Sign in to use this feature.

Years

Between: -

Subjects

remove_circle_outline
remove_circle_outline
remove_circle_outline
remove_circle_outline
remove_circle_outline
remove_circle_outline

Journals

Article Types

Countries / Regions

Search Results (8)

Search Parameters:
Keywords = dual-view synergy

Order results
Result details
Results per page
Select all
Export citation of selected articles as:
25 pages, 35400 KB  
Article
Detection and Continuous Tracking of Breeding Pigs with Ear Tag Loss: A Dual-View Synergistic Method
by Weijun Duan, Fang Wang, Honghui Li, Na Liu and Xueliang Fu
Animals 2025, 15(19), 2787; https://doi.org/10.3390/ani15192787 - 24 Sep 2025
Viewed by 13
Abstract
The lossof ear tags in breeding pigs can lead to the loss or confusion of individual identity information. Timely and accurate detection, along with continuous tracking of breeding pigs that have lost their ear tags, is crucial for improving the precision of farm [...] Read more.
The lossof ear tags in breeding pigs can lead to the loss or confusion of individual identity information. Timely and accurate detection, along with continuous tracking of breeding pigs that have lost their ear tags, is crucial for improving the precision of farm management. However, considering the real-time requirements for the detection of ear tag-lost breeding pigs, coupled with tracking challenges such as similar appearances, clustered occlusion, and rapid movements of breeding pigs, this paper proposed a dual-view synergistic method for detecting ear tag-lost breeding pigs and tracking individuals. First, a lightweight ear tag loss detector was developed by combining the Cascade-TagLossDetector with a channel pruning algorithm. Second, a synergistic architecture was designed that integrates a localized top-down view with a panoramic oblique view, where the detection results of ear tag-lost breeding pigs from the localized top-down view were mapped to the panoramic oblique view for precise localization. Finally, an enhanced tracker incorporating Motion Attention was proposed to continuously track the localized ear tag-lost breeding pigs. Experimental results indicated that, during the ear tag loss detection stage for breeding pigs, the pruned detector achieved a mean average precision of 94.03% for bounding box detection and 90.16% for instance segmentation, with a parameter count of 28.04 million and a detection speed of 37.71 fps. Compared to the unpruned model, the parameter count was reduced by 20.93 million, and the detection speed increased by 12.38 fps while maintaining detection accuracy. In the tracking stage, the success rate, normalized precision, and precision of the proposed tracker reached 86.91%, 92.68%, and 89.74%, respectively, representing improvements of 4.39, 3.22, and 4.77 percentage points, respectively, compared to the baseline model. These results validated the advantages of the proposed method in terms of detection timeliness, tracking continuity, and feasibility of deployment on edge devices, providing significant reference value for managing livestock identity in breeding farms. Full article
Show Figures

Figure 1

40 pages, 656 KB  
Article
The Impact of Digital–Green Synergy on Total Factor Productivity: Evidence from Chinese Listed Companies
by Dongfeng Chen, Junpeng Wang, Bin Li, Huihui Luo and Guangming Hou
Sustainability 2025, 17(5), 2200; https://doi.org/10.3390/su17052200 - 3 Mar 2025
Cited by 3 | Viewed by 1895
Abstract
Driven by the dual imperatives of global economic green transformation and the advancement of digital technologies, achieving synergistic enhancement through digitalization and greenization to promote sustainable development has become a focal point for both academia and practical fields. This study, utilizing a sample [...] Read more.
Driven by the dual imperatives of global economic green transformation and the advancement of digital technologies, achieving synergistic enhancement through digitalization and greenization to promote sustainable development has become a focal point for both academia and practical fields. This study, utilizing a sample of Chinese A-share listed companies from 2010 to 2023, aims to explore the transformative potential of digital–green synergy (DGS) for enhancing enterprise sustainable development within the realm of production efficiency improvement. Employing a coupling coordination model based on the entropy-weighted TOPSIS method, the research measures the DGS levels of enterprises. Grounded in strategic synergy theory, the resource-based view, and dynamic capability theory, this study thoroughly investigates the direct impacts of DGS on corporate TFP, intermediary mechanisms, moderating effects, and heterogeneous roles. The research findings robustly demonstrate that DGS can significantly improve enterprise TFP through optimizing resource allocation, reducing cost stickiness, and enhancing operational efficiency, thereby facilitating the dynamic reorganization of production factors and the creation of sustainable value. Furthermore, external factors, such as financing constraints and environmental regulation, alongside internal organizational factors like executive characteristics, are shown to exert significant moderating effects on the effectiveness of DGS. In summary, this research not only highlights the crucial role of DGS in enhancing production efficiency as a driver for high-quality corporate development and the pursuit of sustainable goals but also provides important theoretical guidance for policymakers to incentivize digital and green transformation. It also offers practical insights for enterprise managers to strategically formulate synergistic development strategies, enhance economic benefits, and achieve long-term sustainable performance. Beyond these practical implications, this study further enriches the theoretical landscape by first extending strategic synergy theory to firm-level digital–green synergy in emerging markets; second by enhancing sustainability research by adopting a broader “environment-society” framework; methodologically innovating by developing a novel “goal-strategy-input-technology” synergy measurement framework; and finally, deepening the theoretical understanding of DGS-TFP relationships through mechanism and moderator exploration. Full article
(This article belongs to the Special Issue Sustainable Digital Transformation and Corporate Practices)
Show Figures

Figure 1

24 pages, 1164 KB  
Article
Dynamic Analysis and Temporal Governance of Safety Risks: Evidence from Underground Construction Accident Reports
by Xiuyu Wu and Pengkai Sun
Sustainability 2024, 16(19), 8531; https://doi.org/10.3390/su16198531 - 30 Sep 2024
Cited by 1 | Viewed by 1368
Abstract
Due to the complexity and dynamics of underground construction projects, safety risk management has experienced significant challenges restricting the sustainable development of underground space. The research on risk causal chains and risk coupling has yet to reveal the dynamic interactive characteristics of these [...] Read more.
Due to the complexity and dynamics of underground construction projects, safety risk management has experienced significant challenges restricting the sustainable development of underground space. The research on risk causal chains and risk coupling has yet to reveal the dynamic interactive characteristics of these risk factors and their temporal relationships over time. This study utilized a complex system view for safety risk analysis, using 37 accident investigation reports of underground construction projects. Combined with two novel and emerging analytical methods, temporal qualitative comparative analysis and crisp-set qualitative comparative analysis, this study discusses the temporal relationship of risk factors to the cause of accidents and explores the multi-actor coupling characteristics of management risk. The findings indicate that (1) compared with general construction projects, underground construction should pay more attention to management safety risks because they have an obvious time lag effect expressed in all accident causation paths, namely, preceding management risk, management risk, and machine/material risk cross-concurrently, and management risk initiation and (2) underground construction project management risks have three key main paths, namely, single-actor-dominated management deficiency (supervisors, owners, and subcontractors that cause management risks as a single-core actor) and dual-actor-dominated management deficiency (owner and subcontractor as dual core actors of management risk). Multi-actor-dominated management deficiency (owners, subcontractors, and supervisors are the multiple core actors of management risk). This study thus developed a temporal governance framework of underground construction safety risks based on the synergy of multi-actors and proposed risk governance strategies, such as synergistic multi-actor governance, to consider the temporal relationship of safety risk. This study further reveals the temporal and coupling characteristics of safety risks to enrich the risk casual chain theory and risk coupling theory and establish a systematic risk analysis framework for new guidance for safety and risk management for underground construction projects. Full article
(This article belongs to the Special Issue Risk Management and Safety Engineering for a Sustainable Future)
Show Figures

Figure 1

25 pages, 32045 KB  
Article
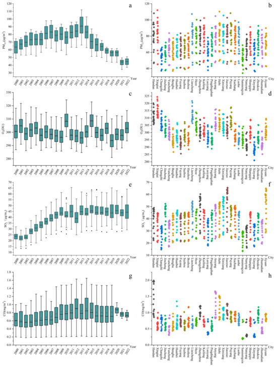
Analysis of Synergistic Benefits between Carbon Emissions and Air Pollution Based on Remote Sensing Observations: A Case Study of the Central Henan Urban Agglomeration
by Lijie He, Jingru Lv, Peipei He, Qingfeng Hu and Wenkai Liu
Sustainability 2024, 16(12), 4919; https://doi.org/10.3390/su16124919 - 7 Jun 2024
Cited by 2 | Viewed by 1719
Abstract
Reducing carbon emissions while controlling air pollution is a dual challenge for China. However, few studies have analyzed whether there is a synergy between the two. In view of this, this paper takes the urban agglomeration in Central Henan as an example, uses [...] Read more.
Reducing carbon emissions while controlling air pollution is a dual challenge for China. However, few studies have analyzed whether there is a synergy between the two. In view of this, this paper takes the urban agglomeration in Central Henan as an example, uses multi-source remote sensing and panel data from 2000 to 2022 and analyzes the spatiotemporal evolution patterns and synergistic benefits of air pollution and carbon emissions based on the spatial distribution direction analysis model, coupling coordination degree model and multi-scale geographic weighting model. The results indicate the following: (1) Carbon emissions show a growing trend, but the difference in the carbon emissions of different cities is relatively large, showing the characteristics of “one center and two zones” in space. Air pollution shows a trend of first increasing and then decreasing. (2) The synergistic benefits have been continuously enhanced, and the overall unbalanced state has gradually become coordinated. There is no obvious aggregation feature. (3) The impact of socioeconomic factors on the synergistic benefit is obviously stronger than that of natural ecological factors, among which the total energy consumption, population density and industrial structure are the leading factors of the synergistic benefit of carbon emissions and air pollution. This study offers valuable insights for green development, high-quality growth and collaborative environmental governance within the Central Henan urban agglomeration. Full article
Show Figures

Figure 1

33 pages, 10616 KB  
Article
Theoretical and Experimental Analysis of Hydroxyl and Epoxy Group Effects on Graphene Oxide Properties
by Ximena Jaramillo-Fierro and Guisella Cuenca
Nanomaterials 2024, 14(8), 714; https://doi.org/10.3390/nano14080714 - 19 Apr 2024
Cited by 9 | Viewed by 2755
Abstract
In this study, we analyzed the impact of hydroxyl and epoxy groups on the properties of graphene oxide (GO) for the adsorption of methylene blue (MB) dye from water, addressing the urgent need for effective water purification methods due to industrial pollution. Employing [...] Read more.
In this study, we analyzed the impact of hydroxyl and epoxy groups on the properties of graphene oxide (GO) for the adsorption of methylene blue (MB) dye from water, addressing the urgent need for effective water purification methods due to industrial pollution. Employing a dual approach, we integrated experimental techniques with theoretical modeling via density functional theory (DFT) to examine the atomic structure of GO and its adsorption capabilities. The methodology encompasses a series of experiments to evaluate the performance of GO in MB dye adsorption under different conditions, including differences in pH, dye concentration, reaction temperature, and contact time, providing a comprehensive view of its effectiveness. Theoretical DFT calculations provide insights into how hydroxyl and epoxy modifications alter the electronic properties of GO, improving adsorption efficiency. The results demonstrate a significant improvement in the dye adsorption capacity of GO, attributed to the interaction between the functional groups and MB molecules. This study not only confirms the potential of GO as a superior adsorbent for water treatment, but also contributes to the optimization of GO-based materials for environmental remediation, highlighting the synergy between experimental observations and theoretical predictions in advances in materials science to improve sustainability. Full article
Show Figures

Figure 1

17 pages, 2369 KB  
Review
Science with the ASTRI Mini-Array: From Experiment to Open Observatory
by Stefano Vercellone
Universe 2024, 10(2), 94; https://doi.org/10.3390/universe10020094 - 16 Feb 2024
Cited by 2 | Viewed by 1720
Abstract
Although celestial sources emitting in the few tens of GeV up to a few TeV are being investigated by imaging atmospheric Čerenkov telescope arrays such as H.E.S.S., MAGIC, and VERITAS, at higher energies, up to PeV, more suitable instrumentation is required to detect [...] Read more.
Although celestial sources emitting in the few tens of GeV up to a few TeV are being investigated by imaging atmospheric Čerenkov telescope arrays such as H.E.S.S., MAGIC, and VERITAS, at higher energies, up to PeV, more suitable instrumentation is required to detect ultra-high-energy photons, such as extensive air shower arrays, as HAWC, LHAASO, Tibet AS-γ. The Italian National Institute for Astrophysics has recently become the leader of an international project, the ASTRI Mini-Array, with the aim of installing and operating an array of nine dual-mirror Čerenkov telescopes at the Observatorio del Teide in Spain starting in 2025. The ASTRI Mini-Array is expected to span a wide range of energies (1–200 TeV), with a large field of view (about 10 degrees) and an angular and energy resolution of ∼3 arcmin and ∼10 %, respectively. The first four years of operations will be dedicated to the exploitation of Core Science, with a small and selected number of pointings with the goal of addressing some of the fundamental questions on the origin of cosmic rays, cosmology, and fundamental physics, the time-domain astrophysics and non γ-ray studies (e.g., stellar intensity interferometry and direct measurements of cosmic rays). Subsequently, four more years will be dedicated to Observatory Science, open to the scientific community through the submission of observational proposals selected on a competitive basis. In this paper, I will review the Core Science topics and provide examples of possible Observatory Science cases, taking into account the synergies with current and upcoming observational facilities. Full article
(This article belongs to the Special Issue Recent Advances in Gamma Ray Astrophysics and Future Perspectives)
Show Figures

Figure 1

16 pages, 11709 KB  
Article
Local Motion Planner for Autonomous Navigation in Vineyards with a RGB-D Camera-Based Algorithm and Deep Learning Synergy
by Diego Aghi, Vittorio Mazzia and Marcello Chiaberge
Machines 2020, 8(2), 27; https://doi.org/10.3390/machines8020027 - 25 May 2020
Cited by 59 | Viewed by 7231
Abstract
With the advent of agriculture 3.0 and 4.0, in view of efficient and sustainable use of resources, researchers are increasingly focusing on the development of innovative smart farming and precision agriculture technologies by introducing automation and robotics into the agricultural processes. Autonomous agricultural [...] Read more.
With the advent of agriculture 3.0 and 4.0, in view of efficient and sustainable use of resources, researchers are increasingly focusing on the development of innovative smart farming and precision agriculture technologies by introducing automation and robotics into the agricultural processes. Autonomous agricultural field machines have been gaining significant attention from farmers and industries to reduce costs, human workload, and required resources. Nevertheless, achieving sufficient autonomous navigation capabilities requires the simultaneous cooperation of different processes; localization, mapping, and path planning are just some of the steps that aim at providing to the machine the right set of skills to operate in semi-structured and unstructured environments. In this context, this study presents a low-cost, power-efficient local motion planner for autonomous navigation in vineyards based only on an RGB-D camera, low range hardware, and a dual layer control algorithm. The first algorithm makes use of the disparity map and its depth representation to generate a proportional control for the robotic platform. Concurrently, a second back-up algorithm, based on representations learning and resilient to illumination variations, can take control of the machine in case of a momentaneous failure of the first block generating high-level motion primitives. Moreover, due to the double nature of the system, after initial training of the deep learning model with an initial dataset, the strict synergy between the two algorithms opens the possibility of exploiting new automatically labeled data, coming from the field, to extend the existing model’s knowledge. The machine learning algorithm has been trained and tested, using transfer learning, with acquired images during different field surveys in the North region of Italy and then optimized for on-device inference with model pruning and quantization. Finally, the overall system has been validated with a customized robot platform in the appropriate environment. Full article
Show Figures

Figure 1

33 pages, 7529 KB  
Article
Estimating Forest Aboveground Biomass by Combining ALOS PALSAR and WorldView-2 Data: A Case Study at Purple Mountain National Park, Nanjing, China
by Songqiu Deng, Masato Katoh, Qingwei Guan, Na Yin and Mingyang Li
Remote Sens. 2014, 6(9), 7878-7910; https://doi.org/10.3390/rs6097878 - 25 Aug 2014
Cited by 49 | Viewed by 8554
Abstract
Enhanced methods are required for mapping the forest aboveground biomass (AGB) over a large area in Chinese forests. This study attempted to develop an improved approach to retrieving biomass by combining PALSAR (Phased Array type L-band Synthetic Aperture Radar) and WorldView-2 data. A [...] Read more.
Enhanced methods are required for mapping the forest aboveground biomass (AGB) over a large area in Chinese forests. This study attempted to develop an improved approach to retrieving biomass by combining PALSAR (Phased Array type L-band Synthetic Aperture Radar) and WorldView-2 data. A total of 33 variables with potential correlations with forest biomass were extracted from the above data. However, these parameters had poor fits to the observed biomass. Accordingly, the synergies of several variables were explored to identify improved relationships with the AGB. Using principal component analysis and multivariate linear regression (MLR), the accuracies of the biomass estimates obtained using PALSAR and WorldView-2 data were improved to approximately 65% to 71%. In addition, using the additional dataset developed from the fusion of FBD (fine beam dual-polarization) and WorldView-2 data improved the performance to 79% with an RMSE (root mean square error) of 35.13 Mg/ha when using the MLR method. Moreover, a further improvement (R2 = 0.89, relative RMSE = 17.08%) was obtained by combining all the variables mentioned above. For the purpose of comparison with MLR, a neural network approach was also used to estimate the biomass. However, this approach did not produce significant improvements in the AGB estimates. Consequently, the final MLR model was recommended to map the AGB of the study area. Finally, analyses of estimated error in distinguishing forest types and vertical structures suggested that the RMSE decreases gradually from broad-leaved to coniferous to mixed forest. In terms of different vertical structures (VS), VS3 has a high error because the forest lacks undergrowth trees, while VS4 forest, which has approximately the same amounts of stems in each of the three DBH (diameter at breast height) classes (DBH > 20, 10 ≤ DBH ≤ 20, and DBH < 10 cm), has the lowest RMSE. This study demonstrates that the combination of PALSAR and WorldView-2 data is a promising approach to improve biomass estimation. Full article
Show Figures

Graphical abstract

Back to TopTop