Sign in to use this feature.

Years

Between: -

Subjects

remove_circle_outline
remove_circle_outline
remove_circle_outline
remove_circle_outline
remove_circle_outline
remove_circle_outline

Journals

Article Types

Countries / Regions

Search Results (14)

Search Parameters:
Keywords = corporate environmental performance (CEP)

Order results
Result details
Results per page
Select all
Export citation of selected articles as:
21 pages, 337 KB  
Article
Sustainable Environmental Governance and Corporate Environmental Performance: Empirical Evidence from Saudi Companies
by Jihene C. Soussi, Khaled S. Aljaaidi and Neef F. Alwadani
J. Risk Financial Manag. 2025, 18(11), 616; https://doi.org/10.3390/jrfm18110616 - 4 Nov 2025
Viewed by 1158
Abstract
This study investigates the internal governance mechanisms of sustainability and their influence on corporate environmental performance (CEP) from 2014 to 2021 in Saudi Arabia. The analysis centers on three primary mechanisms: the presence of a sustainability committee, issuance of sustainability reports, and external [...] Read more.
This study investigates the internal governance mechanisms of sustainability and their influence on corporate environmental performance (CEP) from 2014 to 2021 in Saudi Arabia. The analysis centers on three primary mechanisms: the presence of a sustainability committee, issuance of sustainability reports, and external assurance of these reports. Utilizing a sample of 188 firm-year observations from publicly listed companies, we evaluate each mechanism and their combined effect as predictors of CEP through ordinary least squares (OLS) regression analysis. We constructed a composite index of sustainability governance practices to assess the overall governance strength of the firm, referred to as the sustainability index. Our findings indicate that, while sustainability external assurance is positively associated with CEP, it is statistically insignificant. By contrast, the positive correlations of sustainability committees and sustainability reports with CEP were significant. The overall sustainable mechanisms’ composite index in the regression positively influences corporate environmental performance. This suggests that the composite sustainability index is more effective than individual sustainability mechanisms because of its complementary functions. This study aims to advance theories related to emerging markets in which institutional arrangements and stakeholder demands differ from those in developed countries. These results emphasize on the importance of corporate boards and policymakers in establishing dedicated sustainability committees, enhancing reporting quality, and integrating various governance systems to improve environmental performance which, in turn, promote responsible corporate behavior and ensure accountability towards environmental protection and sustainable development. This aligns with Saudi Arabia’s Vision 2030 and the Sustainable Development Goals, specifically Goals 12 and 13. Full article
(This article belongs to the Special Issue Corporate Finance and ESG: Shaping the Future of Sustainable Business)
19 pages, 677 KB  
Article
The Effect of Corporate Environmental Performance (CEP) of an Acquirer on Post-Merger Firm Value: Evidence from the US Market
by Md Shahiduzzaman, Priyantha Mudalige, Omar Al Farooque and Mohammad Alauddin
Int. J. Financial Stud. 2025, 13(3), 125; https://doi.org/10.3390/ijfs13030125 - 3 Jul 2025
Cited by 2 | Viewed by 1515
Abstract
Purpose: The acquirer’s corporate environmental performance (CEP) in mergers and acquisitions has been a subject of debate, yielding mixed results. This paper uses the US firm-level data of 1437 M&A deals from 2002–2019 to examine the impact of overall CEP, resource use, emissions, [...] Read more.
Purpose: The acquirer’s corporate environmental performance (CEP) in mergers and acquisitions has been a subject of debate, yielding mixed results. This paper uses the US firm-level data of 1437 M&A deals from 2002–2019 to examine the impact of overall CEP, resource use, emissions, and innovation on the acquirers’ post-merger market value. Design/methodology/approach: This study employs multi-level fixed effects panel regression using Ordinary Least Squares (OLS) and the instrumental variable (IV) 2SLS method to estimate the models and compare the results with those from robust estimation. Absorbing the multiple levels of fixed effects (i.e., firm, industry, and year) offers a novel and robust algorithm for efficiently accounting for unobserved heterogeneity. The results from IV (2SLS) are more convincing, as the method overcomes the problem of endogeneity due to reverse causality and sample selection bias. Findings: The authors find that CEP has a significant impact on market value, particularly in the long term. While both resource use and emissions performance have positive effects, emissions performance has a stronger impact, presumably because external stakeholders and market participants are more concerned about emissions reduction. The performance of environmental innovation is relatively weak compared to other pillars. Descriptive analysis shows low average scores in environmental innovation compared to the resource use and emissions performance of the acquirers. However, large deals yield significant returns from investing in environmental innovation in both the short and long term compared to small deals. Practical implications: This paper offers several practical implications. First, environmental performance can help improve the acquirer’s long-term market value. Second, managers can focus on the strategic side of environmental performance, based on its pillars, and benchmark their relative position against peers. Third, environmental innovation can be considered a new potential, as the market as a whole in this area is still lagging. Given the growing pressure to improve environmental technology and innovation, prospective acquirers should confidently prioritise actions on green revenue, product innovation, and capital expenditure now rather than ticking these boxes later. Originality value: The key contribution is offering valuable insights into the impact of acquirers’ environmental performance on long-term value creation in mergers and acquisitions (M&A). These results fill the gap in the literature focusing mainly on the effect of environmental pillar and sub-pillar scores on acquirer’s firm value. The authors claim that analysing sub-pillar-level granularity is crucial for accurately measuring the effects on firm-level performance. Full article
Show Figures

Figure 1

22 pages, 517 KB  
Article
Improving Corporate Environmental Performance Through Big Data Analytics Implementation: The Role of Industry Environment
by Ahmed Alyahya and Gomaa Agag
Sustainability 2025, 17(7), 2928; https://doi.org/10.3390/su17072928 - 26 Mar 2025
Cited by 2 | Viewed by 2316
Abstract
Big data analytics (BDA) has recently received significant public interest and is widely considered as a transformative technology set to improve organizations’ environmental performance. However, prior empirical studies have yielded inconsistent findings. Based on organizational learning theory, our paper utilized a longitudinal approach [...] Read more.
Big data analytics (BDA) has recently received significant public interest and is widely considered as a transformative technology set to improve organizations’ environmental performance. However, prior empirical studies have yielded inconsistent findings. Based on organizational learning theory, our paper utilized a longitudinal approach to understand the relationships between big data analytics implementation and corporate environmental performance. This project also investigates the role of industry environment in influencing on these relationships. This project employed longitudinal data from 172 firms covering 2408 firm-year observations from Fortune 200 firms. We employed “the generalized method of moments (GMMs) technique” to test the study assumptions. Our analysis shows that a one-unit improvement in BDA leads to, on average, a 2.8% improvement in corporate environmental performance (CEP). In addition, the impact of BDA on CEP is greater in more complex and dynamic settings. This project offers meaningful implications for scholars and managers to understand the influence of BDA on CEP across various settings. Moreover, this study provides a more refined comprehension of the performance ramifications of BDA, consequently addressing the essential enquiries of how and when BDA can improve environmental performance. Full article
Show Figures

Figure 1

28 pages, 1679 KB  
Article
Green Innovation and Environmental Performance: The Moderating Roles of Governance and Policy
by Fatima Batool, Muhammad Mohsin and Belal Mahmoud Alwadi
World 2025, 6(1), 29; https://doi.org/10.3390/world6010029 - 17 Feb 2025
Cited by 9 | Viewed by 7755
Abstract
This study investigates the impact of green innovation (GI) on corporate environmental performance (CEP), while examining the moderating roles of corporate governance practices (CGPs) and environmental policy pressure (EPP). This study uses advanced statistical methods to ensure the reliability of the results. These [...] Read more.
This study investigates the impact of green innovation (GI) on corporate environmental performance (CEP), while examining the moderating roles of corporate governance practices (CGPs) and environmental policy pressure (EPP). This study uses advanced statistical methods to ensure the reliability of the results. These include techniques such as propensity score matching (PSM), difference-in-differences (DID) analysis with China’s National Green Development Fund (2020) as the policy intervention, and the generalized method of moments (GMM), and this study examines how internal governance mechanisms and external regulatory pressures influence the GI-CEP relationship. The results show that GI significantly increases CEP, and that this effect is amplified by robust CGPs and EPP. By analyzing data from 4026 firm-year observations of A-share listed Chinese companies (2017–2022), the findings highlight the importance of innovation, governance, and policy in achieving sustainable environmental outcomes. This study provides valuable insights for firms and policymakers to foster green innovation and align corporate strategies with global sustainability goals. Full article
(This article belongs to the Special Issue Corporate Governance, Social Responsibility and Performance)
Show Figures

Figure 1

22 pages, 547 KB  
Article
How Does Corporate Environmental Performance Contribute to Firm Performance and Customer Satisfaction? A Longitudinal Investigation
by Mansour Alyahya and Gomaa Agag
Sustainability 2025, 17(4), 1644; https://doi.org/10.3390/su17041644 - 17 Feb 2025
Viewed by 4727
Abstract
This research adopted a distinctive approach to explore the link between corporate environmental performance, customer satisfaction, and firm performance. It also examines the moderating role of digital transformation on these relationships. We collected longitudinal data covering 2745 firm-year observations from the U.S. Standard [...] Read more.
This research adopted a distinctive approach to explore the link between corporate environmental performance, customer satisfaction, and firm performance. It also examines the moderating role of digital transformation on these relationships. We collected longitudinal data covering 2745 firm-year observations from the U.S. Standard & Poor’s (S&P) 500. Our study utilised “the generalised method of moments (GMM) technique” to analyse the longitudinal data. The results revealed that a one-unit enhancement in CEP results in, on average, a 10.1% rise in the growth rate of ROA, a 13.40% increase in Tobin’s Q, and a 14.2% increase in customer satisfaction. Moreover, digital transformation moderates the links between CEP, firm performance, and customer satisfaction. The findings of our study guide policymakers, researchers, shareholders, and managers in addressing the challenge of corporate environmental performance. Full article
Show Figures

Figure 1

21 pages, 329 KB  
Article
The Strength Within: CSR Governance as an Environmental Performance Driver in Weak Institutional Contexts
by Eun-jung Hyun and Si Yu
Systems 2024, 12(12), 515; https://doi.org/10.3390/systems12120515 - 24 Nov 2024
Cited by 1 | Viewed by 2643
Abstract
This study investigates how the relationship between firm-level corporate social responsibility (CSR) governance and corporate environmental performance (CEP) varies across diverse national contexts. Drawing on institutional theory, organizational adaptation theory, and the concept of institutional voids, we analyze an extensive dataset of 5326 [...] Read more.
This study investigates how the relationship between firm-level corporate social responsibility (CSR) governance and corporate environmental performance (CEP) varies across diverse national contexts. Drawing on institutional theory, organizational adaptation theory, and the concept of institutional voids, we analyze an extensive dataset of 5326 firms from 26 OECD countries over a seven-year period (2013–2019). Employing panel data analysis, we examine the moderating effects of country-level factors on the CSR governance–CEP relationship. Our findings reveal a significant positive association between a firm’s CSR governance quality and environmental performance, which is notably stronger in countries characterized by weaker environmental governance, less prominent societal environmental values, and fewer climate mitigation laws and policies. These results suggest that firms with strong CSR governance effectively fill institutional voids in environmental governance, going beyond mere compliance to drive environmental performance improvements where external pressures are weak. Our study contributes to the literature by advancing the current understanding of the contextual nature of CSR, extending the application of institutional void theory to environmental governance landscapes in developed economies, and providing a more nuanced perspective on when and where CSR governance matters most for environmental outcomes. These insights offer valuable implications for managers in diverse institutional contexts and for policymakers seeking to enhance corporate environmental performance through complementary governance mechanisms. Full article
22 pages, 311 KB  
Article
Can Government Environmental Attention Improve Corporate Carbon Emission Reduction Performance?—Evidence from China A-Share Listed Companies with High-Energy-Consumption
by Chuanfei Li and Luguang Qi
Sustainability 2024, 16(11), 4660; https://doi.org/10.3390/su16114660 - 30 May 2024
Cited by 5 | Viewed by 2334
Abstract
Government support for achieving corporate carbon emission reduction is crucial not only for sustainable business development, but it also holds strategic importance for China to achieve its “dual-carbon” goals. This article empirically explores the impact and underlying mechanisms of government environmental attention (GEA) [...] Read more.
Government support for achieving corporate carbon emission reduction is crucial not only for sustainable business development, but it also holds strategic importance for China to achieve its “dual-carbon” goals. This article empirically explores the impact and underlying mechanisms of government environmental attention (GEA) on corporate carbon emission reduction performance (CEP), using a sample of A-share listed companies with high energy consumption from 2009 to 2020. The results show that GEA can improve corporate CEP. A heterogeneity analysis found that this effect is more pronounced in heavily polluting industries, small and medium-sized enterprises (SMEs), and companies located in the eastern regions of the country. A mechanism analysis suggested that GEA can improve corporate CEP by strengthening internal green technological innovation capabilities and attracting attention from external analysts and media. These research conclusions guide corporate carbon emission reduction practices and offer empirical evidence for the government in formulating regulatory policies for carbon reduction. Full article
22 pages, 961 KB  
Article
Executives with Environmental Experience and Corporate Environmental Performance: Evidence from China’s A-Share Listed Companies
by Chunfeng Dong, Jun He, Longzheng Du and Jing Yang
Sustainability 2023, 15(20), 15062; https://doi.org/10.3390/su152015062 - 19 Oct 2023
Cited by 5 | Viewed by 3030
Abstract
Based on the data of China’s A-share listed companies from 2008 to 2021, this article explores the impact and mechanism of executives with environmental experience on corporate environmental performance (CEP) and finds that executives with environmental experience significantly improve CEP. The heterogeneous analysis [...] Read more.
Based on the data of China’s A-share listed companies from 2008 to 2021, this article explores the impact and mechanism of executives with environmental experience on corporate environmental performance (CEP) and finds that executives with environmental experience significantly improve CEP. The heterogeneous analysis shows that the improvement effect of executives with environmental experience on CEP is more significant in non-state-owned enterprises, non-heavy-polluting enterprises, and enterprises in regions with higher levels of marketization. The mechanism test shows that important channels for executives with environmental experience to improve CEP include attracting green investors, promoting green innovation, and obtaining government environmental subsidies. Further analysis shows that under the governance of executives with environmental experience, the improvement of CEP is conducive to strengthening corporate social responsibility and enhancing enterprise value. The research conclusions provide direct evidence for improving CEP and achieving sustainable development for enterprises and society. Full article
(This article belongs to the Special Issue Sustainability in Business Ethics and Corporate Social Responsibility)
Show Figures

Figure 1

16 pages, 692 KB  
Article
The Role of Green Training in the Ministry of Education’s Corporate Environmental Performance: A Mediation Analysis of Organizational Citizenship Behavior towards the Environment and Moderation Role of Perceived Organizational Support
by Mohammed Ahmed Japir Bataineh, Matina Ghasemi and Mazyar Ghadiri Nejad
Sustainability 2023, 15(10), 8398; https://doi.org/10.3390/su15108398 - 22 May 2023
Cited by 15 | Viewed by 4335
Abstract
Recently, the relationship between green human resource management (GHRM) and environmental performance has received a lot of attention from scholars. Teaching, training, and research and development carried out in higher education institutions, which are crucial sources for the promotion of sustainability, encourage GHRM. [...] Read more.
Recently, the relationship between green human resource management (GHRM) and environmental performance has received a lot of attention from scholars. Teaching, training, and research and development carried out in higher education institutions, which are crucial sources for the promotion of sustainability, encourage GHRM. Using signaling theory, this study aimed to deal with the different roles of green training in the Ministry of Education’s corporate environmental performance. The mediation analysis of organizational citizenship behavior towards the environment was considered and the moderation role of perceived organizational support was evaluated. A survey was prepared to analyze the opinions of managers and staff of the Ministry of Education in Iran. After collecting the surveys, 211 complete responses were analyzed and the most important results from these surveys concluded that: (1) the important tools in adopted strategies for green training improve organizational citizenship behavior towards the environment (OCB) and the Ministry of Educations’ environmental performance; (2) the role of OCB in mediating the effects of training on corporate environmental performance (CEP) is essential; (3) perceived organization support (POS) has a moderation role between green training and CEP. Full article
Show Figures

Figure 1

25 pages, 316 KB  
Article
Value Relevance of Corporate Environmental Performance: A Comprehensive Analysis of Performance Indicators Using Korean Data
by Hyunwoo Choi, Ingoo Han and Jaywon Lee
Sustainability 2020, 12(17), 7209; https://doi.org/10.3390/su12177209 - 3 Sep 2020
Cited by 11 | Viewed by 3923
Abstract
This paper examines the value relevance of corporate environmental performance (CEP) using individual environmental performance indicators and multidimensional constructs derived from Trumpp et al. (2015). Accounting information can be described as ‘value-relevant’ when the information in financial statements has the ability to explain [...] Read more.
This paper examines the value relevance of corporate environmental performance (CEP) using individual environmental performance indicators and multidimensional constructs derived from Trumpp et al. (2015). Accounting information can be described as ‘value-relevant’ when the information in financial statements has the ability to explain firm value. In recent years, stakeholders such as governments, public institutions, firms, customers, and local communities have recognized the importance of corporate environmental performance. Thus, one of the main research questions is whether corporate environmental performance is value relevant. The empirical results in this paper indicate that only a few individual environmental performance indicator variables are value relevant, while most environmental performance constructs have a significant impact on firm value. Our findings suggest that firm value significantly increases with improved environmental management or operational performance. In addition, environmental performance indicators and environmental performance constructs have a significant impact on firms in environmentally sensitive industries, confirming the notion of higher value relevance of environmental information for firms in these industries. This study contributes to prior literature by carrying out a comprehensive analysis on the multidimensional nature of corporate environmental performance and its impact on value relevance. This paper also reconciles extant literature on the construct validity of environmental performance indicators and environmental performance constructs by formulating standardized composite measures of CEP following Larker et al. (2007). Full article
18 pages, 481 KB  
Article
Linking Corporate Environmental Performance to Financial Performance of Pakistani Firms: The Roles of Technological capability and Public awareness
by Weiwei Wu, Rizwan Ullah and Syed Jamal Shah
Sustainability 2020, 12(4), 1446; https://doi.org/10.3390/su12041446 - 15 Feb 2020
Cited by 24 | Viewed by 4297
Abstract
This research investigates the corporate environmental performance (CEP) literature toward its financial performance of the firm. CEP is defined as the exercise and practices of companies to choose sensible measures to save and develop environment-friendly green activities. The influence of CEP on the [...] Read more.
This research investigates the corporate environmental performance (CEP) literature toward its financial performance of the firm. CEP is defined as the exercise and practices of companies to choose sensible measures to save and develop environment-friendly green activities. The influence of CEP on the financial performance of the firm via technological capability was examined. Furthermore, public awareness was hypothesized to moderate the impact of CEP on technological capability indicating moderation mediation. When public awareness was high, the relationship between the CEP and technological capability should be stronger. Content analysis was used for data collection. The model was tested using a sample of 1491 observations from the manufacturing companies of Pakistan. The data were collected between the period 2008 and 2017 from the annual reports of the companies, State Bank of Pakistan, and Pakistan Stock exchange. A hierarchical regression analysis was used for data analysis. Using bootstrap analysis, we used model 8 in Stata to examine conditional direct and indirect effects. Results supported the indirect effect of CEP on financial performance through strengthening technological capability. Both direct and indirect effects were significant. Consistent with theoretical assumptions, the indirect effect becomes stronger with high public awareness and diminished with low public awareness. Both theoretical and practical contributions are discussed based on the outcomes. Full article
(This article belongs to the Section Economic and Business Aspects of Sustainability)
Show Figures

Figure 1

16 pages, 684 KB  
Article
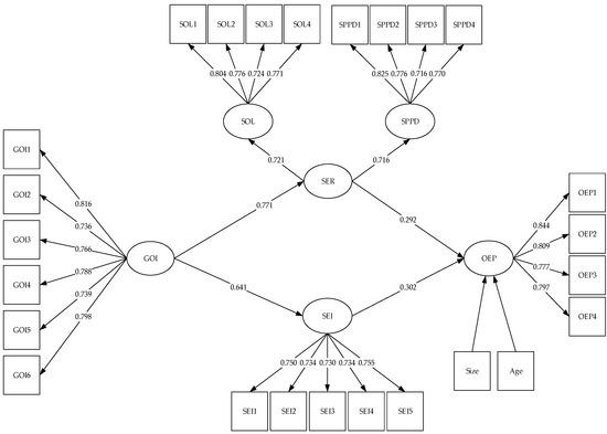
The Relationship between Green Organization Identity and Corporate Environmental Performance: The Mediating Role of Sustainability Exploration and Exploitation Innovation
by Xinpeng Xing, Jianhua Wang and Lulu Tou
Int. J. Environ. Res. Public Health 2019, 16(6), 921; https://doi.org/10.3390/ijerph16060921 - 14 Mar 2019
Cited by 44 | Viewed by 4696
Abstract
The link between green organizational identity (GOI) and corporate environmental performance (CEP) has been investigated, but existing studies have no consistent conclusion. A significant research gap remains regarding the mediating role of sustainability exploration innovation (SER), sustainability exploitation innovation (SEI), and the moderating [...] Read more.
The link between green organizational identity (GOI) and corporate environmental performance (CEP) has been investigated, but existing studies have no consistent conclusion. A significant research gap remains regarding the mediating role of sustainability exploration innovation (SER), sustainability exploitation innovation (SEI), and the moderating role of government environmental regulation (GER). This study explored the relationship between GOI and CEP in a moderated meditation model which includes SER, SEI, and GER. Using structural equation modelling and bootstrap method based on data sets from of 380 Chinese companies, the results show that: (1) GOI promotes SER, thereby enhancing CEP; (2) GOI promotes SEI, thereby enhancing CEP; (3) GER can positively moderate the indirect effect of GOI on CEP via SER; (4) GER negatively moderate the indirect effect of GOI on CEP via SEI. These findings suggest that firms choose different innovative ways between SER and SEI to improve CEP which depends on different levels of GER in China. Full article
Show Figures

Figure 1

18 pages, 461 KB  
Article
A Win-Win Outcome between Corporate Environmental Performance and Corporate Value: From the Perspective of Stakeholders
by Chun Jiang and Qiang Fu
Sustainability 2019, 11(3), 921; https://doi.org/10.3390/su11030921 - 12 Feb 2019
Cited by 29 | Viewed by 7047
Abstract
This paper combines determinants of corporate environment performance (CEP) and the effect of CEP on corporate value together, namely how to motivate firms to conduct environmental protection from the perspective of enhancing firm value. Using a sample of 204 observations of listed corporations [...] Read more.
This paper combines determinants of corporate environment performance (CEP) and the effect of CEP on corporate value together, namely how to motivate firms to conduct environmental protection from the perspective of enhancing firm value. Using a sample of 204 observations of listed corporations in Chinese pollution-intensive industries over the period of 2013–2014, we observed that: (1) compared to investment in a single stakeholder, combinations of multidimensional stakeholders are more likely to affect CEP, and the path is not unique; (2) employees have a positive role, but investors, the community, suppliers, and customers have negative roles; (3) among three patterns for high CEP, both high investment in employees and low investment in the community, suppliers and customers will not detract from firm value, i.e., a win-win outcome; (4) among three patterns for low CEP, one will enhance firm value; and (5) the investor should be seen as an important breakthrough in corporate environmental protection. Such conclusions have stronger promotional value for other emerging countries where corporate social and environmental responsibility is still in the initial stage and the traditional corporate government mode still has a leading position. Full article
Show Figures

Figure 1

15 pages, 227 KB  
Article
The Link between Corporate Environmental and Corporate Financial Performance—Viewpoints from Practice and Research
by Anne Bergmann
Sustainability 2016, 8(12), 1219; https://doi.org/10.3390/su8121219 - 25 Nov 2016
Cited by 15 | Viewed by 6578
Abstract
For more than 40 years, a tremendous number of studies have empirically explored the relationship between Corporate Environmental Performance (CEP) and Corporate Financial Performance (CFP). This study considers the relationship from a new perspective—via a qualitative research approach based on expert interviews. First, [...] Read more.
For more than 40 years, a tremendous number of studies have empirically explored the relationship between Corporate Environmental Performance (CEP) and Corporate Financial Performance (CFP). This study considers the relationship from a new perspective—via a qualitative research approach based on expert interviews. First, practitioners are queried for their view on the link between CEP and CFP and how to measure it. Since the vast majority see a positive relationship, this study contributes with a new form of evidence that it pays to be green. The chosen qualitative approach also allows a more detailed analysis of underlying cause-and-effect mechanisms. For instance, interviewed practitioners emphasize a direct and indirect impact from CEP on CFP. Second, the study conducts interviews with experts from research and associations (non-practitioners) and compares the viewpoints of the two interview groups. One prevalent difference refers to the fact that non-practitioners do not focus on the two impact levels. Moreover, business experts perceive the link between CEP and CFP as much less complex and reveal more pragmatically oriented considerations. The study then discusses how the interview results and identified differences can be used to direct future research and to support corporations in their move towards sustainability. Full article
(This article belongs to the Section Economic and Business Aspects of Sustainability)
Back to TopTop