though many aspects of the pathophysiological mechanisms of the disease have been described, questions remain, such as how the initiation of ochronotic pigmentation is prompted and the specific circumstances that make some tissues more resistant to pigmentation-related damage than others. In this report, we present the case of an 83-year-old female previously diagnosed with alkaptonuria including high-quality arthroscopic images displaying the fraying of articular cartilage. We also offer a summary of the latest literature on the pathophysiological mechanisms of the disease, including cellular-level changes observed in ochronotic chondrocytes, biochemical and mechanical alterations to the cartilaginous extracellular matrix, and patterns of pigmentation and joint degradation observed in humans and mice models. With these, we present an overview of the mechanisms of ochronotic chondropathy and joint degradation as the processes are currently understood. While alkaptonuria itself is rare, it has been termed a “fundamental disease,” implying that its study and greater understanding have the potential to lead to insights in skeletal biology in general, as well as more common pathologies such as osteoarthritis and their potential treatment mechanisms. Full article
(This article belongs to the Special Issue Advances in Chondrocyte Biology)
Show Figures

Figure 1

9 pages, 1261 KB  
Article
Post-COVID-19 Syndrome: Audiometric Findings in Patients with Audiological Symptoms
by Oscar O. Ríos Coronado, Claudia A. Igual Félix, Gabriel Paz Flores, Magdicarla E. De Alba Márquez, Cynthia R. Cárdenas Contreras, Esteban González Díaz, Ana I. Sedano Paz and Luis R. González-Lucano
Int. J. Environ. Res. Public Health 2023, 20(17), 6697; https://doi.org/10.3390/ijerph20176697 - 1 Sep 2023
Cited by 4 | Viewed by 2387
Abstract
Since the SARS-CoV-19 pandemic, the possibility of audiological involvement by this virus has been speculated without being able to generate a true cause–effect relationship. The objective of this observational, descriptive cross-sectional study is to describe the audiometric findings of post-COVID-19 patients with audiological [...] Read more.
Since the SARS-CoV-19 pandemic, the possibility of audiological involvement by this virus has been speculated without being able to generate a true cause–effect relationship. The objective of this observational, descriptive cross-sectional study is to describe the audiometric findings of post-COVID-19 patients with audiological symptoms. A sample of 47 patients with a diagnosis of COVID-19 infection was included: The age range was between 18 and 50 years old, the mean age was 37.0 years with a standard deviation of ±8.3 years, and 32 patients (68.1%) were female and 15 male patients (31.9%). Patients were recruited by the Otolaryngology service at Civil Fray Antonio Mayor Hospital from September 2020 to December 2022. Tonal audiometry was performed in a window of no more than 3 months from the onset of symptoms. The Chi-square test was used and odds ratios (OR) were established to associate the variables of post-COVID-19 audiological symptoms and the prevalence of hearing loss. A 95% confidence interval (CI) and statistical significance were considered of p ≤ 0.05. The audiological symptoms presented a prevalence of 74.4% for a sensation of ear fullness, 59.6% for tinnitus, and 51.1% for a sensation of hearing loss. Full article
Show Figures

Figure 1

19 pages, 4708 KB  
Article
Cytokinin Promotes Jasmonic Acid Accumulation in the Control of Maize Leaf Growth
by Aimee N. Uyehara, Angel R. Del Valle-Echevarria, Charles T. Hunter, Hilde Nelissen, Kirin Demuynck, James F. Cahill, Zachary Gorman, Georg Jander and Michael G. Muszynski
Plants 2023, 12(16), 3014; https://doi.org/10.3390/plants12163014 - 21 Aug 2023
Cited by 9 | Viewed by 3592
Abstract
Plant organ growth results from the combined activity of cell division and cell expansion. The co-ordination of these two processes depends on the interplay between multiple hormones that determine the final organ size. Using the semidominant Hairy Sheath Frayed1 (Hsf1) maize [...] Read more.
Plant organ growth results from the combined activity of cell division and cell expansion. The co-ordination of these two processes depends on the interplay between multiple hormones that determine the final organ size. Using the semidominant Hairy Sheath Frayed1 (Hsf1) maize mutant that hypersignals the perception of cytokinin (CK), we show that CK can reduce leaf size and growth rate by decreasing cell division. Linked to CK hypersignaling, the Hsf1 mutant has an increased jasmonic acid (JA) content, a hormone that can inhibit cell division. The treatment of wild-type seedlings with exogenous JA reduces maize leaf size and growth rate, while JA-deficient maize mutants have increased leaf size and growth rate. Expression analysis revealed the increased transcript accumulation of several JA pathway genes in the Hsf1 leaf growth zone. A transient treatment of growing wild-type maize shoots with exogenous CK also induced the expression of JA biosynthetic genes, although this effect was blocked by the co-treatment with cycloheximide. Together, our results suggest that CK can promote JA accumulation, possibly through the increased expression of specific JA pathway genes. Full article
(This article belongs to the Special Issue Molecular Biology of Plant Defense Responses in Maize)
Show Figures

Figure 1

Back to TopTop