Sign in to use this feature.

Years

Between: -

Subjects

remove_circle_outline
remove_circle_outline
remove_circle_outline
remove_circle_outline
remove_circle_outline
remove_circle_outline
remove_circle_outline
remove_circle_outline
remove_circle_outline

Journals

remove_circle_outline
remove_circle_outline
remove_circle_outline
remove_circle_outline
remove_circle_outline
remove_circle_outline
remove_circle_outline
remove_circle_outline
remove_circle_outline
remove_circle_outline
remove_circle_outline
remove_circle_outline
remove_circle_outline
remove_circle_outline
remove_circle_outline
remove_circle_outline
remove_circle_outline
remove_circle_outline
remove_circle_outline
remove_circle_outline
remove_circle_outline
remove_circle_outline
remove_circle_outline
remove_circle_outline
remove_circle_outline
remove_circle_outline
remove_circle_outline
remove_circle_outline
remove_circle_outline

Article Types

Countries / Regions

remove_circle_outline
remove_circle_outline
remove_circle_outline
remove_circle_outline
remove_circle_outline
remove_circle_outline

Search Results (1,839)

Search Parameters:
Keywords = count regression

Order results
Result details
Results per page
Select all
Export citation of selected articles as:
16 pages, 1585 KB  
Article
Association of Sex, Age, and Inflammatory Cell Counts with Complicated Acute Appendicitis
by Said José Serrano Guzmán, Carlos Leyber Vargas Juárez, Marcos Hernández Gómez, José Roberto Luis Vásquez, Sergio Roberto Aguilar Ruiz, Juan Carlos Ramos Martínez, Joscelin Amaranta Macías Ríos, Edgar Gustavo Ramos Martínez, José Luis Cano Pérez, Jesús David Guzmán Ortiz, Martha Silvia Martínez Luna and Leticia Lorena Hernández González
Pathophysiology 2026, 33(1), 22; https://doi.org/10.3390/pathophysiology33010022 (registering DOI) - 14 Mar 2026
Abstract
Background/Objectives: Sex and age influence inflammatory responses, but researchers have not fully characterized their combined association with complicated acute appendicitis (CAA). This study assessed the independent and interactive associations of sex, age, and inflammatory cell counts with CAA. Methods: We conducted a retrospective [...] Read more.
Background/Objectives: Sex and age influence inflammatory responses, but researchers have not fully characterized their combined association with complicated acute appendicitis (CAA). This study assessed the independent and interactive associations of sex, age, and inflammatory cell counts with CAA. Methods: We conducted a retrospective observational study of 708 patients with histopathologically confirmed uncomplicated appendicitis (UAA) or CAA. We analyzed demographic and clinical data, including preoperative complete blood counts, stratified by sex. We used multivariable logistic regression models with interaction terms to evaluate associations and possible effect modification by sex and age. We explored the direction and magnitude of these interactions by estimating marginal predicted probabilities. Results: The incidence of CAA was significantly higher in men than in women. In men with CAA, complete blood count analysis showed elevated neutrophil and monocyte counts and reduced lymphocyte counts. Male sex (odds ratio (OR) 2.197, 95% confidence interval (CI) 1.610–2.999), continuous age (1.017, 1.002–1.033), lymphocyte count (0.656, 0.526–0.820), monocyte count (1.551, 1.036–2.321), and platelet count (1.004, 1.001–1.006) were independently associated with CAA. Interaction analysis revealed significant interactions between neutrophils and both sex and age (p < 0.05), while lymphocyte counts showed significant interaction with age but not with sex. Conclusions: This study provides new insight into complex sex- and age-related immune cell patterns in CAA and may inform future diagnostic and management strategies by highlighting immune profile variability. Full article
(This article belongs to the Collection Feature Papers in Pathophysiology)
Show Figures

Figure 1

10 pages, 1184 KB  
Article
Higher Neutrophil-to-Albumin Ratio Is Associated with Greater Coronary Atherosclerotic Burden According to the Gensini Score in an Angiography-Referred Population
by Ömer Faruk Çiçek and Ali Palice
Diagnostics 2026, 16(6), 864; https://doi.org/10.3390/diagnostics16060864 - 13 Mar 2026
Abstract
Objective: This study aimed to investigate the association between the neutrophil-to-albumin ratio (NAR) and coronary atherosclerotic burden, assessed using the Gensini score, in patients referred for coronary angiography (CAG). Methods: A total of 987 patients who underwent CAG at Sanliurfa Mehmet Akif Inan [...] Read more.
Objective: This study aimed to investigate the association between the neutrophil-to-albumin ratio (NAR) and coronary atherosclerotic burden, assessed using the Gensini score, in patients referred for coronary angiography (CAG). Methods: A total of 987 patients who underwent CAG at Sanliurfa Mehmet Akif Inan Training and Research Hospital between January 2020 and June 2023 were retrospectively analyzed. Demographic, clinical, and laboratory data, including complete blood count, albumin, lipid profile, and creatinine, were collected prior to angiography. The NAR was calculated as the ratio of absolute neutrophil count to serum albumin. Coronary atherosclerotic burden was assessed using the Gensini scoring system and analyzed across predefined score categories representing increasing anatomical disease extent: normal (score 0), mild (1–24), and severe (≥25). Statistical analyses included group comparisons and multivariable regression analyses appropriate to the study design. Results: Higher NAR values were associated with increased angiographic coronary atherosclerosis severity at the group level across Gensini score categories. This association remained statistically significant after prespecified multivariable adjustment for established cardiovascular risk factors. Conclusions: Higher NAR values were associated with greater angiographic coronary atherosclerotic burden, as quantified by the Gensini score, in an angiography-referred population. Full article
(This article belongs to the Special Issue Cardiovascular Diseases: Advances in Diagnosis and Management)
15 pages, 1179 KB  
Article
Modified Aarhus Composite Biomarker Score as a New Risk-Stratification Tool in Metastatic Colorectal Cancer
by Nagihan Kolkıran, Atike Pınar Erdoğan, Mustafa Şahbazlar and Ferhat Ekinci
Diagnostics 2026, 16(6), 863; https://doi.org/10.3390/diagnostics16060863 - 13 Mar 2026
Abstract
Background/Objectives: Systemic inflammatory markers are increasingly recognized as prognostic indicators in metastatic colorectal cancer (mCRC), demonstrating significant associations with survival outcomes. The aim of this study was to evaluate the prognostic value of the Aarhus composite biomarker score (ACBS) in patients with [...] Read more.
Background/Objectives: Systemic inflammatory markers are increasingly recognized as prognostic indicators in metastatic colorectal cancer (mCRC), demonstrating significant associations with survival outcomes. The aim of this study was to evaluate the prognostic value of the Aarhus composite biomarker score (ACBS) in patients with metastatic colorectal cancer and to introduce the modified ACBS as a laboratory-based prognostic tool in mCRC. Methods: The Aarhus Composite Biomarker Score was calculated using serum albumin, C-reactive protein (CRP), neutrophil count, lymphocyte count, and hemoglobin levels. The modified Aarhus Composite Biomarker Score-1 (mACBS-1) stratified patients into three prognostic groups: favorable, intermediate, and poor risk. The simplified modified Aarhus Composite Biomarker Score-2 (mACBS-2) categorized patients into two prognostic groups (low vs. high risk). Survival analyses were performed using the Kaplan–Meier method, and prognostic factors were evaluated using Cox regression analysis. Results: The median overall survival (OS) was 35 months (95% CI: 29.38–40.62). Stratification by mACBS-1 revealed median OS values of 47, 30, and 14 months for favorable-, intermediate-, and poor-risk groups, respectively (p = 0.002). Similarly, mACBS-2 distinguished two prognostic groups, with median OS of 47 months in the favorable-risk group and 30 months in the poor-risk group (p = 0.001). In multivariable analysis, ACBS remained an independent predictor of overall survival, with three abnormal biomarkers conferring a significantly increased mortality risk (HR 4.61, 95% CI 2.17–9.82, p < 0.001). Similarly, poor-risk classification by mACBS-1 (HR 3.36, 95% CI 1.58–7.12, p = 0.002) and mACBS-2 (HR 2.05, 95% CI 1.29–3.26, p = 0.002) was independently associated with worse survival. Conclusions: The ACBS and its modified versions (mACBS-1 and mACBS-2) are simple, laboratory-based prognostic tools with independent predictive value for survival in metastatic colorectal cancer. Its clinical use may support improved risk stratification and individualized patient management. Full article
(This article belongs to the Section Clinical Diagnosis and Prognosis)
37 pages, 10882 KB  
Article
Predicting Part Orientation Distributions in Linear Feeders Using Simulation-Driven Deep Learning
by Idan Zucker and Chen Giladi
Machines 2026, 14(3), 329; https://doi.org/10.3390/machines14030329 - 13 Mar 2026
Abstract
Designing linear conveyor feeders with passive fences for automated part orientation remains largely trial and error because the final orientation distribution is difficult to predict reliably before physical testing. We present a simulation-driven deep learning pipeline that predicts the full distribution of final [...] Read more.
Designing linear conveyor feeders with passive fences for automated part orientation remains largely trial and error because the final orientation distribution is difficult to predict reliably before physical testing. We present a simulation-driven deep learning pipeline that predicts the full distribution of final in-plane orientations for extruded, z-axis-symmetric parts interacting with linear feeders containing up to two straight or curved fences. Using Bullet physics-based simulation in CoppeliaSim, we generate 1048 main part–feeder samples across 38 part geometries, plus 78 fence generalization and 110 unseen part samples for a total of 1236 (41 unique parts), and train regression networks and a Variational Autoencoder, or VAE, to predict 360-bin orientation probability distributions. On known parts, the regression model achieves high accuracy on held-out test configurations, R2 on circular CDFs =0.97±0.05, and on unseen fence combinations, R2 on circular CDFs =0.89±0.11. Generalization to previously unseen part geometries is more challenging, with R2 on circular CDFs =0.75±0.18, indicating that geometric representation and dataset diversity are primary limitations. We also evaluate VAE reconstruction on datasets generated from simulations at different iteration counts: 5–100% of 1000 iterations in 5% increments. While within-level reconstruction remains high, cross-convergence evaluation shows that partial-iteration PMFs are far from fully converged labels in this dataset (overall CDF R2 = 0.01 at 5%, 0.32 at 50%, and 0.87 at 75%), so reduced-iteration simulations do not substitute for full convergence here. Overall, the proposed approach provides a data-driven foundation for feeder analysis and design, with future work focusing on improved geometric generalization and physical validation for industrial deployment. Full article
17 pages, 1000 KB  
Article
Procalcitonin as a Specific Predictor of Clinical Outcomes in Acute-on-Cirrhosis Sepsis: A Retrospective Pilot Analysis
by Mohamad Amer Nashtar, Stamatina Georgitsi, Jan Best, Michael Steckstor, Philipp Aurich, Mustafa Özcürümez, Ali Canbay and Antonios Katsounas
Livers 2026, 6(2), 22; https://doi.org/10.3390/livers6020022 - 13 Mar 2026
Abstract
Background/Aims: Sepsis as an acute cause of liver dysfunction is associated with high mortality. Routine infection/inflammation markers—C-reactive-protein (CRP), procalcitonin (PCT), and leukocyte count (LeuC)—are frequently used for risk stratification in septic patients. This study aimed to evaluate these markers as predictors of short-term [...] Read more.
Background/Aims: Sepsis as an acute cause of liver dysfunction is associated with high mortality. Routine infection/inflammation markers—C-reactive-protein (CRP), procalcitonin (PCT), and leukocyte count (LeuC)—are frequently used for risk stratification in septic patients. This study aimed to evaluate these markers as predictors of short-term and 12-month mortality in septic patients with distinct liver dysfunction phenotypes. Methods: This single-center retrospective pilot analysis involved adults with sepsis and varying degrees of liver dysfunction—acute liver failure (ALF), acute-on-chronic liver failure (ACLF), or acute-on-cirrhosis (ACOC)—treated in intermediate or intensive care units between 2016 and 2017. At sepsis onset, patients were categorized into ACOC, ACLF, and ALF groups. Only patients with recorded CRP, PCT, and LeuC measurements 24 h before, on the day of, and 24/48 h after sepsis onset were included in the analysis. Associations with in-hospital and 12-month mortality were analyzed using Firth bias-reduced logistic regression, ROC analysis, and internal validation by bootstrapping and cross-validation. Results: 49 patients were included (ACOC n = 21; ACLF n = 20; ALF n = 8). In-hospital and 12-month mortality rates were 34.7% and 61.2%, respectively, with the highest long-term mortality observed in the ACOC group (76.2%). In the ACOC group, PCT 24 h before sepsis onset independently predicted in-hospital mortality (OR ~5 per PCT doubling; AUC 0.94), with an optimal rule-in cut-off of 1.0 ng/mL (specificity 1.00, PPV 1.00). PCT was not predictive in ACLF/ALF, and CRP/LeuC offered limited prognostic value. Conclusions: In this hypothesis-generating analysis, PCT 24 h before sepsis onset shows a phenotype-specific association with early mortality in ACOC. Larger, prospective multicenter studies are needed to validate PCT-guided risk stratification. Full article
(This article belongs to the Special Issue Epidemiology of Chronic Liver Disease and Cirrhosis)
Show Figures

Figure 1

31 pages, 1163 KB  
Article
Poisson Mixed-Effects Count Regression Model Based on Double SCAD Penalty and Its Simulation Study
by Keqian Li, Xueni Ren, Hanfang Li and Youxi Luo
Axioms 2026, 15(3), 214; https://doi.org/10.3390/axioms15030214 - 12 Mar 2026
Abstract
This paper focuses on variable selection and parameter estimation for mixed-effects Poisson count regression models. To simultaneously select important variables in both fixed effects and random effects, we propose a double-penalized Poisson count regression model with the Smoothly Clipped Absolute Deviation (SCAD) penalty [...] Read more.
This paper focuses on variable selection and parameter estimation for mixed-effects Poisson count regression models. To simultaneously select important variables in both fixed effects and random effects, we propose a double-penalized Poisson count regression model with the Smoothly Clipped Absolute Deviation (SCAD) penalty imposed on both components. To estimate the unknown parameters, we develop a new iterative algorithm called the Double SCAD–Local Quadratic Approximation (DSCAD-LQA) algorithm. Under regularity conditions, the consistency and Oracle property of the proposed estimator are established. Simulation studies are conducted under two types of penalty parameter selection criteria: the Schwarz Information Criterion (SIC) and the Generalized Approximate Cross-Validation (GACV). We evaluate the performance of the proposed method under different levels of correlation among explanatory variables and different covariance structures of random effects. Comparisons are also carried out with the non-penalized model, the single-penalized model, and the double LASSO-penalized model. The results demonstrate that the proposed double SCAD penalty method performs better than the other three methods in terms of important variable selection and coefficient estimation, and is especially effective for sparse models. Full article
14 pages, 2525 KB  
Article
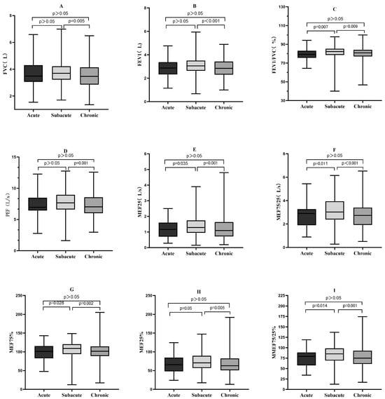
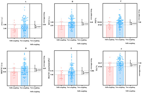
The Clinical Research of the Chronic Cough After COVID-19 Infection
by Juan Wang, Lingling Liu, Ning Zhou, Yankun Zhang, Huimin Liu, Chong Xu, Yueqing Wu and Jing Zhang
J. Clin. Med. 2026, 15(6), 2174; https://doi.org/10.3390/jcm15062174 - 12 Mar 2026
Abstract
Objective: To investigate the epidemiology, clinical characteristics, and potential risk factors of chronic cough following SARS-CoV-2 infection. Methods: A total of 1434 patients with post-COVID-19 cough were categorized into acute, subacute, and chronic subgroups by cough duration, with clinical data analyzed [...] Read more.
Objective: To investigate the epidemiology, clinical characteristics, and potential risk factors of chronic cough following SARS-CoV-2 infection. Methods: A total of 1434 patients with post-COVID-19 cough were categorized into acute, subacute, and chronic subgroups by cough duration, with clinical data analyzed across subgroups. Questionnaire surveys were conducted in chronic cough patients, followed by an 18–21-month follow-up. Results: 1. Significant intergroup differences were observed among the three groups in: the number of patients with rhinitis and/or pharyngitis history, cough with chest tightness, cough with pharyngeal symptoms, and sensitivity to irritating odors and cold air. 2. The chronic group had a significantly lower platelet count but higher eosinophil and basophil percentages than the acute group. 3. The chronic group showed significantly lower values than the subacute group in multiple pulmonary function indices: FVC, FEV1, FEV1/FVC, PEF, MEF25, MEF75, MEF50, MMEF75/25, MEF75%, MEF50%, MEF25%, MMEF75/25%, DLCO, and DLCO%. 4. Chest CT findings: the chronic group had significantly lower rates of infected lesions, cord-like opacities, and ground-glass shadows than the acute group, but a higher rate of micro-nodules than the subacute group. 5. At follow-up, the cough and non-cough groups differed significantly in nighttime cough scores and the proportion of cough with chest tightness, as well as in pulmonary function parameters: FVC, FEV1, PEF, PEF%, MEF75, DLCO, RV% and TLC. 6. Binary logistic regression analysis identified the nocturnal cough symptom score and cough accompanied by chest tightness as independent factors influencing persistent cough 18–21 months after SARS-CoV-2 infection. Conclusions: Patients with pre-existing upper airway inflammation, laryngeal symptoms, chemical hypersensitivity, elevated eosinophil/basophil percentages, and pulmonary micro-nodules are more likely to develop chronic post-COVID cough, presenting with partial ventilatory impairment and diffusing capacity impairments. Full article
(This article belongs to the Section Respiratory Medicine)
Show Figures

Figure 1

14 pages, 989 KB  
Article
Viral Suppression Among People Living with HIV in Tajikistan: A Nationwide Analysis
by Kamiar Alaei, Brian Kwan, Christopher P. Lounsbery, Jamoliddin Abdullozoda, Salomudin J. Yusufi, Patricia Cortez, Mannat Tiwana, Julie Nguyen, Hamid R. Torabzadeh and Arash Alaei
Viruses 2026, 18(3), 348; https://doi.org/10.3390/v18030348 - 12 Mar 2026
Viewed by 36
Abstract
Viral suppression is a cornerstone of HIV management, essential for improving health outcomes and preventing transmission. However, varying definitions of suppression, ranging from ≤1000 copies/mL (controlled) to ≤200 (clinically suppressed) and ≤50 (untransmittable), complicate the assessment of progress toward global UNAIDS 95–95–95 goals. [...] Read more.
Viral suppression is a cornerstone of HIV management, essential for improving health outcomes and preventing transmission. However, varying definitions of suppression, ranging from ≤1000 copies/mL (controlled) to ≤200 (clinically suppressed) and ≤50 (untransmittable), complicate the assessment of progress toward global UNAIDS 95–95–95 goals. Our study evaluated progress in achieving viral suppression among people living with HIV (PLHIV) in Tajikistan between 2010 and 2024 using cross-sectional data from the Ministry of Health and Social Protection of Population registry. Viral load was measured using real-time PCR, and suppression was assessed across three thresholds (≤1000, ≤200, ≤50 copies/mL). We examined associations between viral suppression and demographic factors using Chi-square tests and logistic regression models. Across all thresholds, suppression rates remained below the UNAIDS 95-95-95 target goals. At the ≤50 copies/mL threshold, 77% of males and 83% of females achieved suppression, with males demonstrating lower odds of achieving viral suppression. Regional disparities were evident, with Khatlon and Sughd showing the lowest viral suppression rate (72.2% and 76.8%, respectively) and lower odds of achieving viral suppression compared to Dushanbe. Urban–rural differences were also observed (78.3% vs. 81.1%), though odds ratios using logistic regression models were not significant. Findings highlight persistent demographic and regional disparities, underscoring the need for targeted interventions to achieve equitable viral suppression in Tajikistan. Our findings also highlight associations and do not imply causal inference. In addition, authors acknowledge that interpretation of viral suppression outcomes is limited by the absence of data on treatment regimens, duration, adherence, CD4 counts, and behavioral factors. Full article
(This article belongs to the Special Issue Early ART Initiation: Impacts on Viral Dynamics and Clinical Outcomes)
Show Figures

Figure 1

13 pages, 1641 KB  
Article
Ki-67 Proliferation Index in Pulmonary Neuroendocrine Neoplasms: Interobserver Agreement Among Pathologists and Comparison of Two Artificial Intelligence-Based Image Analysis Systems
by Gizem Teoman, Zeynep Turkmen Usta, Zeynep Sagnak Yilmaz and Safak Ersoz
Biomedicines 2026, 14(3), 627; https://doi.org/10.3390/biomedicines14030627 - 11 Mar 2026
Viewed by 123
Abstract
Background/Objectives: Although Ki-67 is not formally incorporated into the grading system of pulmonary neuroendocrine neoplasms (PNENs), it is widely used as an adjunct marker to reflect proliferative activity and support diagnostic stratification. Manual Ki-67 assessment is subject to interobserver variability and methodological limitations. [...] Read more.
Background/Objectives: Although Ki-67 is not formally incorporated into the grading system of pulmonary neuroendocrine neoplasms (PNENs), it is widely used as an adjunct marker to reflect proliferative activity and support diagnostic stratification. Manual Ki-67 assessment is subject to interobserver variability and methodological limitations. This study aimed to evaluate the reliability and performance of two artificial intelligence (AI)-based image analysis systems in Ki-67 index assessment and to compare their results with expert pathologist evaluation in pulmonary neuroendocrine tumors. Methods: A total of 63 pulmonary neuroendocrine neoplasm cases, including typical carcinoid (n = 29), atypical carcinoid (n = 13), and large cell neuroendocrine carcinoma (n = 21), were retrospectively analyzed. Ki-67 proliferation indices were independently assessed by four pathologists within predefined hotspot regions, counting approximately 2000 tumor cells per case. The same regions were analyzed using two AI-based image analysis systems (Roche uPath Ki-67 and Virasoft Virasight Ki-67). Interobserver agreement among pathologists was evaluated using the intraclass correlation coefficient (ICC), and concordance between manual and AI-based assessments was assessed using Spearman’s correlation and linear regression analyses. To account for potential scanner/platform effects, slides were digitized using two different whole-slide scanners (VENTANA DP® 600 and Leica Aperio AT2), and color normalization and quality control procedures were applied prior to AI-based analysis. For clinical interpretability, Ki-67 indices were stratified into categorical groups based on tumor subtype-specific thresholds (0–<10%: low, 10–25%: intermediate, >25%: high), and agreement between manual and AI-based categorical scoring was evaluated using Cohen’s kappa coefficient. Results: Among the 63 pulmonary neuroendocrine neoplasm cases, Ki-67 proliferation indices varied across tumor subtypes, with typical carcinoids showing low, atypical carcinoids intermediate, and large cell neuroendocrine carcinomas high proliferative activity. Interobserver agreement among four pathologists was excellent (ICC = 0.998, 95% CI: 0.996–0.998). Strong correlations were observed between manual Ki-67 assessments and AI-derived indices, with Spearman correlation coefficients of 0.961 (95% CI: 0.918–0.982) for Roche AI and 0.904 (95% CI: 0.821–0.949) for Virasoft AI, and 0.926 (95% CI: 0.842–0.968) between the two AI systems. Bland–Altman analyses demonstrated minimal mean differences and most cases within the 95% limits of agreement, indicating high concordance without systematic bias. Categorical agreement analysis, using subtype-specific Ki-67 thresholds (0–<10%: low; 10–25%: intermediate; >25%: high), showed excellent concordance between manual and AI-based scoring (Cohen’s kappa 0.877 for Roche AI and 0.827 for Virasoft AI; p < 0.001), confirming the clinical interpretability and reproducibility of AI-based Ki-67 assessment. Conclusions: AI-based Ki-67 index assessment shows strong concordance with expert pathologist evaluation and reflects biologically relevant differences among pulmonary neuroendocrine neoplasm subtypes. These results suggest that AI-assisted Ki-67 analysis may serve as a reproducible and objective adjunct to routine diagnostic practice in pulmonary neuroendocrine tumors. Full article
Show Figures

Figure 1

16 pages, 277 KB  
Article
Inflammatory and Metabolic Blood Parameters Associated with Aggression, Impulsivity, and Suicide Risk Among Male Patients with Antisocial Personality Disorder in a Forensic Psychiatry Unit in Turkey: A Cross-Sectional Comparative Study
by Berçem Afşar Karatepe and Gülay Tasci
Diagnostics 2026, 16(6), 831; https://doi.org/10.3390/diagnostics16060831 - 11 Mar 2026
Viewed by 143
Abstract
Background/Objectives: Antisocial personality disorder (ASPD) is strongly associated with violence, substance use, criminal behavior, and elevated suicide risk. Although inflammatory and metabolic dysregulation have been implicated in severe psychiatric disorders, the biological correlates of impulsivity, aggression, and suicide risk in forensic ASPD populations [...] Read more.
Background/Objectives: Antisocial personality disorder (ASPD) is strongly associated with violence, substance use, criminal behavior, and elevated suicide risk. Although inflammatory and metabolic dysregulation have been implicated in severe psychiatric disorders, the biological correlates of impulsivity, aggression, and suicide risk in forensic ASPD populations remain unclear. This study aimed to investigate whether routine hematological, inflammatory, and metabolic parameters are associated with these clinical features. Methods: This cross-sectional study included 57 male individuals diagnosed with antisocial personality disorder (ASPD) who had committed crimes and were referred to the Forensic Psychiatry Department of Elazığ Fethi Sekin City Hospital in Turkey by the court, and 56 age-matched healthy controls. Participants completed standardized assessments of impulsivity (BIS-11), aggression (BPAQ), and suicide probability (SPS). Hematological indices, inflammatory markers, and routine biochemical parameters were analyzed. Group comparisons, correlation analyses, and multivariable logistic regression were performed. Results: Compared with age-matched controls, individuals with ASPD showed markedly higher impulsivity, aggression, and suicide probability, alongside substantially higher rates of substance use, imprisonment history, and suicide attempts (all p < 0.001). Hematological and inflammatory analyses revealed lower red blood cell (RBC) counts and elevated mean corpuscular volume (MCV), red cell distribution width (RDW), C-reactive protein (CRP), neutrophil-to-lymphocyte ratio (NLR), and CRP–albumin ratio (CAR) in the ASPD group (all p < 0.05). Biochemical profiling showed reduced glucose, total protein, albumin, HDL, ALT, and vitamin B12 levels, with increased uric acid levels in ASPD (p < 0.05). Multivariable analysis indicated that being married and having higher education were protective against ASPD, whereas higher uric acid and CAR levels were associated with increased risk. Conclusions: The findings indicate that criminal offenders with ASPD show increased inflammatory markers and altered hematological and biochemical profiles. Routine blood parameters, combined with psychometric assessments, may help identify individuals at higher behavioral risk and support early risk stratification in forensic psychiatric settings, although causal relationships cannot be inferred from this cross-sectional study. Full article
(This article belongs to the Special Issue Advances in Mental Health Diagnosis and Screening, 2nd Edition)
13 pages, 878 KB  
Article
Retrospective Analysis of Hematological Parameter Changes in DMARD-Naive Rheumatoid Arthritis Patients Treated with Methotrexate: Correlation with Disease Activity and Treatment Outcomes
by Esra Dilsat Imrak and İlknur Aktas
Biomedicines 2026, 14(3), 625; https://doi.org/10.3390/biomedicines14030625 - 11 Mar 2026
Viewed by 99
Abstract
Background/Aim: This study aimed to evaluate the changes in hematological indices following methotrexate (MTX) initiation and assess their correlation with and predictive value for treatment responses in rheumatoid arthritis (RA) patients. Methods: A retrospective study was conducted on 299 DMARD-naïve RA patients who [...] Read more.
Background/Aim: This study aimed to evaluate the changes in hematological indices following methotrexate (MTX) initiation and assess their correlation with and predictive value for treatment responses in rheumatoid arthritis (RA) patients. Methods: A retrospective study was conducted on 299 DMARD-naïve RA patients who received MTX monotherapy for 12 weeks. Univariate and multivariate logistic regression identified predictors of remission and low disease activity. Correlation analyses assessed relationships between hematological and disease activity changes. Receiver operating characteristic (ROC) curve analysis evaluated the discriminatory ability of hematological parameters. Results: After 12 weeks of MTX, significant decreases were observed in white blood cell (p = 0.025), neutrophil (p = 0.026), hemoglobin (p = 0.001), and platelet counts (p < 0.001), alongside an increase in red cell distribution width (RDW) (p < 0.001). Multivariate analysis identified only baseline DAS28-CRP (OR: 9826.7, p < 0.001) and CRP (OR: 0.45, p = 0.005) as independent predictors for remission, and baseline swollen joint count, DAS28-CRP, and CRP for LDA. Hematological parameters were not independent predictors. ROC analysis revealed neither baseline values nor changes in hematological indices had satisfactory discriminatory power for remission or LDA. Conclusions: Hematological parameter changes do not serve as robust independent predictors for early treatment response. Clinical disease activity indices remain superior for prognostication in DMARD-naïve patients starting MTX. Full article
(This article belongs to the Section Endocrinology and Metabolism Research)
Show Figures

Figure 1

21 pages, 4810 KB  
Article
Target Detection of Trellised Watermelons in Complex Agricultural Scenes Based on Improved RT-DETR
by Weichen Yan, Huixing Qu, Shaowei Wang, Huawei Yang, Yongbing Hao and Guohai Zhang
Horticulturae 2026, 12(3), 333; https://doi.org/10.3390/horticulturae12030333 - 10 Mar 2026
Viewed by 75
Abstract
To address the problems of severe fruit occlusion, large variations in target scale, and many small-scale goals being overlooked in the recognition of trellised watermelons under complex agricultural scenarios, this study proposes an improved RT-DETR-based detection model, termed RT-DETR-Watermelon. A context-guided (CG) module [...] Read more.
To address the problems of severe fruit occlusion, large variations in target scale, and many small-scale goals being overlooked in the recognition of trellised watermelons under complex agricultural scenarios, this study proposes an improved RT-DETR-based detection model, termed RT-DETR-Watermelon. A context-guided (CG) module is embedded into the backbone network. A dedicated P2 detection layer is added to enhance the model’s sensitivity to small objects. A scale sequence feature fusion (SSFF) module and a triple feature encoder (TFE) module are introduced into the model to improve the model’s capability to detect targets at multiple scales. The original bounding box regression loss is replaced with MPDIoU (Multiple Path Distance Intersection over Union) loss, which accelerates model convergence and improves localization precision. Finally, the number of channels is adjusted to reduce parameter count, computational complexity, and storage size. The experimental results show that, compared with the original RT-DETR model, the proposed RT-DETR-Watermelon model increases precision, recall, and mean Average Precision (mAP@0.5) by 0.4, 1.8, and 1.0 percentage points, while reducing the number of parameters, computational cost, and model size by 53.5%, 23.5%, and 53.2%, respectively. Full article
(This article belongs to the Special Issue A New Wave of Smart and Mechanized Techniques in Horticulture)
Show Figures

Figure 1

12 pages, 321 KB  
Article
Association Between Daily Steps Measured by Accelerometry and Diabetes in ELSA-Brasil Participants
by Matheus Hortélio, Maria da Conceição Chagas de Almeida, Sheila Maria Alvim de Matos, Cristiano Penas Seara Pitanga, Ciro Oliveira Queiroz and Francisco José Gondim Pitanga
Int. J. Environ. Res. Public Health 2026, 23(3), 346; https://doi.org/10.3390/ijerph23030346 - 10 Mar 2026
Viewed by 105
Abstract
Diabetes mellitus (DM) is a chronic disease characterized by hyperglycemia and alterations in lipid and protein metabolism. Daily step count, measured using accelerometers integrated into wearable devices with artificial intelligence support, represents an important indicator of physical activity for the prevention and management [...] Read more.
Diabetes mellitus (DM) is a chronic disease characterized by hyperglycemia and alterations in lipid and protein metabolism. Daily step count, measured using accelerometers integrated into wearable devices with artificial intelligence support, represents an important indicator of physical activity for the prevention and management of DM when performed regularly at a minimum daily volume. Objective: We aimed to investigate the association between daily step count and DM and to determine the daily step cutoff point necessary to provide a protective effect among participants in the Longitudinal Study of Adult Health (LSAH). Methods: We performed a cross-sectional study that analyzed data from Wave 3 (2016–2018), including 12,636 participants. DM was the dependent variable, assessed by laboratory tests, and daily step count was the independent variable, measured by accelerometry. Associations were assessed using logistic regression, with odds ratios (ORs) and 95% confidence intervals (CIs). Results: A significant association was observed between daily step count and DM (OR = 0.76; 95% CI: 0.70–0.83). A cutoff point of 6880 steps/day was identified, with an area under the ROC curve of 0.58 (95% CI: 0.57–0.59). Conclusion: Daily step count appears to be associated with a protective effect against DM. Full article
19 pages, 404 KB  
Article
Risk Stratification and Mortality in Clostridioides difficile Infection: Clinical Determinants and Prognostic Assessment
by Luís Furtado
Acta Microbiol. Hell. 2026, 71(1), 7; https://doi.org/10.3390/amh71010007 - 10 Mar 2026
Viewed by 86
Abstract
Clostridioides difficile infection (CDI) remains a major cause of healthcare-associated morbidity and mortality, particularly among older adults and patients with recent healthcare exposure, underscoring the need for early risk stratification and accurate prognostic assessment. This retrospective observational study evaluated clinical, laboratory, and therapeutic [...] Read more.
Clostridioides difficile infection (CDI) remains a major cause of healthcare-associated morbidity and mortality, particularly among older adults and patients with recent healthcare exposure, underscoring the need for early risk stratification and accurate prognostic assessment. This retrospective observational study evaluated clinical, laboratory, and therapeutic factors associated with disease severity and in-hospital mortality, and assessed the predictive performance of the ATLAS score and the Charlson comorbidity index. A total of 101 adult inpatients with laboratory-confirmed CDI admitted to a Portuguese tertiary care hospital were included. Data were extracted from clinical records and analysed using comparative statistics, multivariable logistic regression, and Kaplan–Meier survival analysis. Advanced age, elevated white blood cell count, renal dysfunction, and prior exposure to multiple antibiotic classes were independently associated with increased disease severity and mortality. The ATLAS score demonstrated good discriminative ability, particularly for short-term mortality, and showed higher sensitivity compared with the Charlson comorbidity index. These findings provide additional evidence on clinical and laboratory factors associated with severe CDI and in-hospital mortality, while supporting the utility of the ATLAS score as a practical tool for early risk stratification in hospitalised patients. Full article
Show Figures

Figure 1

12 pages, 1372 KB  
Article
Endothelial Activation and Stress Index Predicts Poor Coronary Collateral Development in Chronic Total Occlusion
by Muhammed Ulvi Yalcin, Kadri Murat Gurses, Canan Aydoğan, Sevil Butun, Abdullah Tunçez, Hüseyin Tezcan, Yasin Ozen, Kenan Demir, Nazif Aygul, Mustafa Kirmizigul, Aslihan Merve Toprak Su, Burak Erdogan, Tolgahan Karaman and Bulent Behlul Altunkeser
J. Cardiovasc. Dev. Dis. 2026, 13(3), 124; https://doi.org/10.3390/jcdd13030124 - 9 Mar 2026
Viewed by 119
Abstract
Background/Objectives: Coronary collateral circulation (CCC) reduces ischemic damage in patients with chronic total occlusion (CTO), yet collateral development varies considerably among individuals. Endothelial stress and systemic inflammation are key biological processes involved in collateral vessel formation. The Endothelial Activation and Stress Index (EASIX), [...] Read more.
Background/Objectives: Coronary collateral circulation (CCC) reduces ischemic damage in patients with chronic total occlusion (CTO), yet collateral development varies considerably among individuals. Endothelial stress and systemic inflammation are key biological processes involved in collateral vessel formation. The Endothelial Activation and Stress Index (EASIX), calculated from lactate dehydrogenase, creatinine, and platelet count, is a simple marker reflecting endothelial dysfunction and inflammatory status. However, evidence regarding its relationship with angiographic coronary collateral development in CTO remains limited. Therefore, this study aimed to evaluate the association between EASIX and CCC grades in patients with CTO. Methods: This retrospective study included 186 patients with CTO who underwent coronary angiography. CCC was evaluated using the Rentrop–Cohen classification and categorized as poorly developed (grades 0–1) or well-developed (grades 2–3). Clinical and laboratory data, including EASIX, were collected. Univariate and multivariate binary logistic regression analyses were performed to identify factors associated with poorly developed CCC. EASIX was standardized (z-score), and odds ratios were reported per 1-standard deviation increase. The predictive performance of EASIX was assessed using receiver operating characteristic (ROC) curve analysis. Results: Poorly developed CCC was observed in 70 patients (37.6%). Patients with well-developed CCC had significantly lower EASIX values (median 0.44 vs. 0.67, p < 0.001) and higher HDL cholesterol levels (p = 0.043). Neutrophil-to-lymphocyte ratio was also higher in the poorly developed CCC group (median 2.59 [2.19–3.59] vs. 2.41 [1.59–3.49], p = 0.028). In multivariate analysis, standardized EASIX remained independently associated with poorly developed CCC (OR 2.536 per 1-SD increase, 95% CI 1.734–3.710, p < 0.001). ROC analysis showed that EASIX provided moderate discrimination for poorly developed CCC (AUC 0.718), with 72.9% sensitivity and 62.1% specificity at a cutoff of >0.51. Conclusions: Higher EASIX values were independently associated with poorly developed CCC in patients with CTO. These findings support a link between systemic endothelial stress and impaired collateral vessel formation. EASIX may serve as a simple, practical, and low-cost biomarker to support risk stratification in CTO patients; however, prospective studies are needed to confirm these results and clarify clinical implications. Full article
Show Figures

Graphical abstract

Back to TopTop