Sign in to use this feature.

Years

Between: -

Subjects

remove_circle_outline
remove_circle_outline
remove_circle_outline
remove_circle_outline
remove_circle_outline
remove_circle_outline
remove_circle_outline
remove_circle_outline
remove_circle_outline

Journals

Article Types

Countries / Regions

Search Results (52)

Search Parameters:
Keywords = electronic instrumentation training

Order results
Result details
Results per page
Select all
Export citation of selected articles as:
13 pages, 287 KB  
Article
Do Healthcare Professionals Agree with Delphi Expert Recommendations for Instrument Assisted Soft-Tissue Mobilization Precautions and Contraindications? An Exploratory Survey
by Scott W. Cheatham and Russell T. Baker
Healthcare 2025, 13(21), 2745; https://doi.org/10.3390/healthcare13212745 - 29 Oct 2025
Viewed by 955
Abstract
Background: Instrument-assisted soft-tissue mobilization (IASTM) is a popular intervention used for myofascial treatment. Healthcare professionals using IASTM must consider precautions and contraindications prior to administering the intervention. A recent international Delphi survey of IASTM experts recommended a list of 39 conditions to be [...] Read more.
Background: Instrument-assisted soft-tissue mobilization (IASTM) is a popular intervention used for myofascial treatment. Healthcare professionals using IASTM must consider precautions and contraindications prior to administering the intervention. A recent international Delphi survey of IASTM experts recommended a list of 39 conditions to be considered as precautions and contraindications. The clinical relevance of these recommendations among healthcare professionals is of interest. The purpose of the survey was to explore healthcare professionals’ agreement regarding the IASTM Delphi recommendations for precautions and contraindications. Methods: A 16-question electronic survey was emailed to members of the Academy of Orthopedic Physical Therapy, American Academy of Sports Physical Therapy, National Athletic Trainers Association, and members of private physical therapy and athletic training Facebook® and LinkedIn™ groups. Survey inclusion criteria included being a healthcare professional who has clinical experience using IASTM with patients. The strength of agreement grade scale was used to explore professionals’ opinions and agreement with the expert recommendations. Results: Four hundred and forty-five professionals (men = 52%; women = 46%; other = 2%) (mean age = 49 ± 12.33 years old) completed the survey. Most respondents (mean = 62%) agreed with 12 of 39 recommended conditions across the strength of agreement grade categories. The conditions included five precautions, four contraindications, and three conditions that could be both. Respondents also listed 32 other conditions they felt were relevant. Discussion: These survey results illustrate diversity among professionals’ agreement with expert recommendations. This may be explained by variations in clinical practice patterns and gaps in the research on this topic. The IASTM Delphi study’s recommended list of precautions and contraindications provides valuable information but is not all-inclusive, as other conditions may exist for different patients. When exploring understudied topics, researchers may want to begin with a Delphi study to establish expert recommendations, followed by an assessment of their clinical relevance through related survey studies of healthcare professionals’ agreement on the topic. Conclusions: This exploratory survey introduced a novel method of assessing the clinical relevance of a Delphi study on IASTM precautions and contraindications among healthcare professionals. Full article
Show Figures

Figure 1

14 pages, 823 KB  
Article
Preparedness for the Digital Transition in Healthcare: Insights from an Italian Sample of Professionals
by Valentina Elisabetta Di Mattei, Gaia Perego, Francesca Milano, Federica Cugnata, Chiara Brombin, Antonio Catarinella, Francesca Gatti, Lavinia Bellamore Dettori, Jennifer Tuzii and Elena Bottinelli
Healthcare 2025, 13(20), 2556; https://doi.org/10.3390/healthcare13202556 - 10 Oct 2025
Cited by 1 | Viewed by 619
Abstract
Background: The digital transition is reshaping healthcare systems through the adoption of telemedicine and electronic health records (EHRs). While these innovations enhance efficiency and access, their implementation unfolds within overstretched organizational settings characterized by workforce shortages, bureaucratic demands, and heightened psychosocial risks. Burnout, [...] Read more.
Background: The digital transition is reshaping healthcare systems through the adoption of telemedicine and electronic health records (EHRs). While these innovations enhance efficiency and access, their implementation unfolds within overstretched organizational settings characterized by workforce shortages, bureaucratic demands, and heightened psychosocial risks. Burnout, impostor syndrome, and the quality of organizational support have thus become pivotal constructs in understanding healthcare professionals’ digital preparedness. Methods: A cross-sectional online survey was conducted among 111 professionals employed at two San Donato Group facilities in Bologna, Italy. The battery included socio-demographic and occupational data, perceptions of digitalization, and validated instruments: the Maslach Burnout Inventory (MBI), the Clance Impostor Phenomenon Scale (CIPS), and the Work Organization Assessment Questionnaire (WOAQ). Descriptive analyses were complemented by Classification and Regression Trees (CART) to identify predictors of perceived digital preparedness. Results: Most respondents (88%) acknowledged the relevance of digitalization, yet 18% felt unprepared, especially women and administrative staff. Burnout levels were high, with 51% reporting emotional exhaustion, most notably among nurses and female participants. Impostor syndrome affected 43% of the sample, with nurses exhibiting the highest prevalence. CART analysis identified emotional exhaustion, impostor syndrome, and age as principal discriminators of digital preparedness. Conclusions: Our findings highlight the role of emotional exhaustion, impostor syndrome, and age in shaping perceived digital preparedness, underscoring the need for tailored training and supportive practices to ensure a sustainable digital transition. Full article
Show Figures

Figure 1

20 pages, 838 KB  
Article
Nurses’ Attitudes, Environmental Perceptions and Involvement in Research: A Multisite Study
by Amanda J. Hessels, Ulanda Marcus-Aiyeku, Mani Paliwal, Carrie Ann Catanzaro, Kimberly Dimino, Jessica Crowley, Jessica Miszlay, Maria Manzella, Kimkyla Kritch, Rachel Kilpatrick, Kim Kranz, Serpouhi S. Vartivarian and Barbara McGoey
Nurs. Rep. 2025, 15(9), 344; https://doi.org/10.3390/nursrep15090344 - 22 Sep 2025
Viewed by 1508
Abstract
Background: Although evidence-based practice is widely promoted in nursing, direct care nurses remain underrepresented in research activities. This study aimed to assess nurses’ attitudes toward research, their perceptions of the organizational research environment, and their levels of involvement, as well as identify key [...] Read more.
Background: Although evidence-based practice is widely promoted in nursing, direct care nurses remain underrepresented in research activities. This study aimed to assess nurses’ attitudes toward research, their perceptions of the organizational research environment, and their levels of involvement, as well as identify key barriers and facilitators to engagement within a comprehensive healthcare system. This study also explored how racial and ethnic diversity within the nursing workforce may shape research engagement and contribute new perspectives to the field. Methods: A cross-sectional electronic survey was administered to registered nurses across 10 hospitals in a Northeast U.S. health system. The survey instrument assessed research attitudes, environment, involvement (past, present, future), and demographics. Descriptive and inferential statistics, including matched-pairs t-tests, were used to analyze responses. Results: Of 7655 invited nurses, 1094 responses were analyzed. Respondents were predominantly female (88.5%), White (56.8%), and employed full-time (87.1%) as clinical staff nurses (77.3%). While 54.8% had completed a formal research course (mainly within the past 1–3 years), informal research and statistics training were uncommon (17.4% and 5.4%, respectively). Nurses reported highly positive attitudes toward research (composite M = 2.15, SD = 0.51), especially its role in guiding practice, professional growth, and education. However, actual involvement was low. The most common current activities included practice change based on research (20.7%) and participation in committees (18.8%). Anticipated future engagement increased substantially, particularly in collaboration (+21.3%), committee participation (+20.6%), and IRB submission (+18.2%). The research environment was perceived as under-resourced, particularly in terms of protected time, funding, and mentorship. Statistically significant gaps were observed between perceived present and desired future supports (p < 0.01 for all 15 items). The Research Awareness Index revealed high rates of uncertainty about available resources (e.g., 66.1% did not know if internal funding existed). Conclusions: Nurses demonstrate strong positive attitudes and a desire to engage in research, including more advanced roles. Yet structural and informational barriers, particularly a lack of protected time, mentorship, and awareness of existing supports, limit participation. Investments in infrastructure, communication, and accessible development pathways are needed to translate nurses’ readiness into active research engagement. Implications: Institutions should prioritize making research support more visible and navigable while investing in mentorship, protected time, and user-friendly infrastructure. Addressing both facets will empower a highly motivated nursing workforce to engage in and lead practice-relevant research. Full article
Show Figures

Figure 1

35 pages, 2021 KB  
Review
From Volatile Profiling to Sensory Prediction: Recent Advances in Wine Aroma Modeling Using Chemometrics and Sensor Technologies
by Fernanda Cosme, Alice Vilela, Ivo Oliveira, Alfredo Aires, Teresa Pinto and Berta Gonçalves
Chemosensors 2025, 13(9), 337; https://doi.org/10.3390/chemosensors13090337 - 5 Sep 2025
Cited by 1 | Viewed by 7035
Abstract
Wine quality is closely linked to sensory attributes such as aroma, taste, and mouthfeel, all of which are influenced by grape variety, “terroir”, and vinification practices. Among these, aroma is particularly important for consumer preference, and it results from a complex interplay of [...] Read more.
Wine quality is closely linked to sensory attributes such as aroma, taste, and mouthfeel, all of which are influenced by grape variety, “terroir”, and vinification practices. Among these, aroma is particularly important for consumer preference, and it results from a complex interplay of numerous volatile compounds. Conventional sensory methods, such as descriptive analysis (DA) performed by trained panels, offer valuable insights but are often time-consuming, resource-intensive, and subject to individual variability. Recent advances in sensor technologies—including electronic nose (E-nose) and electronic tongue (E-tongue)—combined with chemometric techniques and machine learning algorithms, offer more efficient, objective, and predictive approaches to wine aroma profiling. These tools integrate analytical and sensory data to predict aromatic characteristics and quality traits across diverse wine styles. Complementary techniques, including gas chromatography (GC), near-infrared (NIR) spectroscopy, and quantitative structure–odor relationship (QSOR) modeling, when integrated with multivariate statistical methods such as partial least squares regression (PLSR) and neural networks, have shown high predictive accuracy in assessing wine aroma and quality. Such approaches facilitate real-time monitoring, strengthen quality control, and support informed decision-making in enology. However, aligning instrumental outputs with human sensory perception remains a challenge, highlighting the need for further refinement of hybrid models. This review highlights the emerging role of predictive modeling and sensor-based technologies in advancing wine aroma evaluation and quality management. Full article
Show Figures

Figure 1

29 pages, 1150 KB  
Review
What Helps or Hinders Annual Wellness Visits for Detection and Management of Cognitive Impairment Among Older Adults? A Scoping Review Guided by the Consolidated Framework for Implementation Research
by Udoka Okpalauwaekwe, Hannah Franks, Yong-Fang Kuo, Mukaila A. Raji, Elise Passy and Huey-Ming Tzeng
Nurs. Rep. 2025, 15(8), 295; https://doi.org/10.3390/nursrep15080295 - 12 Aug 2025
Viewed by 1636
Abstract
Background: The U.S. Medicare Annual Wellness Visit (AWV) offers a structured opportunity for cognitive screening and personalized prevention planning among older adults. Yet, implementation of AWVs, particularly for individuals with cognitive impairment, remains inconsistent across primary care or other diverse care settings. Methods: [...] Read more.
Background: The U.S. Medicare Annual Wellness Visit (AWV) offers a structured opportunity for cognitive screening and personalized prevention planning among older adults. Yet, implementation of AWVs, particularly for individuals with cognitive impairment, remains inconsistent across primary care or other diverse care settings. Methods: We conducted a scoping review using the Consolidated Framework for Implementation Research (CFIR) to explore multilevel factors influencing the implementation of the Medicare AWV’s cognitive screening component, with a focus on how these processes support the detection and management of cognitive impairment among older adults. We searched four databases and screened peer-reviewed studies published between 2011 and March 2025. Searches were conducted in Ovid MEDLINE, PubMed, EBSCOhost, and CINAHL databases. The initial search was completed on 3 January 2024 and updated monthly through 30 March 2025. All retrieved citations were imported into EndNote 21, where duplicates were removed. We screened titles and abstracts for relevance using the predefined inclusion criteria. Full-text articles were then reviewed and scored as either relevant (1) or not relevant (0). Discrepancies were resolved through consensus discussions. To assess the methodological quality of the included studies, we used the Joanna Briggs Institute critical appraisal tools appropriate to each study design. These tools evaluate rigor, trustworthiness, relevance, and risk of bias. We extracted the following data from each included study: Author(s), year, title, and journal; Study type and design; Data collection methods and setting; Sample size and population characteristics; Outcome measures; Intervention details (AWV delivery context); and Reported facilitators, barriers, and outcomes related to AWV implementation. The first two authors independently coded and synthesized all relevant data using a table created in Microsoft Excel. The CFIR guided our data analysis, thematizing our findings into facilitators and barriers across its five domains, viz: (1) Intervention Characteristics, (2) Outer Setting, (3) Inner Setting, (4) Characteristics of Individuals, and (5) Implementation Process. Results: Among 19 included studies, most used quantitative designs and secondary data. Our CFIR-based synthesis revealed that AWV implementation is shaped by interdependent factors across five domains. Key facilitators included AWV adaptability, Electronic Health Record (EHR) integration, team-based workflows, policy alignment (e.g., Accountable Care Organization participation), and provider confidence. Barriers included vague Centers for Medicare and Medicaid Services (CMS) guidance, limited reimbursement, staffing shortages, workflow misalignment, and provider discomfort with cognitive screening. Implementation strategies were often poorly defined or inconsistently applied. Conclusions: Effective AWV delivery for older adults with cognitive impairment requires more than sound policy and intervention design; it demands organizational readiness, structured implementation, and engaged providers. Tailored training, leadership support, and integrated infrastructure are essential. These insights are relevant not only for U.S. Medicare but also for global efforts to integrate dementia-sensitive care into primary health systems. Our study has a few limitations that should be acknowledged. First, our scoping review synthesized findings predominantly from quantitative studies, with only two mixed-method studies and no studies using strictly qualitative methodologies. Second, few studies disaggregated findings by race, ethnicity, or geography, reducing our ability to assess equity-related outcomes. Moreover, few studies provided sufficient detail on the specific cognitive screening instruments used or on the scope and delivery of educational materials for patients and caregivers, limiting generalizability and implementation insights. Third, grey literature and non-peer-reviewed sources were not included. Fourth, although CFIR provided a comprehensive analytic structure, some studies did not explicitly fit in with our implementation frameworks, which required subjective mapping of findings to CFIR domains and may have introduced classification bias. Additionally, although our review did not quantitatively stratify findings by year, we observed that studies from more recent years were more likely to emphasize implementation facilitators (e.g., use of templates, workflow integration), whereas earlier studies often highlighted systemic barriers such as time constraints and provider unfamiliarity with AWV components. Finally, while our review focused specifically on AWV implementation in the United States, we recognize the value of comparative analysis with international contexts. This work was supported by a grant from the National Institute on Aging, National Institutes of Health (Grant No. 1R01AG083102-01; PIs: Tzeng, Kuo, & Raji). Full article
(This article belongs to the Section Nursing Care for Older People)
Show Figures

Figure 1

22 pages, 8160 KB  
Article
Design and Characterization of the Modified Purdue Subcritical Pile for Nuclear Research Applications
by Matthew Niichel, Vasileios Theos, Riley Madden, Hannah Pike, True Miller, Brian Jowers and Stylianos Chatzidakis
Instruments 2025, 9(2), 13; https://doi.org/10.3390/instruments9020013 - 6 Jun 2025
Viewed by 2248
Abstract
First demonstrated in 1942, subcritical and zero-power critical assemblies, also known as piles, are a fundamental tool for research and education at universities. Traditionally, their role has been primarily instructional and for measuring the fundamental properties of neutron diffusion and transport. However, these [...] Read more.
First demonstrated in 1942, subcritical and zero-power critical assemblies, also known as piles, are a fundamental tool for research and education at universities. Traditionally, their role has been primarily instructional and for measuring the fundamental properties of neutron diffusion and transport. However, these assemblies could hold potential for modern applications and nuclear research. The Purdue University subcritical pile previously lacked a substantial testing volume, limiting its utility to simple neutron activation experiments for the purpose of undergraduate education. Following the design and addition of a mechanical and electrical testbed, this paper aims to provide an overview of the testbed design and characterize the neutron flux of the rearranged Purdue subcritical pile, justifying its use as a modern scientific instrument. The newly installed 1.5 × 105 cubic-centimeter volume testbed enables a systematic investigation of neutron and gamma effects on materials and the generation of a comprehensive data set with the potential for machine learning applications. The neutron flux throughout the pile is measured using gold-197 and indium-115 foil activation alongside cadmium-covered foils for two-group neutron energy classification. The neutron flux measurements are then used to benchmark a detailed geometrically and materialistically accurate Monte Carlo model using OpenMC 0.15.0 and MCNP 6.3. The experimental measurements reveal that the testbed has a neutron environment with a total neutron flux approaching 9.5 × 103 n/cm2 × s and a thermal flux of 6.5 × 103 n/cm2 × s. This work establishes that the modified Purdue subcritical pile can provide fair neutron and gamma fluxes within a large volume to enable the radiation testing of integral electronic components and can be a versatile research instrument with the potential to support material testing and limited isotope activation, while generating valuable training data sets for machine learning algorithms in nuclear applications. Full article
Show Figures

Figure 1

31 pages, 1834 KB  
Review
Volatile Organic Compounds in Biological Matrices as a Sensitive Weapon in Cancer Diagnosis
by Arya Ghosh, Varnita Karmakar, Anroop B. Nair, Shery Jacob, Pottathil Shinu, Bandar Aldhubiab, Rashed M. Almuqbil and Bapi Gorain
Pharmaceuticals 2025, 18(5), 638; https://doi.org/10.3390/ph18050638 - 27 Apr 2025
Cited by 1 | Viewed by 3444
Abstract
Diagnosis and intervention at the earliest stages of cancer are imperative for maximizing patient recovery outcomes and substantially increasing survival rates and quality of life. Recently, to facilitate cancer diagnosis, volatile organic compounds (VOCs) have shown potential with unique characteristics as cancer biomarkers. [...] Read more.
Diagnosis and intervention at the earliest stages of cancer are imperative for maximizing patient recovery outcomes and substantially increasing survival rates and quality of life. Recently, to facilitate cancer diagnosis, volatile organic compounds (VOCs) have shown potential with unique characteristics as cancer biomarkers. Various insects with sophisticated sensitivities of odor can be quickly and readily trained to recognize such VOCs using olfactory-linked skills. Furthermore, the approach to analyzing VOCs can be made using electronic noses, commonly referred to as e-noses. Using analytical instruments like GC-MS, LC-MS/MS, etc., chemical blends are separated into their constituent parts. The significance of odorant receptors in triggering neural responses to ambient compounds has received great attention in the last twenty years, particularly in the investigation of insect olfaction. Sensilla, a sophisticated olfactory neural framework, is regulated by a neuronal receptor composed of neuronal, non-neuronal, extracellular lymphatic fluid with an effectively generated shell. This review provides an in-depth exploration of the structural, functional, and signaling mechanisms underlying odorant sensitivities and chemical odor detection in the excretory products of cancer patients, addressing current challenges in VOC-based cancer diagnostics and innovative strategies for advancement while also envisioning the transformative role of artificial olfactory systems in the future of cancer detection. Furthermore, the article emphasizes recent preclinical and clinical advancements in VOC applications, highlighting their potential to redefine early diagnostic approaches in oncology. Full article
(This article belongs to the Special Issue Recent Advances in Cancer Diagnosis and Therapy)
Show Figures

Graphical abstract

14 pages, 3178 KB  
Article
A Study on the Effect of Drift Factor on Feature Optimization in Electronic Nose Detection
by Minhao Cai, Sai Xu, Xingxing Zhou, Huazhong Lu and Xing Liang
Appl. Sci. 2024, 14(23), 11366; https://doi.org/10.3390/app142311366 - 5 Dec 2024
Cited by 1 | Viewed by 1925
Abstract
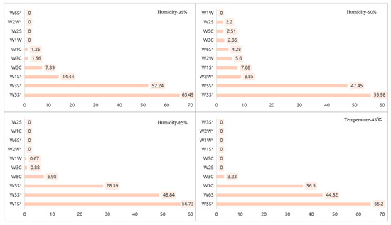
As an important instrument for olfactory detection in non-destructive testing (NDT), the electronic nose plays an important role in simulating olfactory detection. However, its performance is often affected by drift phenomena, including changes in sensor performance caused by environmental factors and olfactory fatigue [...] Read more.
As an important instrument for olfactory detection in non-destructive testing (NDT), the electronic nose plays an important role in simulating olfactory detection. However, its performance is often affected by drift phenomena, including changes in sensor performance caused by environmental factors and olfactory fatigue due to long-term use. Although the effect of drift on the performance of electronic noses is widely recognized, there is still a relative lack of research on how drift affects feature optimization. This study presents a novel idea that drift factors not only affect the direct readings of the sensor but may also have a profound effect on the feature optimization process and hence the compensation of the electronic nose. To explore this concept, we chose temperature and humidity, the two most common environmental drift factors, for our experimental study. In our study, we verified the impact of drift factors on feature optimization and found a positive correlation between the concentration of sensor scores and the correct classification rate. Moreover, we adopted an innovative quadratic feature optimization method, which aims to reduce the influence of the drift factor on the feature optimization process and thus improve the drift resistance of the electronic nose. In our experiments, we found that the unweighted quadratic feature optimization method performs best in reducing the drift effect. After the optimization process, the recognition rate reaches 100% in the training set and 96% in the test set, which indicates that the electronic nose has improved significantly in terms of drift resistance. In summary, this study explores the effect of drift factors on feature optimization and proposes an effective treatment method, which provides a reference direction for the development and optimization of electronic nose technology. Full article
Show Figures

Figure 1

11 pages, 483 KB  
Article
Knowledge and Attitude of Women Towards Breast Cancer Screening in Resource-Limited Setting in Women Aged 18–45 Years
by Jennifer Adaeze Chukwu, Chinedu O. Egwu, Chidinma Chukwu, Anthony O. Agwu, Emmanuel Ooju Oluwafemi, Solomon Kingsley Nwadum, Inigbehe Babatunde Oyinloye, Nwigbo Ogechukwu Anoke-Ani, Francis P. Akpabio and Ifeanyi Enyanwuma
Women 2024, 4(4), 503-513; https://doi.org/10.3390/women4040037 - 3 Dec 2024
Cited by 1 | Viewed by 3962
Abstract
Breast cancer incidence is on the rise regardless of several interventions available for its management. This scenario may be worse in resource-limited countries. This study, therefore, aimed to evaluate the knowledge and attitude of women towards Breast Cancer Screening (BCS) in Aminu Kano [...] Read more.
Breast cancer incidence is on the rise regardless of several interventions available for its management. This scenario may be worse in resource-limited countries. This study, therefore, aimed to evaluate the knowledge and attitude of women towards Breast Cancer Screening (BCS) in Aminu Kano Teaching Hospital (AKTH), Kano State, a typically resource-limited state in Nigeria. This was a cross-sectional study. The study population comprised female individuals aged 18–45 years attending the Antenatal and Postnatal clinics of AKTH. An adopted questionnaire instrument was used to extract vital information on the knowledge and attitude of women towards breast cancer screening in the Antenatal and Postnatal clinics of AKTH. Our findings showed that there is much awareness about BCS, even though most participants’ knowledge about the methods and timing of the scan is low. Much enlightenment is achieved through the availability of print and electronic media on BCS. A better attitude is shown when trained personnel conduct BCS. A good number of participants who have knowledge are yet to translate their knowledge and attitudes into practice. Based on our findings, coordinated and timely awareness campaigns should be organized by local health authorities to improve knowledge and attitude towards BCS. Full article
Show Figures

Figure 1

14 pages, 4020 KB  
Article
Operation of Photo Electron Spectrometers for Non-Invasive Photon Diagnostics at the European X-Ray Free Electron Laser
by Joakim Laksman, Florian Dietrich, Theophilos Maltezopoulos, Jia Liu, Danilo Enoque Ferreira de Lima, Natalia Gerasimova, Ivars Karpics, Naresh Kujala, Philipp Schmidt, Suren Karabekyan, Svitozar Serkez and Jan Grünert
Appl. Sci. 2024, 14(22), 10152; https://doi.org/10.3390/app142210152 - 6 Nov 2024
Cited by 3 | Viewed by 1637
Abstract
Angle-resolved photoelectron spectrometers with microchannel plate detectors and fast digitizer electronics are versatile and powerful devices for providing non-invasive single-shot photon diagnostics at a MHz repetition rate X-ray free-electron lasers. In this contribution, we demonstrate and characterize the performance of our two operational [...] Read more.
Angle-resolved photoelectron spectrometers with microchannel plate detectors and fast digitizer electronics are versatile and powerful devices for providing non-invasive single-shot photon diagnostics at a MHz repetition rate X-ray free-electron lasers. In this contribution, we demonstrate and characterize the performance of our two operational photoelectron spectrometers for the application of hard X-rays and soft X-rays as well as new automation tools and online data analysis that enable continuous support for machine operators and instrument scientists. Customized software has been developed for the real-time monitoring of photon beam polarization and spectral distribution both in single-color and two-color operation. Hard X-ray operation imposes specific design challenges due to poor photoionization cross-sections and very high photoelectron velocities. Furthermore, recent advancements in machine learning enable resolution enhancement by training the photoelectron spectrometer together with an invasive high-resolution spectrometer, which generates a response function model. Full article
(This article belongs to the Special Issue Application of X-Ray Photoelectron Spectroscopy)
Show Figures

Figure 1

13 pages, 13392 KB  
Review
Evolution of Single Photon Lidar: From Satellite Laser Ranging to Airborne Experiments to ICESat-2
by John J. Degnan
Photonics 2024, 11(10), 924; https://doi.org/10.3390/photonics11100924 - 30 Sep 2024
Cited by 5 | Viewed by 3950
Abstract
In September 2018, NASA launched the ICESat-2 satellite into a 500 km high Earth orbit. It carried a truly unique lidar system, i.e., the Advanced Topographic Laser Altimeter System or ATLAS. The ATLAS lidar is capable of detecting single photons reflected from a [...] Read more.
In September 2018, NASA launched the ICESat-2 satellite into a 500 km high Earth orbit. It carried a truly unique lidar system, i.e., the Advanced Topographic Laser Altimeter System or ATLAS. The ATLAS lidar is capable of detecting single photons reflected from a wide variety of terrain (land, ice, tree leaves, and underlying terrain) and even performing bathymetric measurements due to its green wavelength. The system uses a single 5-watt, Q-switched laser producing a 10 kHz train of sub-nanosecond pulses, each containing 500 microjoules of energy. The beam is then split into three “strong” and three “weak” beamlets, with the “strong” beamlets containing four times the power of the “weak” beamlets in order to satisfy a wide range of Earth science goals. Thus, ATLAS is capable of making up to 60,000 surface measurements per second compared to the 40 measurements per second made by its predecessor multiphoton instrument, the Geoscience Laser Altimeter System (GLAS) on ICESat-1, which was terminated after several years of operation in 2009. Low deadtime timing electronics are combined with highly effective noise filtering algorithms to extract the spatially correlated surface photons from the solar and/or electronic background noise. The present paper describes how the ATLAS system evolved from a series of unique and seemingly unconnected personal experiences of the author in the fields of satellite laser ranging, optical antennas and space communications, Q-switched laser theory, and airborne single photon lidars. Full article
Show Figures

Figure 1

12 pages, 436 KB  
Article
Distrust in the Health Care System and Adherence to Direct-Acting Antiviral Therapy among People with Hepatitis C Virus Who Inject Drugs
by Akhila Padi, Irene Pericot-Valverde, Moonseong Heo, James Edward Dotherow, Jiajing Niu, Madhuri Martin, Brianna L. Norton, Matthew J. Akiyama, Julia H. Arnsten and Alain H. Litwin
Viruses 2024, 16(8), 1304; https://doi.org/10.3390/v16081304 - 16 Aug 2024
Cited by 2 | Viewed by 2007
Abstract
This study is a secondary analysis of a randomized clinical trial (October 2013–April 2017) involving 150 People Who Inject Drugs (PWIDs) with hepatitis C virus (HCV) seen in opioid agonist treatment programs in the Bronx, New York, and investigates the impact of distrust [...] Read more.
This study is a secondary analysis of a randomized clinical trial (October 2013–April 2017) involving 150 People Who Inject Drugs (PWIDs) with hepatitis C virus (HCV) seen in opioid agonist treatment programs in the Bronx, New York, and investigates the impact of distrust in the healthcare system on adherence to Direct-Acting Antivirals (DAAs) HCV treatment therapy among PWIDs. The distrust was scaled on a 9-item instrument and the adherence to DAA medications was measured using electronic blister packs. This study demonstrated a significant inverse relationship between levels of distrust and medication adherence: 71.8 ± 2.2% (se) vs. 77.9 ± 1.8%, p = 0.024 between participants with higher and lower distrust levels. Despite the absence of significant association of distrust with sociodemographic or substance use characteristics, these findings suggest that building trust within the healthcare system is paramount for improving adherence to DAAs among PWIDs. The results call for a healthcare approach that emphasizes trust-building through patient-centered care, sensitivity training, peer support, and health system reform to effectively address the treatment needs of this marginalized population. Full article
(This article belongs to the Special Issue Hepatitis C Virus Infection among People Who Inject Drugs)
Show Figures

Figure 1

6 pages, 947 KB  
Project Report
Leveraging Nursing Assessment for Early Identification of Post Operative Gastrointestinal Dysfunction (POGD) in Patients Undergoing Colorectal Surgery
by Tessy Siby, Alice Shajimon, Daniel Mullen, Shahnaz Gillani, Jeffrey R. Ong, Nikki E. Dinkins, Brittany Kruse, Carla Patel, Craig Messick, Nicole Gourmelon, Mary R. Butler and Vijaya Gottumukkala
Curr. Oncol. 2024, 31(7), 3752-3757; https://doi.org/10.3390/curroncol31070276 - 29 Jun 2024
Cited by 1 | Viewed by 3548
Abstract
Background: Postoperative gastrointestinal dysfunction (POGD) remains a common morbidity after gastrointestinal surgery. POGD is associated with delayed hospital recovery, increased length of stay, poor patient satisfaction and experience, and increased economic hardship. The I-FEED scoring system was created by a group of experts [...] Read more.
Background: Postoperative gastrointestinal dysfunction (POGD) remains a common morbidity after gastrointestinal surgery. POGD is associated with delayed hospital recovery, increased length of stay, poor patient satisfaction and experience, and increased economic hardship. The I-FEED scoring system was created by a group of experts to address the lack of a consistent objective definition of POGD. However, the I-FEED tool needs clinical validation before it can be adopted into clinical practice. The scope of this phase 1 Quality Improvement initiative involves the feasibility of implementing percussion into the nursing workflow without additional burden. Methods: All gastrointestinal/colorectal surgical unit registered nurses underwent comprehensive training in abdominal percussion. This involved understanding the technique, its application in postoperative gastrointestinal dysfunction assessment, and its integration into the existing nursing documentation in the Electronic Health Record (EHR). After six months of education and practice, a six-question survey was sent to all inpatient GI surgical unit nurses about incorporating the percussion assessment into their routine workflow and documentation. Results: Responses were received from 91% of day-shift nurses and 76% of night-shift registered nurses. Overall, 95% of the nurses were confident in completing the abdominal percussion during their daily assessment. Conclusion: Nurses’ effective use of the I-FEED tool may help improve patient outcomes after surgery. The tool could also be an effective instrument for the early identification of postoperative gastrointestinal dysfunction (POGD) in surgical patients. Full article
(This article belongs to the Special Issue Feature Reviews in Section "Oncology Nursing")
Show Figures

Figure 1

15 pages, 872 KB  
Review
Intervention Hypothesis for Training with Whole-Body Vibration to Improve Physical Fitness Levels: An Umbrella Review
by Luca Petrigna, Alessandra Amato, Martina Sortino, Bruno Trovato, Marta Zanghì, Federico Roggio and Giuseppe Musumeci
J. Funct. Morphol. Kinesiol. 2024, 9(2), 100; https://doi.org/10.3390/jfmk9020100 - 6 Jun 2024
Cited by 2 | Viewed by 7188
Abstract
Whole-body vibration (WBV) is a training modality, and it seems to be a safe and efficient exercise especially to improve different aspects of physical fitness in different populations. The protocols for WBV are still not standardized. The difficulty in comparing the data confuses [...] Read more.
Whole-body vibration (WBV) is a training modality, and it seems to be a safe and efficient exercise especially to improve different aspects of physical fitness in different populations. The protocols for WBV are still not standardized. The difficulty in comparing the data confuses the real efficacy of this instrument. Consequently, the objective of this umbrella review is to analyze the protocols previously adopted and eventually to propose a standard operating procedure for WBV training. Systematic review and meta-analysis of randomized controlled trials on WBV were searched on the electronic databases PubMed, Web of Science, and Scopus until 18 March 2024. A quality assessment of the studies included has been performed. A total of 20 studies were included in this umbrella review and frequency, magnitude, and amplitude intensity data were recorded. Detailed information about the protocols (static or dynamic exercises, barefoot or with shoes, intensity duration, weekly frequency, and vibration characteristics) was also collected. WBV presents widely different protocols. Consequently, a standard operating procedure has not been proposed for WBV training. A hypothesis of intervention was instead written in which parameters for frequency, amplitude, acceleration, and training mode were proposed. Full article
(This article belongs to the Section Functional Anatomy and Musculoskeletal System)
Show Figures

Figure 1

18 pages, 713 KB  
Review
Recent Advances and Future Perspectives in the E-Nose Technologies Addressed to the Wine Industry
by Gianmarco Alfieri, Margherita Modesti, Riccardo Riggi and Andrea Bellincontro
Sensors 2024, 24(7), 2293; https://doi.org/10.3390/s24072293 - 4 Apr 2024
Cited by 30 | Viewed by 7874
Abstract
Electronic nose devices stand out as pioneering innovations in contemporary technological research, addressing the arduous challenge of replicating the complex sense of smell found in humans. Currently, sensor instruments find application in a variety of fields, including environmental, (bio)medical, food, pharmaceutical, and materials [...] Read more.
Electronic nose devices stand out as pioneering innovations in contemporary technological research, addressing the arduous challenge of replicating the complex sense of smell found in humans. Currently, sensor instruments find application in a variety of fields, including environmental, (bio)medical, food, pharmaceutical, and materials production. Particularly the latter, has seen a significant increase in the adoption of technological tools to assess food quality, gradually supplanting human panelists and thus reshaping the entire quality control paradigm in the sector. This process is happening even more rapidly in the world of wine, where olfactory sensory analysis has always played a central role in attributing certain qualities to a wine. In this review, conducted using sources such as PubMed, Science Direct, and Web of Science, we examined papers published between January 2015 and January 2024. The aim was to explore prevailing trends in the use of human panels and sensory tools (such as the E-nose) in the wine industry. The focus was on the evaluation of wine quality attributes by paying specific attention to geographical origin, sensory defects, and monitoring of production trends. Analyzed results show that the application of E-nose-type sensors performs satisfactorily in that trajectory. Nevertheless, the integration of this type of analysis with more classical methods, such as the trained sensory panel test and with the application of destructive instrument volatile compound (VOC) detection (e.g., gas chromatography), still seems necessary to better explore and investigate the aromatic characteristics of wines. Full article
(This article belongs to the Special Issue Feature Papers in Intelligent Sensors 2024)
Show Figures

Figure 1

Back to TopTop