Sign in to use this feature.

Years

Between: -

Subjects

remove_circle_outline
remove_circle_outline
remove_circle_outline
remove_circle_outline
remove_circle_outline
remove_circle_outline
remove_circle_outline
remove_circle_outline
remove_circle_outline

Journals

Article Types

Countries / Regions

Search Results (117)

Search Parameters:
Keywords = death certificate

Order results
Result details
Results per page
Select all
Export citation of selected articles as:
11 pages, 2202 KB  
Article
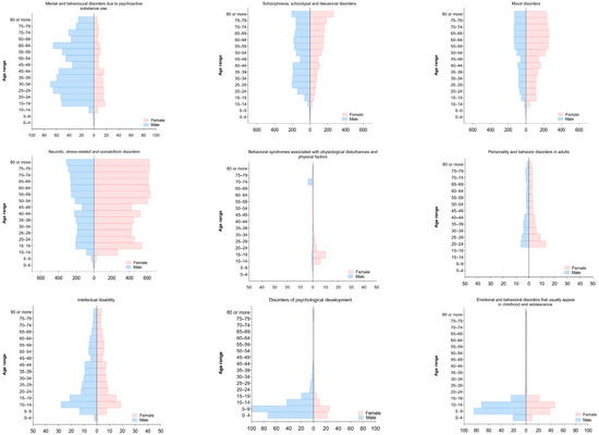
Burden of Mental and Behavioral Disorders in Colombia, 2022: A Subnational Analysis Based on Disability-Adjusted Life Years
by Karen Julieth Quintero Díaz, Oscar Alexander Gutierrez Lesmes and Emilce Salamanca Ramos
Int. J. Environ. Res. Public Health 2025, 22(12), 1854; https://doi.org/10.3390/ijerph22121854 - 12 Dec 2025
Viewed by 439
Abstract
Mental disorders encompass conditions that affect cognition, emotions, and behavior, representing a major public health challenge. In Colombia, there are no studies that estimate the burden of disease caused by mental and behavioral disorders. This study aimed to determine the burden of disease [...] Read more.
Mental disorders encompass conditions that affect cognition, emotions, and behavior, representing a major public health challenge. In Colombia, there are no studies that estimate the burden of disease caused by mental and behavioral disorders. This study aimed to determine the burden of disease attributable to these conditions in the departments of Colombia in 2022. A burden of disease analysis was conducted using official national data sources, including the Individual Health Service Delivery Records and death certificates from the Vital Statistics System, consolidated by the Ministry of Health and Social Protection within the Integrated Social Protection Information System. Estimation methods followed the World Health Organization’s Global Health Estimates framework. Disability-Adjusted Life Years were used as the summary measure, integrating mortality and non-fatal outcomes to quantify the overall population impact. A total of 296,010.6 Disability-Adjusted Life Years were estimated (95% UI: 279,343.2–312,678), representing a rate of 572.7 (95% UI: 540.5–605) per 100,000 population. Anxiety accounted for 47.26%. Women represented 60.86% of the total burden, with 180,157.6 (95% UI: 165,046.3–195,268.9). Overall, 99.27% of the burden from mental and behavioral disorders was due to Years Lived with Disability, underscoring the substantial impact on quality of life, particularly among women. Full article
(This article belongs to the Section Behavioral and Mental Health)
Show Figures

Figure 1

11 pages, 432 KB  
Article
Accuracy of Death Certificates for Children: A Population-Based Retrospective Analysis
by Masahito Yamamoto, Masahito Hitosugi, Eisuke Ito, Kohei Takashima, Mami Nakamura, Seiro Narumiya and Yoshihiro Maruo
Pediatr. Rep. 2025, 17(6), 115; https://doi.org/10.3390/pediatric17060115 - 3 Nov 2025
Viewed by 523
Abstract
Background/Objective: Accurate determination and documentation of causes of death in children are essential for generating reliable mortality statistics and guiding public health strategies. Previous studies have reported frequent inaccuracies in pediatric death certificates (DCs), including the use of vague terms, omissions of [...] Read more.
Background/Objective: Accurate determination and documentation of causes of death in children are essential for generating reliable mortality statistics and guiding public health strategies. Previous studies have reported frequent inaccuracies in pediatric death certificates (DCs), including the use of vague terms, omissions of relevant conditions, and variability across physician specialties. This study evaluated the accuracy of pediatric DCs in Shiga Prefecture, Japan; identified common errors in these DCs; and examined changes in the underlying causes of pediatric death before and after the COVID-19 pandemic. Methods: We performed a population-based retrospective review of 391 DCs for individuals under 18 years issued between 2015 and 2023. Two pediatricians and two forensic pathologists independently reviewed each DC, assessed accuracy, and classified errors using predefined criteria. Error rates were compared by physician specialty. Underlying causes of death were reassessed into ten categories, and their distributions were compared between 2015–2019 and 2020–2023. Results: Overall, 30.9% of DCs contained errors. The error rates differed by physician specialty: obstetricians had the highest error rate (92.9%), whereas forensic physicians had the lowest (8.4%). The most common error type was the use of non-specific mechanisms such as “cardiac arrest” or “respiratory failure”, rather than the actual causes of death. Congenital anomalies were often listed under other significant conditions contributing to death and not as an underlying cause of death. After the onset of the COVID-19 pandemic, deaths from acute diseases declined from 16.8% to 4.0%, while deaths from congenital disorders increased from 12.6% to 24.3%. Conclusions: Pediatric DCs often contain errors, particularly those completed by obstetricians. Misclassifying mechanisms as causes of death and underreporting congenital anomalies remain the main challenges. Strengthening physician education and introducing systematic review processes are essential to improve accuracy, clarify regional mortality trends, and guide effective public health interventions. Full article
Show Figures

Figure 1

10 pages, 836 KB  
Article
Coccidioidomycosis-Attributable Death in the United States: An Analysis of Cases Reported on Death Certificates, 2018–2023
by Huiqiao Fan, Fariba Donovan, Belinda Lovelace and Craig I. Coleman
J. Fungi 2025, 11(11), 766; https://doi.org/10.3390/jof11110766 - 24 Oct 2025
Viewed by 741
Abstract
Contemporary data on coccidioidomycosis death rates are sparse. Death certificate data for 2018–2023 from the US National Vital Statistics System were evaluated. Coccidioidomycosis deaths were identified using diagnosis codes B38.x listed anywhere on certificates. Deaths and age-adjusted mortality rates (AAMRs)/1,000,000 people, with 95% [...] Read more.
Contemporary data on coccidioidomycosis death rates are sparse. Death certificate data for 2018–2023 from the US National Vital Statistics System were evaluated. Coccidioidomycosis deaths were identified using diagnosis codes B38.x listed anywhere on certificates. Deaths and age-adjusted mortality rates (AAMRs)/1,000,000 people, with 95% confidence intervals (CIs), were determined. We identified 1760 coccidioidomycosis-attributable deaths (AAMR = 0.75; 0.72–0.79). Most occurred in 55–74-year-olds (43.9%; corresponding AAMR = 1.72; 1.59–1.84). Males had a 2.69-fold increased AAMR versus females and American Indian or Alaska Native individuals had a 4.28-fold increased rate versus White individuals. Hispanics had a higher AAMR than the overall population (AAMR = 1.92; 1.76–2.08). AAMRs increased from 0.52 in 2019 to 0.79–0.94 in later years. Most (89.7%) death certificates were from endemic states, with Arizona having the highest AAMR. Seven hundred and thirteen certificates (40.5%) listed coccidioidomycosis as the primary cause of death, with 43.8% coded for pulmonary, 34.9% coded for disseminated, and 21.3% coded for unspecified coccidioidomycosis. Diabetes, COVID-19, and human immunodeficiency virus were more frequent on certificates with coccidioidomycosis versus without (RR range = 1.47–17.20). Mortality remained closely tied to demographic and geographic factors identified in prior studies, with county-level mapping revealing high-burden areas for targeted intervention. Coccidioidomycosis-attributable AAMRs rose over time, possibly influenced by concurrent COVID-19 infection. Only 40% of death certificates listed it as the primary cause, indicating that most patients experience chronic infection rather than death directly from the disease. These findings suggest the need for heightened clinical awareness of coccidioidomycosis, along with earlier diagnosis and prompt initiation of antifungal treatment in these high-risk groups. Full article
(This article belongs to the Section Fungal Pathogenesis and Disease Control)
Show Figures

Figure 1

24 pages, 338 KB  
Article
State-by-State Review: The Spread of Law Enforcement Accountability Policies
by Hossein Zare, Danielle R. Gilmore, Khushbu Balsara, Celina Renee Pargas, Rebecca Valek, Andrea N. Ponce, Niloufar Masoudi, Michelle Spencer, Tatiana Y. Warren and Cassandra Crifasi
Soc. Sci. 2025, 14(8), 483; https://doi.org/10.3390/socsci14080483 - 5 Aug 2025
Viewed by 4323
Abstract
Purpose: Following George Floyd’s death, the push for law enforcement accountability policies has intensified. Despite robust legislative action, challenges in enacting and implementing meaningful reforms persist. This study analyzes police accountability policies (PAP) in the U.S. from 2020 to 2022, identifying barriers and [...] Read more.
Purpose: Following George Floyd’s death, the push for law enforcement accountability policies has intensified. Despite robust legislative action, challenges in enacting and implementing meaningful reforms persist. This study analyzes police accountability policies (PAP) in the U.S. from 2020 to 2022, identifying barriers and facilitators through expert perspectives in enforcement oversight, policy advocacy, and community engagement. Methods: The study used a dual approach: analyzing 226 police accountability bills from all 50 U.S. states, D.C., and Puerto Rico via the National Conference of State Legislatures database, and categorizing them into six key areas such as training, technology use, and certification. Additionally, a survey was conducted among experts to identify the challenges and drivers in passing police accountability legislation. Findings: A legislative analysis showed that although 35 states passed police accountability laws, California, New Jersey, Oklahoma, and Colorado have made significant strides by passing multiple pieces of legislation aimed at enhancing law enforcement accountability and ensuring better policing practices. The most common policies focused on training and technology, enacted by 16 and 12 states, respectively. However, crucial certification and decertification policies were adopted in just 13 states, highlighting the inconsistent implementation of measures critical for police accountability and transparency. The survey identified several barriers to passing PAP, including inadequate support from local governments (72.7%). Structural exclusion of poor and minority communities from policing resources was also a significant barrier (54.5%). Facilitators included community support (81.8%) and a cultural shift in policing towards viewing officers as “guardians” rather than “warriors” (63.6%). Conclusions: While some progress has been made in passing PAP, considerable gaps remain, particularly in enforcement and comprehensive reform. Resistance from law enforcement institutions, lack of community support, and structural inequalities continue to impede the adoption of effective PAP. Full article
11 pages, 1531 KB  
Article
Mortality Associated with Orofacial Clefts in Brazil
by Amanda de Andrade Costa, Hildeth Maisa Torres Farias, Daniella Reis B. Martelli, Verônica Oliveira Dias, Brazilian Oral Cleft Group, Ricardo D. Coletta and Hercílio Martelli Junior
Dent. J. 2025, 13(7), 282; https://doi.org/10.3390/dj13070282 - 23 Jun 2025
Cited by 1 | Viewed by 1164
Abstract
Background/Objectives: Orofacial clefts are congenital anomalies that cause substantial morbidity and mortality. This study aimed to investigate temporal and geographic trends in mortality among Brazilian individuals with orofacial clefts listed as the underlying cause of death on death certificates. Methods: A retrospective cross-sectional [...] Read more.
Background/Objectives: Orofacial clefts are congenital anomalies that cause substantial morbidity and mortality. This study aimed to investigate temporal and geographic trends in mortality among Brazilian individuals with orofacial clefts listed as the underlying cause of death on death certificates. Methods: A retrospective cross-sectional study was conducted using data from the Department of Informatics of the Brazilian Unified Health System (DATASUS) from 1996 to 2023. Results: The mortality information system registered 987 deaths related to orofacial clefts, with 880 patients under 1 year of age. There was a downward trend in annual mortality rates from 1996 to 2019, followed by an increase from 2020 to 2023. The main associated cause of death was respiratory and cardiovascular disorders. The mortality rate for infants under 1 year with orofacial clefts showed greater variation than did the mortality rate of children who died of other causes. The reduction in mortality rates from 1996 to 2019 occurred during the expansion and strengthening of DATASUS and its coordination with other levels of healthcare. The rise in mortality between 2020 and 2023 coincided with a reduction in surgical procedures due to the COVID-19 pandemic. Conclusions: This study revealed a decline in deaths from orofacial clefts in Brazil over several decades. These findings emphasize the importance of addressing preventable causes of death, including respiratory infections and malnutrition. High mortality within the first year of life—particularly among newborns under 28 days—highlights a critical shortage of pediatricians and its impact on care for individuals with craniofacial anomalies. Full article
(This article belongs to the Special Issue Trends in Orofacial Cleft Research)
Show Figures

Figure 1

14 pages, 1512 KB  
Article
Cause-Specific Mortality in Patients Hospitalized for Myocarditis from 2004 to 2021: A Retrospective Statewide Population-Linkage Study
by Timothy N. Kwan, Jayant Ravindran, Noor Alsadat, Gemma Kwan, David Brieger, Vincent Chow, Leonard Kritharides and Austin Chin Chwan Ng
J. Clin. Med. 2025, 14(12), 4089; https://doi.org/10.3390/jcm14124089 - 10 Jun 2025
Viewed by 2377
Abstract
Background: Myocarditis is a life-threatening condition with an increasing incidence in the past two decades. Little is known about the frequency of specific causes of death following myocarditis. This study aimed to identify the different causes of death after myocarditis diagnosis and determine [...] Read more.
Background: Myocarditis is a life-threatening condition with an increasing incidence in the past two decades. Little is known about the frequency of specific causes of death following myocarditis. This study aimed to identify the different causes of death after myocarditis diagnosis and determine factors associated with mortality. Methods: We conducted a retrospective population-wide observational study in New South Wales (NSW), Australia from July 2004 to September 2021. Data were attained from the NSW Admitted Patient Data Collection database and death was tracked from the death registry to 31 March 2022. Cause of death was ascertained from manual reviews of all death certificates and adjudicated independently by three reviewers. Results: Among 4071 unique index admissions for myocarditis (median age: 42 years; 66% male), cumulative all-cause mortality was 4.5% in-hospital, 8.2% at 1 year, 13.3% at 5 years and 15.5% by the end of follow up (median 5.3 years). Within 30 days of admission, the leading cause of death was cardiovascular (66%), including myocarditis (36%) and heart failure (12%). Non cardiovascular causes accounted for 32% of deaths and included infection (17%) and malignancy (6%). Beyond 30 days, cardiovascular deaths declined to 34% (only 3% due to myocarditis). Higher mortality risk was associated with older age, higher Charlson comorbidity index, and myocarditis complicated by intensive care unit admission, heart failure, stroke, or arrhythmia. Conclusions: Patients admitted with myocarditis face significant mortality risks. The highest mortality occurs within the first 30 days, predominantly due to cardiovascular causes, although after 30 days the predominant cause of death shifts to non-cardiovascular causes. Full article
(This article belongs to the Section Cardiology)
Show Figures

Figure 1

18 pages, 1017 KB  
Article
Dementia Deaths Most Commonly Result from Heart and Lung Disease: Evidence from the South Carolina Alzheimer’s Disease Registry
by Daniel A. Amoatika, John R. Absher, Md Tareq Ferdous Khan and Maggi C. Miller
Biomedicines 2025, 13(6), 1321; https://doi.org/10.3390/biomedicines13061321 - 28 May 2025
Cited by 1 | Viewed by 3017
Abstract
Background: Cardiovascular disease (CVD) significantly impacts Alzheimer’s Disease and Related Dementia (AD/ADRD) mortality. South Carolina has a high incidence of CVD and dementia mortality. The aim of this study, therefore, was to examine the neurological causes of death and the leading causes of [...] Read more.
Background: Cardiovascular disease (CVD) significantly impacts Alzheimer’s Disease and Related Dementia (AD/ADRD) mortality. South Carolina has a high incidence of CVD and dementia mortality. The aim of this study, therefore, was to examine the neurological causes of death and the leading causes of death in the South Carolina Alzheimer’s Disease Registry (SCADR). Method: Data from 2005–2018 were extracted from the SCADR using ICD-9 and ICD-10 codes. The top 10 leading causes of death (LCOD) were identified using death certificates. Some neurological causes of death were operationalized by combining related ICD codes, such as CVD_C (I219, I251, I500, I64) and chronic obstructive pulmonary disease (COP_C), (J449, C349), and χ2 was used to compare socio-demographic characteristics and mortality. Adjusted hazard ratios (aHR) and 95% confidence intervals (CI) were estimated using extended Cox Proportional Hazard modeling, adjusting for socio-demographic factors. Results: A total of 207,093 registry cases were included in the analysis. About 70% of cases had Alzheimer’s Disease (AD) diagnosis, and 40% of all cases were 85 years and older. The LCOD was CVD_C (13.4%). The risk of death among cases with vascular dementia (VaD) was 1.17 times the risk of death among those with AD (aHR: 1.172, 95% CI: 1.148–1.196). Among all deaths, cases with COP_C had a significantly higher likelihood of death compared to those with CVD_C (aHR: 1.06, 95% CI: 1.025–1.090). Conclusions: The study highlights CVD_C as the LCOD in frequency, with survival analysis indicating COP_C risk of death as significantly higher compared to CVD_C deaths. There is a need to prioritize CVD and lung-related comorbidity prevention, assessment, and management programs for individuals living with ADRD. Full article
Show Figures

Figure 1

12 pages, 1304 KB  
Article
The Interplay of Cancer and Hypertension: Rising Mortality and Widening Disparities Across the United States (1999–2023)
by Ibrahim Ali Nasser, Shereen Asghar, Laraib Masud, Muhammad Ali Hafeez, Sonia Hurjkaliani, Eeshal Zulfiqar, Maryam Shahzad, Husain Ahmed, Shahrukh Khan, Sajeel Ahmed, Qadeer Abdul, Muhammed Ameen Noushad, Rabia Nusrat, Sana Azhar, Charles Dominic Ward, Mushood Ahmed and Raheel Ahmed
Medicina 2025, 61(5), 917; https://doi.org/10.3390/medicina61050917 - 19 May 2025
Viewed by 1694
Abstract
Background and Objectives: Growing evidence suggests a strong relationship between hypertension and cancer, which can increase the risk of poor prognosis. However, data regarding mortality related to cancer and hypertension are limited. Our study aims to analyze the mortality trends related to [...] Read more.
Background and Objectives: Growing evidence suggests a strong relationship between hypertension and cancer, which can increase the risk of poor prognosis. However, data regarding mortality related to cancer and hypertension are limited. Our study aims to analyze the mortality trends related to cancer and hypertension in the United States from 1999 to 2023. Materials and Methods: A retrospective observational analysis was conducted using mortality data for the adult U.S. population from 1999 to 2023, retrieved from the CDC WONDER database using death certificates. Age-adjusted mortality rates (AAMRs) were calculated, and annual percentage changes (APCs) were analyzed using JoinPoint Regression. Results: From 1999 to 2023, a total of 1,406,107 deaths related to cancer and hypertension were recorded in the United States. The AAMR increased from 12.59 in 1999 to 35.49 in 2023. Males had a higher mortality rate compared to women throughout the study period (AAMR; 30.3 vs. 20.4). Non-Hispanic (NH) Black Americans, or African Americans had the highest mortality rates, followed by NH white, Hispanic or Latino groups, and other NH groups. The highest AAMR was observed in the South, followed by the Midwest, the Northeast, and the West. Rural areas had higher mortality rates compared to urban areas. Conclusions: Cancer- and hypertension-related mortality rates have consistently increased in the United States from 1999 to 2023, particularly affecting males, NH Black Americans, the southern region, and rural areas. The trends highlight the need for targeted prevention, including early screening, lifestyle changes, and treatment adherence. Full article
(This article belongs to the Special Issue New Insights into Hypertension and the Cardiovascular System)
Show Figures

Figure 1

10 pages, 819 KB  
Article
Mortality Trends in Patients Undergoing Hemodialysis, 2003–2021: Data from National Health Insurance Service in Korea
by Kyung Won Kim, Yoonjong Bae, Jee Young Lee, Young-Il Jo and AJin Cho
J. Clin. Med. 2025, 14(9), 2987; https://doi.org/10.3390/jcm14092987 - 25 Apr 2025
Viewed by 1224
Abstract
Background: Assessing recent changes in mortality among patients undergoing hemodialysis (HD) can help both to identify the causes of death most closely associated with these changes and to develop prevention strategies. This study explored trends in all-cause and cause-specific mortality among patients [...] Read more.
Background: Assessing recent changes in mortality among patients undergoing hemodialysis (HD) can help both to identify the causes of death most closely associated with these changes and to develop prevention strategies. This study explored trends in all-cause and cause-specific mortality among patients undergoing HD in South Korea using an analysis of national data. Methods: We used national death certificate and claims data from 2003 to 2021 provided by the National Health Insurance Service. Age-standardized mortality rates (ASRs) were calculated by standardizing to the 2011 population of patients undergoing HD. Joinpoint regression analysis was performed to calculate the annual percentage change (APC) in mortality. All-cause and cause-specific ASRs and APCs were evaluated for the study period. Results: The proportion of male and older adult patients increased over time. In particular, the proportion of patients aged ≥ 80 years in the 2018–2021 period was more than 4 times higher than in the 2003–2007 period. From 2003 to 2021, there were a total of 136,302 deaths among patients undergoing HD in South Korea. Cardiovascular causes accounted for 13.6% of deaths, and the majority (86.4%) were attributed to noncardiovascular causes. In 2003, the all-cause ASR was 174.1 per 1000 person-years, which steadily decreased to 114.5 per 1000 person-years in 2021. The ASR from cardiovascular disease remained unchanged from 2003 to 2013 but increased by 3.9% (95% confidence interval: 1.3 to 14.0) per year from 2013 to 2021. In contrast, the ASR from noncardiovascular disease decreased during the study period. Conclusions: Nationally representative data showed a declining trend in the ASR among patients undergoing HD from 2003 to 2021. Noncardiovascular disease mortality decreased during the study period, while cardiovascular disease mortality increased. Full article
(This article belongs to the Section Nephrology & Urology)
Show Figures

Figure 1

14 pages, 2130 KB  
Article
Neutrophil-to-Lymphocyte Ratio as a Prognostic Biomarker for Long-Term Survival in Older Adults at a Mental Health Care Center: A Historical Cohort Analysis
by Piotr Paweł Chmielewski, Bartłomiej Strzelec, Paul Mozdziak and Bartosz Kempisty
J. Clin. Med. 2025, 14(7), 2509; https://doi.org/10.3390/jcm14072509 - 7 Apr 2025
Cited by 5 | Viewed by 2547
Abstract
Background/Objectives: Identifying reliable biomarkers for healthy aging and longevity is a fundamental challenge in aging research and medical sciences. The neutrophil-to-lymphocyte ratio (NLR) is a readily measurable indicator of immune balance that reflects the interplay between innate immune activation and adaptive immune [...] Read more.
Background/Objectives: Identifying reliable biomarkers for healthy aging and longevity is a fundamental challenge in aging research and medical sciences. The neutrophil-to-lymphocyte ratio (NLR) is a readily measurable indicator of immune balance that reflects the interplay between innate immune activation and adaptive immune suppression. Methods: This study examined NLR values in 204 physically healthy residents (98 men and 106 women) stratified into four lifespan categories based on death certificates. Page’s test and ordinal regression (Cumulative Link Model) were used to assess trends with longevity. Results: In men, a downward trend in NLR values was observed. In women, a significant age-related decline in NLR was identified, with longer-lived individuals showing notably lower NLR values compared to their shorter-lived counterparts. The findings suggest that lower NLR is associated with longer survival, particularly in older women, reflecting superior immune regulation and reduced systemic inflammation. Conversely, elevated NLR may indicate immune dysfunction and heightened inflammatory burden. Conclusions: The results of this study complement existing findings, reinforcing the critical importance of immune balance in supporting healthy aging and longevity. These findings also underscore the potential of NLR as a robust biomarker for evaluating immune function and anticipating resilience to age-related decline, offering a practical tool for assessing immune health in the aging population. Full article
(This article belongs to the Section Epidemiology & Public Health)
Show Figures

Figure 1

21 pages, 406 KB  
Systematic Review
Completeness Evaluation of Adult-Population-Based Cancer Registries: A Systematic Review
by Mariana P. Sousa, Teresa Monjardino, Cristina Costa Santos, Lúcio Lara and Maria José Bento
Cancers 2025, 17(7), 1123; https://doi.org/10.3390/cancers17071123 - 27 Mar 2025
Cited by 2 | Viewed by 2116
Abstract
Population-based cancer registries are crucial for tracking cancer trends, supporting research, guiding policy decisions, and ensuring efficient healthcare resource allocation. However, their effectiveness relies heavily on data quality, specifically the completeness of the cancer registration process. Background/Objectives: This systematic review aims to identify [...] Read more.
Population-based cancer registries are crucial for tracking cancer trends, supporting research, guiding policy decisions, and ensuring efficient healthcare resource allocation. However, their effectiveness relies heavily on data quality, specifically the completeness of the cancer registration process. Background/Objectives: This systematic review aims to identify the methods used by adult population-based cancer registries worldwide to assess the completeness of their data. It also considered the significant role of high-quality data in method selection and the significant challenges of data handling. Methods: A comprehensive electronic literature search was conducted across the Web of Science, Scopus, and PubMed for studies published from January 2004 to December 2024. The review was written according to PRISMA guidelines, and the risk of bias was assessed using the Joanna Briggs Institute tool. Results: The review identified 83 studies from 31 countries, the majority from Europe, especially Nordic and Central European countries. Most studies met high-quality standards, with only one study scoring below 75%. Common approaches include independent case ascertainment (the most used), a capture–recapture analysis, a death-certificate-only analysis, and comparisons with historical rates. While independent case ascertainment is valuable when high-quality auxiliary sources are available, its accuracy varies. Other methods, like capture-recapture or Mortality-to-Incidence ratios, may be more accurate or feasible in some cases. Conclusions: The findings suggest that methods for completeness evaluations vary widely across registries, influenced by data quality and regional practices. The results emphasize the importance of the continuous refinement of these assessment methods to improve the reliability and global comparability of cancer registry data. Full article
(This article belongs to the Special Issue Advances in Cancer Data and Statistics: 2nd Edition)
16 pages, 5310 KB  
Article
Acute Myocardial Infarction Mortality in the Older Population of the United States: An Analysis of Demographic and Regional Trends and Disparities from 1999 to 2022
by Ali Bin Abdul Jabbar, Mason Klisares, Kyle Gilkeson and Ahmed Aboeata
J. Clin. Med. 2025, 14(7), 2190; https://doi.org/10.3390/jcm14072190 - 23 Mar 2025
Cited by 6 | Viewed by 3249
Abstract
Background/Objectives: Acute myocardial infarction (AMI) has been a leading cause of mortality in the US. Though AMI mortality has been decreasing in the US, significant disparities have persisted. We aim to evaluate disparities in AMI-related deaths in the US from 1999 to [...] Read more.
Background/Objectives: Acute myocardial infarction (AMI) has been a leading cause of mortality in the US. Though AMI mortality has been decreasing in the US, significant disparities have persisted. We aim to evaluate disparities in AMI-related deaths in the US from 1999 to 2022. Methods: Data from the Centers for Disease Control and Prevention Wide-ranging Online Data for Epidemiologic Research (CDC WONDER) multiple causes of death database were used to analyze death certificates from 1999 to 2022 for AMI-related deaths among United States older adults (aged ≥ 65) for overall trend and disparities based on demographic (sex, race/ethnicity, and ten-year age groups) and regional (census regions, rural-urban status, and states) subgroups. Rural and urban status were distinguished using definitions set by the 2013 NCHS Urban-Rural Classification scheme for counties. These data come from the 2010 Census report and are updated from the 2006 NCHS Urban-Rural Classification scheme for counties. The crude mortality rate (CMR) and age-adjusted mortality rates (AAMRs) per 100,000 people were used to calculate annual percentage changes (APCs) and average annual percentage changes (AAPCs) using Joinpoint regression analysis. Results: From 1999 to 2022, there were 3,249,542 deaths due to AMI. Overall, age-adjusted mortality rates (AAMRs) decreased by 62.78% from 563.2 * (95% CI 560.3–565.7) in 1999 to a nadir at 209.6 * (208.3–210.8) in 2019, with an AAPC of −4.96 * (95% CI −5.11 to −4.81). There were a total of 355,441 deaths from AMI from 2020 to 2022; 21,216 (5.97%) of those were from AMI with COVID-19 infection. An increase of 11.4% was observed from an AAMR of 209.6 * (95% CI 208.3–210.8) in 2019 to 233.5 * (95% CI 232.2–234.8) in 2021. From 2021 to 2022, the AAMR of AMI decreased from 233.5 * (95% CI 232.2–234.8) to 209.8 * (95% CI 208.6–211), recovering to the 2019 levels. The AAMR for AMI excluding associated COVID-19 infection was 217.2 at its peak in 2021, which correlates to only a 3.63% increase from 2019. Significant disparities in AMI mortality were observed, with higher mortality rates in men, African Americans, the oldest age group (age ≥ 85), and those living in southern states and rural areas. Conclusions: AMI mortality in the older adult population of the US has significantly decreased from 1999 to 2019, with a brief increase during the pandemic from 2019 to 2021, followed by recovery back to the 2019 level in 2022. The majority of the rise observed during the pandemic was associated with COVID-19 infection. Despite remarkable improvement in mortality, significant disparities have persisted, with men, African Americans, and those living in rural areas and the southern region of the US having disproportionately higher mortality. Full article
(This article belongs to the Special Issue Myocardial Infarction: Current Status and Future Challenges)
Show Figures

Figure 1

20 pages, 3264 KB  
Article
Standardized Mortality Ratios (SMRs) and Radon Exposure Analysis for Lung Cancer and All-Cause Mortality in Locorotondo, Southern Italy
by Giovanni Maria Ferri, Luigi De Maria, Giuseppe Delvecchio, Antonio Caputi, Stefano Sole, Gianmarco Giannelli, Gianfranco Sifanno, Ilaria Maria Di Somma, Floriana Pentimone, Domenica Cavone, Angela Stufano, Piero Lovreglio, Vitantonio Ricci and Luigi Vimercati
Medicina 2025, 61(1), 47; https://doi.org/10.3390/medicina61010047 - 31 Dec 2024
Viewed by 2351
Abstract
Background and Objectives: Radon is a known risk factor for lung cancer, and residential radon exposure is the leading cause of lung cancer in never smokers; however, in Italy, there is still a lack of public awareness regarding the risk caused by [...] Read more.
Background and Objectives: Radon is a known risk factor for lung cancer, and residential radon exposure is the leading cause of lung cancer in never smokers; however, in Italy, there is still a lack of public awareness regarding the risk caused by residential radon exposure. In this mortality study, which was carried out in an Italian Apulian town (Locorotondo) of the Bari province, we aimed to analyze lung cancer mortality and all-cause mortality in a population highly exposed to radon. Materials and Methods: The study period was 1998–2021. Local and Italian population and national mortality data were collected from the Italian National Institute of Statistics (ISTAT) website platform. Local mortality data were collected using copies of the Local Health Authority death certificates. Results: We identified 117 lung cancers in the studied period. The mortality data trends revealed a decrease in the all-causes standardized mortality ratios (SMRs), increases in the incidence rates of lung cancer and colorectal cancer in recent years, and a decrease in the incidence of noncancer diseases. We also found high SMRs for colorectal cancer until 2016 among older females. With respect to the cardio-circulatory system, only in 2014 did the male SMRs significantly influence the total SMR; after this period, a decreasing stable trend was observed. Conclusions: The natural balance of the population is decreasing, and mortality is decreasing for all causes. A future study will be needed to assess the associations between observed lung cancer cases and domestic radon exposure to drive radon mitigation and public health strategies. Full article
(This article belongs to the Section Oncology)
Show Figures

Figure 1

13 pages, 1983 KB  
Article
Nationwide Cross-Sectional Analysis of Mortality Trends in Patients with Sarcoidosis and Non-Ischemic Cardiovascular Disease—The Impact of Gender, Ethnicity, Geographical Location, and COVID-19 Pandemic
by Raheel Ahmed, Mushood Ahmed, Yehya Khlidj, Obaid Ur Rehman, Laith Al-Mukhtar, Noha Abou Khater, Syed Khurram Mustaq Gardezi, Muhammad Rashid, Peter Collins, Hritvik Jain, Kamleshun Ramphul, Mudassar Baig, Anwar Chahal, Vasilis Kouranos, Nitish Behary Paray and Rakesh Sharma
J. Clin. Med. 2024, 13(23), 7463; https://doi.org/10.3390/jcm13237463 - 8 Dec 2024
Cited by 8 | Viewed by 2156
Abstract
Background and Objectives: The epidemiological data regarding mortality rates of adults with sarcoidosis and non-ischemic cardiovascular disease (CVD) are limited. A retrospective observational analysis was conducted to identify trends and disparities related to sarcoidosis and non-ischemic cardiovascular disease mortality among the adult US [...] Read more.
Background and Objectives: The epidemiological data regarding mortality rates of adults with sarcoidosis and non-ischemic cardiovascular disease (CVD) are limited. A retrospective observational analysis was conducted to identify trends and disparities related to sarcoidosis and non-ischemic cardiovascular disease mortality among the adult US population from 1999 to 2022. Methods: We used the Centers for Disease Control and Prevention (CDC) WONDER database to extract death certificate data for the adult US population (≥25 years). The age-adjusted mortality rates (AAMRs) per 100,000 persons were calculated, and annual percent changes (APCs) were determined using Joinpoint. Results: Between 1999 and 2022, 23,642 deaths were identified related to non-ischemic CVD + sarcoidosis. The overall AAMR increased from 0.2 (95% CI, 0.2 to 0.3) in 1999 to 0.5 (95% CI, 0.5 to 0.6) in 2022. Females had a higher AAMR than males (0.6 vs. 0.5). Non-Hispanic (NH) blacks had the highest AAMR, followed by NH whites and Hispanic or Latinos. The southern region had the highest AAMR (0.7: 95% CI, 0.6–0.7), followed by the Midwest (0.6, 95% CI, 0.54–0.669), the Northeast (0.5, 95% CI, 0.5 to 0.6), and the West (0.4; 95% CI, 0.3–0.4). Urban and rural areas had comparable mortality rates (0.5 vs. 0.6). People aged 65+ had the highest AAMRs. Conclusions: The overall mortality rates for non-ischemic CVD and sarcoidosis have increased in the US from 1999 to 2022. Females and NH blacks had higher AAMRs, while a minimal variation was observed based on geographical regions. Early diagnosis and prompt management are the keys to reducing the mortality burden of non-ischemic CVD plus sarcoidosis. Full article
(This article belongs to the Special Issue Cardiac Sarcoidosis: Diagnosis and Emerging Therapeutic Strategies)
Show Figures

Graphical abstract

8 pages, 603 KB  
Communication
Common Comorbidities and Complications in COVID-19 Deaths: An Analysis from Italian Data in Comparison with Influenza
by Chiara Orsi, Silvia Simeoni and Francesco Grippo
COVID 2024, 4(11), 1800-1807; https://doi.org/10.3390/covid4110126 - 18 Nov 2024
Viewed by 3111
Abstract
Multiple cause data refer to all conditions reported on death certificates. Compared to the single underlying cause of death, these data provide additional information concerning the presence of comorbidities and complications leading to death. The objective of the study is to use a [...] Read more.
Multiple cause data refer to all conditions reported on death certificates. Compared to the single underlying cause of death, these data provide additional information concerning the presence of comorbidities and complications leading to death. The objective of the study is to use a novel multiple cause approach for identifying comorbidities and complications of COVID-19. We analysed certificates referring to deaths that occurred in Italy in 2020–2021. With a double step chi squared test, we identified the conditions associated with COVID-19 and whether such conditions were reported as ‘cause of’ (comorbidities) or ‘due to’ (complications) COVID-19. For comparison, we adopted the same procedure for influenza deaths that occurred in Italy in 2016–2019. Pneumonia, respiratory failure and adult respiratory distress syndrome are the most frequent complications of COVID-19 and are also associated with it. These diseases have the same role for influenza, nevertheless this latter is strongly associated also with heart failure reported as a complication. Comorbidities are similar for COVID-19 and influenza: diabetes mellitus, chronic obstructive pulmonary disease (COPD) and obesity are the most frequent, with obesity much more frequent in COVID-19 cases. Hypertension is strongly associated with COVID-19 and is more frequent than in influenza cases. This approach is also suitable for other target diseases. Full article
Show Figures

Figure 1

Back to TopTop