Sign in to use this feature.

Years

Between: -

Subjects

remove_circle_outline
remove_circle_outline
remove_circle_outline
remove_circle_outline
remove_circle_outline

Journals

Article Types

Countries / Regions

Search Results (3)

Search Parameters:
Keywords = eel-like locomotion

Order results
Result details
Results per page
Select all
Export citation of selected articles as:
20 pages, 11106 KB  
Article
Analysis of Robot–Environment Interaction Modes in Anguilliform Locomotion of a New Soft Eel Robot
by Mostafa Sayahkarajy and Hartmut Witte
Actuators 2024, 13(10), 406; https://doi.org/10.3390/act13100406 - 7 Oct 2024
Cited by 4 | Viewed by 2058
Abstract
Bio-inspired robots with elongated anatomy, like eels, are studied to discover anguilliform swimming principles and improve the robots’ locomotion accordingly. Soft continuum robots replicate animal–environment physics better than noncompliant, rigid, multi-body eel robots. In this study, a slender soft robot was designed and [...] Read more.
Bio-inspired robots with elongated anatomy, like eels, are studied to discover anguilliform swimming principles and improve the robots’ locomotion accordingly. Soft continuum robots replicate animal–environment physics better than noncompliant, rigid, multi-body eel robots. In this study, a slender soft robot was designed and tested in an actual swimming experiment in a still-water tank. The robot employs soft pneumatic muscles laterally connected to a flexible backbone and activated with a rhythmic input. The position of seven markers mounted on the robot’s backbone was recorded using QualiSys® Tracking Manager (QTM) 1.6.0.1. The system was modeled as a fully coupled fluid–solid interaction (FSI) system using COMSOL Multiphysics® 6.1. Further data postprocessing and analysis were conducted, proposing a new mode decomposition algorithm using simulation data. Experiments show the success of swimming with a velocity of 28 mm/s and at a frequency of 0.9 Hz. The mode analysis allowed the modeling and explanation of the fluctuation. Results disclose the presence of traveling waves related to anguilliform waves obtained by the superposition of two main modes. The similarities of the results with natural anguilliform locomotion are discussed. It is concluded that soft robot undulation is ruled by dynamic modes induced by robot–environment interaction. Full article
(This article belongs to the Special Issue Bio-Inspired Soft Robotics)
Show Figures

Figure 1

24 pages, 15662 KB  
Article
Numerical Study on the Swimming and Energy Self-Sufficiency of Multi-Joint Robotic Fish
by Guodu Liang, Zhiqiang Xin, Quanlin Ding, Songyang Liu and Liying Ren
J. Mar. Sci. Eng. 2024, 12(5), 701; https://doi.org/10.3390/jmse12050701 - 24 Apr 2024
Viewed by 1883
Abstract
Energy is one of the primary challenges in the long-term operation of robotic fish. The research on combining wave energy-harvesting technology with robotic fish for energy supplementation is not extensive, and there is insufficient comprehensive analysis on energy harvesting from waves and energy [...] Read more.
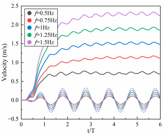
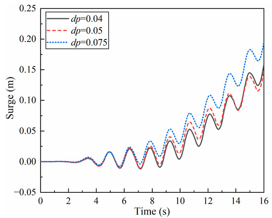
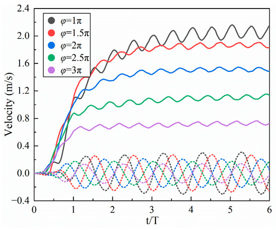
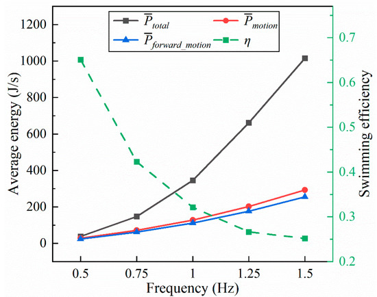
Energy is one of the primary challenges in the long-term operation of robotic fish. The research on combining wave energy-harvesting technology with robotic fish for energy supplementation is not extensive, and there is insufficient comprehensive analysis on energy harvesting from waves and energy costs during swimming. Therefore, the energy self-sufficiency of multi-joint robotic fish is investigated by employing the coupling method of smoothed particle hydrodynamics (SPH) and multi-body dynamics in this study. A reversible energy conversion mechanism is applied to the robotic fish, serving as a driving system during swimming and as a power take-off (PTO) system during energy harvesting. The energy costs of the multi-joint robotic fish under various undulation parameters (including amplitude, frequency, and body wavelength) are analyzed, along with an examination of the influence of the PTO system on energy harvesting. The results show that, compared to the undulation amplitude and body wavelength, the undulation frequency has the greatest impact on swimming efficiency and energy costs, with low-frequency swimming being advantageous for efficient energy utilization. Additionally, the damping coefficient of the PTO system directly affects energy-harvesting efficiency, with higher energy-harvesting power achievable with an optimal PTO system parameter. Through a comprehensive analysis of energy costs and energy harvesting, it is concluded that the achievement of energy self-sufficiency for multi-joint robotic fish in marine environments is highly feasible. Full article
(This article belongs to the Section Marine Energy)
Show Figures

Figure 1

23 pages, 1589 KB  
Article
Locomotion Efficiency Optimization of Biologically Inspired Snake Robots
by Eleni Kelasidi, Mansoureh Jesmani, Kristin Y. Pettersen and Jan Tommy Gravdahl
Appl. Sci. 2018, 8(1), 80; https://doi.org/10.3390/app8010080 - 9 Jan 2018
Cited by 35 | Viewed by 6749
Abstract
Snake robots constitute bio-inspired solutions that have been studied due to their ability to move in challenging environments where other types of robots, such as wheeled or legged robots, usually fail. In this paper, we consider both land-based and swimming snake robots. One [...] Read more.
Snake robots constitute bio-inspired solutions that have been studied due to their ability to move in challenging environments where other types of robots, such as wheeled or legged robots, usually fail. In this paper, we consider both land-based and swimming snake robots. One of the principal concerns of the bio-inspired snake robots is to increase the motion efficiency in terms of the forward speed by improving the locomotion methods. Furthermore, energy efficiency becomes a crucial challenge for this type of robots due to the importance of long-term autonomy of these systems. In this paper, we take into account both the minimization of the power consumption and the maximization of the achieved forward velocity in order to investigate the optimal gait parameters for bio-inspired snake robots using lateral undulation and eel-like motion patterns. We furthermore consider possible negative work effects in the calculation of average power consumption of underwater snake robots. To solve the multi-objective optimization problem, we propose transforming the two objective functions into a single one using a weighted-sum method. For different set of weight factors, Particle Swarm Optimization is applied and a set of optimal points is consequently obtained. Pareto fronts or trade-off curves are illustrated for both land-based and swimming snake robots with different numbers of links. Pareto fronts represent trade-offs between the objective functions. For example, how increasing the forward velocity results in increasing power consumption. Therefore, these curves are a very useful tool for the control and design of snake robots. The trade-off curve thus constitutes a very useful tool for both the control and design of bio-inspired snake robots. In particular, the operators or designers of bio-inspired snake robots can choose a Pareto optimal point based on the trade-off curve, given the preferred number of links on the robot. The optimal gait parameters for the robot control system design are then directly given both for land-based and underwater snake robots. Moreover, we are able to obtain some observations about the optimal values of the gait parameters, which provide very important insights for future control design of bio-inspired snake robots. Full article
(This article belongs to the Special Issue Bio-Inspired Robotics)
Show Figures

Figure 1

Back to TopTop