Sign in to use this feature.

Years

Between: -

Subjects

remove_circle_outline

Journals

Article Types

Countries / Regions

Search Results (6)

Search Parameters:
Keywords = crops phenometrics

Order results
Result details
Results per page
Select all
Export citation of selected articles as:
28 pages, 7193 KB  
Article
Country-Scale Crop-Specific Phenology from Disaggregated PROBA-V
by Henry Rivas, Nicolas Delbart, Fabienne Maignan, Emmanuelle Vaudour and Catherine Ottlé
Remote Sens. 2024, 16(23), 4521; https://doi.org/10.3390/rs16234521 - 2 Dec 2024
Cited by 2 | Viewed by 1733
Abstract
Large-scale crop phenology monitoring is essential for agro-ecosystem policy. Remote sensing helps track crop development but requires high-temporal and spatial resolutions. While datasets with both attributes are now available, their large-scale applications require significant resources. Medium-resolution data offer daily observations but lack detail [...] Read more.
Large-scale crop phenology monitoring is essential for agro-ecosystem policy. Remote sensing helps track crop development but requires high-temporal and spatial resolutions. While datasets with both attributes are now available, their large-scale applications require significant resources. Medium-resolution data offer daily observations but lack detail for smaller plots. This study generated crop-specific phenomaps for mainland France (2016–2020) using PROBA-V data. A spatial disaggregation method reconstructed NDVI time series for individual crops within mixed pixels. Then, phenometrics were extracted from disaggregated PROBA-V and Sentinel-2 separately and compared to observed phenological stages. Results showed that PROBA-V-based phenomaps closely matched observations at regional level, with moderate accuracy at municipal level. PROBA-V demonstrated a higher detection rate than Sentinel-2, especially in cloudy periods, and successfully generated phenomaps before Sentinel-2B’s launch. The study highlights PROBA-V’s potential for operational crop monitoring, i.e., wheat heading and oilseed rape flowering, with performance comparable to Sentinel-2. PROBA-V outputs complement Sentinel-2: phenometrics cannot be generated at plot level but are efficiently produced at regional or national scales to study phenological gradients more easily than with Sentinel-2 and with similar accuracy. This approach could be extended to MODIS or SPOT-VGT, to generate historical phenological data, providing that a crop map is available. Full article
(This article belongs to the Special Issue Remote Sensing of Land Surface Phenology II)
Show Figures

Figure 1

17 pages, 2993 KB  
Article
Analysis of Drought Impact on Croplands from Global to Regional Scale: A Remote Sensing Approach
by Gohar Ghazaryan, Simon König, Ehsan Eyshi Rezaei, Stefan Siebert and Olena Dubovyk
Remote Sens. 2020, 12(24), 4030; https://doi.org/10.3390/rs12244030 - 9 Dec 2020
Cited by 24 | Viewed by 6832
Abstract
Drought is one of the extreme climatic events that has a severe impact on crop production and food supply. Our main goal is to test the suitability of remote sensing-based indices to detect drought impacts on crop production from a global to regional [...] Read more.
Drought is one of the extreme climatic events that has a severe impact on crop production and food supply. Our main goal is to test the suitability of remote sensing-based indices to detect drought impacts on crop production from a global to regional scale. Moderate resolution imaging spectroradiometer (MODIS) based imagery, spanning from 2001 to 2017 was used for this task. This includes the normalized difference vegetation index (NDVI), land surface temperature (LST), and the evaporative stress index (ESI), which is based on the ratio of actual to potential evapotranspiration. These indices were used as indicators of drought-induced vegetation conditions for three main crops: maize, wheat, and soybean. The start and end of the growing season, as observed at 500 m resolution, were used to exclude the time steps that are outside of the growing season. Based on the three indicators, monthly standardized anomalies were estimated, which were used for both analyses of spatiotemporal patterns of drought and the relationship with yield anomalies. Anomalies in the ESI had higher correlations with maize and wheat yield anomalies than other indices, indicating that prolonged periods of low ESI during the growing season are highly correlated with reduced crop yields. All indices could identify past drought events, such as the drought in the USA in 2012, Eastern Africa in 2016–2017, and South Africa in 2015–2016. The results of this study highlight the potential of the use of moderate resolution remote sensing-based indicators combined with phenometrics for drought-induced crop impact monitoring. For several regions, droughts identified using the ESI and LST were more intense than the NDVI-based results. We showed that these indices are relevant for agricultural drought monitoring at both global and regional scales. They can be integrated into drought early warning systems, process-based crop models, as well as can be used for risk assessment and included in advanced decision-support frameworks. Full article
(This article belongs to the Special Issue Remote Sensing of Dryland Environment)
Show Figures

Graphical abstract

23 pages, 2033 KB  
Article
Characterizing Land Use/Land Cover Using Multi-Sensor Time Series from the Perspective of Land Surface Phenology
by Lan H. Nguyen and Geoffrey M. Henebry
Remote Sens. 2019, 11(14), 1677; https://doi.org/10.3390/rs11141677 - 15 Jul 2019
Cited by 23 | Viewed by 6072
Abstract
Due to a rapid increase in accessible Earth observation data coupled with high computing and storage capabilities, multiple efforts over the past few years have aimed to map land use/land cover using image time series with promising outcomes. Here, we evaluate the comparative [...] Read more.
Due to a rapid increase in accessible Earth observation data coupled with high computing and storage capabilities, multiple efforts over the past few years have aimed to map land use/land cover using image time series with promising outcomes. Here, we evaluate the comparative performance of alternative land cover classifications generated by using only (1) phenological metrics derived from either of two land surface phenology models, or (2) a suite of spectral band percentiles and normalized ratios (spectral variables), or (3) a combination of phenological metrics and spectral variables. First, several annual time series of remotely sensed data were assembled: Accumulated growing degree-days (AGDD) from the MODerate resolution Imaging Spectroradiometer (MODIS) 8-day land surface temperature products, 2-band Enhanced Vegetation Index (EVI2), and the spectral variables from the Harmonized Landsat Sentinel-2, as well as from the U.S. Landsat Analysis Ready Data surface reflectance products. Then, at each pixel, EVI2 time series were fitted using two different land surface phenology models: The Convex Quadratic model (CxQ), in which EVI2 = f(AGDD) and the Hybrid Piecewise Logistic Model (HPLM), in which EVI2 = f(day of year). Phenometrics and spectral variables were submitted separately and together to Random Forest Classifiers (RFC) to depict land use/land cover in Roberts County, South Dakota. HPLM RFC models showed slightly better accuracy than CxQ RFC models (about 1% relative higher in overall accuracy). Compared to phenometrically-based RFC models, spectrally-based RFC models yielded more accurate land cover maps, especially for non-crop cover types. However, the RFC models built from spectral variables could not accurately classify the wheat class, which contained mostly spring wheat with some fields in durum or winter varieties. The most accurate RFC models were obtained when using both phenometrics and spectral variables as inputs. The combined-variable RFC models overcame weaknesses of both phenometrically-based classification (low accuracy for non-vegetated covers) and spectrally-based classification (low accuracy for wheat). The analysis of important variables indicated that land cover classification for this study area was strongly driven by variables related to the initial green-up phase of seasonal growth and maximum fitted EVI2. For a deeper evaluation of RFC performance, RFC classifications were also executed with several alternative sampling scenarios, including different spatiotemporal filters to improve accuracy of sample pools and different sample sizes. Results indicated that a sample pool with less filtering yielded the most accurate predicted land cover map and a stratified random sample dataset covering approximately 0.25% or more of the study area were required to achieve an accurate land cover map. In case of data scarcity, a smaller dataset might be acceptable, but should not smaller than 0.05% of the study area. Full article
(This article belongs to the Special Issue Remote Sensing for Crop Mapping)
Show Figures

Graphical abstract

17 pages, 3778 KB  
Article
Detection of Rice Phenological Variations under Heavy Metal Stress by Means of Blended Landsat and MODIS Image Time Series
by Biyao Zhang, Xiangnan Liu, Meiling Liu and Yuanyuan Meng
Remote Sens. 2019, 11(1), 13; https://doi.org/10.3390/rs11010013 - 21 Dec 2018
Cited by 22 | Viewed by 4489
Abstract
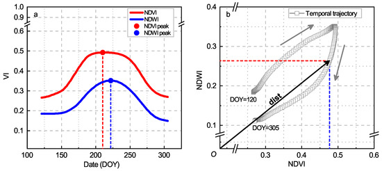
Monitoring phenological changes of crops through remote sensing methods is becoming a new perspective in assessing heavy metal contamination in agricultural farmlands. This paper proposes a method that combines the normalized difference vegetation index (NDVI) and the normalized difference water index (NDWI) to [...] Read more.
Monitoring phenological changes of crops through remote sensing methods is becoming a new perspective in assessing heavy metal contamination in agricultural farmlands. This paper proposes a method that combines the normalized difference vegetation index (NDVI) and the normalized difference water index (NDWI) to detect heavy metal stress-induced variations in satellite-derived rice phenology. First, we applied the enhanced spatial and temporal adaptive reflectance fusion model to obtain the NDVI and NDWI time series for the NDVI–NDWI phase–space construction. Then, six specific rice phenometrics were derived from the NDVI and the phase–space, respectively. Last, we introduced a relative phenophase index (RPI), which characterizes the relative change of the phenometrics to identify the rice paddies under heavy metal stress. The results indicated that satellite-derived rice phenometrics are generally influenced by human and natural factors (e.g., transplanting date, air temperature, and solar radiation), while the RPI showed weak correlations with all of these variables. In the determination of heavy metal stress, the NDVI- and phase–space-based RPIs of unstressed rice both show significantly (p < 0.001) higher values than those of stressed rice, while the phase–space-based RPI shows more apparent statistical difference between the stressed and unstressed rice compared to the NDVI-based one. Our work proved the capability of the phase–space-based method as well as the RPI in the discrimination of regional heavy metal pollution in rice fields. Full article
(This article belongs to the Section Remote Sensing in Agriculture and Vegetation)
Show Figures

Graphical abstract

16 pages, 7009 KB  
Article
Optimising Phenological Metrics Extraction for Different Crop Types in Germany Using the Moderate Resolution Imaging Spectrometer (MODIS)
by Xingmei Xu, Christopher Conrad and Daniel Doktor
Remote Sens. 2017, 9(3), 254; https://doi.org/10.3390/rs9030254 - 9 Mar 2017
Cited by 51 | Viewed by 8098
Abstract
Phenological metrics extracted from satellite data (phenometrics) have been increasingly used to access timely, spatially explicit information on crop phenology, but have rarely been calibrated and validated with field observations. In this study, we developed a calibration procedure to make phenometrics more comparable [...] Read more.
Phenological metrics extracted from satellite data (phenometrics) have been increasingly used to access timely, spatially explicit information on crop phenology, but have rarely been calibrated and validated with field observations. In this study, we developed a calibration procedure to make phenometrics more comparable to ground-based phenological stages by optimising the settings of Best Index Slope Extraction (BISE) and smoothing algorithms together with thresholds. We used a six-year daily Moderate Resolution Imaging Spectrometer (MODIS) Normalized Difference Vegetation Index (NDVI) time series and 211 ground-observation records from four major crop species (winter wheat/barley, oilseed rape, and sugar beet) in central Germany. Results showed the superiority of the Savitzky–Golay algorithm in combination with BISE. The satellite-derived senescence dates matched ripeness stages of winter crops and the dates with maximum NDVI were closely related to the field-observed heading stage of winter cereals. We showed that the emergence of winter crops corresponded to the dates extracted with a threshold of 0.1, which translated into 8.89 days of root-mean-square error (RMSE) improvement compared to the standard threshold of 0.5. The method with optimised settings and thresholds can be easily transferred and applied to areas with similar growing conditions. Altogether, the results improve our understanding of how satellite-derived phenometrics can explain in situ phenological observations. Full article
Show Figures

Graphical abstract

23 pages, 1637 KB  
Article
A Comparative Study on Satellite- and Model-Based Crop Phenology in West Africa
by Elodie Vintrou, Agnès Bégué, Christian Baron, Alexandre Saad, Danny Lo Seen and Seydou B. Traoré
Remote Sens. 2014, 6(2), 1367-1389; https://doi.org/10.3390/rs6021367 - 13 Feb 2014
Cited by 37 | Viewed by 9557
Abstract
Crop phenology is essential for evaluating crop production in the food insecure regions of West Africa. The aim of the paper is to study whether satellite observation of plant phenology are consistent with ground knowledge of crop cycles as expressed in agro-simulations. We [...] Read more.
Crop phenology is essential for evaluating crop production in the food insecure regions of West Africa. The aim of the paper is to study whether satellite observation of plant phenology are consistent with ground knowledge of crop cycles as expressed in agro-simulations. We used phenological variables from a MODIS Land Cover Dynamics (MCD12Q2) product and examined whether they reproduced the spatio-temporal variability of crop phenological stages in Southern Mali. Furthermore, a validated cereal crop growth model for this region, SARRA-H (System for Regional Analysis of Agro-Climatic Risks), provided precise agronomic information. Remotely-sensed green-up, maturity, senescence and dormancy MODIS dates were extracted for areas previously identified as crops and were compared with simulated leaf area indices (LAI) temporal profiles generated using the SARRA-H crop model, which considered the main cropping practices. We studied both spatial (eight sites throughout South Mali during 2007) and temporal (two sites from 2002 to 2008) differences between simulated crop cycles and determined how the differences were indicated in satellite-derived phenometrics. The spatial comparison of the phenological indicator observations and simulations showed mainly that (i) the satellite-derived start-of-season (SOS) was detected approximately 30 days before the model-derived SOS; and (ii) the satellite-derived end-of-season (EOS) was typically detected 40 days after the model-derived EOS. Studying the inter-annual difference, we verified that the mean bias was globally consistent for different climatic conditions. Therefore, the land cover dynamics derived from the MODIS time series can reproduce the spatial and temporal variability of different start-of-season and end-of-season crop species. In particular, we recommend simultaneously using start-of-season phenometrics with crop models for yield forecasting to complement commonly used climate data and provide a better estimate of vegetation phenological changes that integrate rainfall variability, land cover diversity, and the main farmer practices. Full article
Show Figures

Back to TopTop