Sign in to use this feature.

Years

Between: -

Subjects

remove_circle_outline
remove_circle_outline
remove_circle_outline
remove_circle_outline
remove_circle_outline

Journals

Article Types

Countries / Regions

Search Results (11)

Search Parameters:
Keywords = corner cube retroreflector

Order results
Result details
Results per page
Select all
Export citation of selected articles as:
12 pages, 7748 KB  
Article
MoonLIGHT and MPAc: The European Space Agency’s Next-Generation Lunar Laser Retroreflector for NASA’s CLPS/PRISM1A (CP-11) Mission
by Marco Muccino, Michele Montanari, Rudi Lauretani, Alejandro Remujo Castro, Laura Rubino, Ubaldo Denni, Raffaele Rodriquez, Lorenzo Salvatori, Mattia Tibuzzi, Luciana Filomena, Lorenza Mauro, Douglas Currie, Giada Bargiacchi, Emmanuele Battista, Salvatore Capozziello, Mauro Maiello, Luca Porcelli, Giovanni Delle Monache and Simone Dell’Agnello
Remote Sens. 2025, 17(5), 813; https://doi.org/10.3390/rs17050813 - 26 Feb 2025
Cited by 2 | Viewed by 1602
Abstract
Since 1969, 55 years ago, Lunar Laser Ranging (LLR) has provided accurate and precise (down to ~1 cm RMS) measurements of the Moon’s orbit thanks to the Apollo and Lunokhod Cube Corner Retroreflector (CCR) Laser Retroreflector Arrays (LRAs) deployed on the Moon. Nowadays, [...] Read more.
Since 1969, 55 years ago, Lunar Laser Ranging (LLR) has provided accurate and precise (down to ~1 cm RMS) measurements of the Moon’s orbit thanks to the Apollo and Lunokhod Cube Corner Retroreflector (CCR) Laser Retroreflector Arrays (LRAs) deployed on the Moon. Nowadays, the current level of precision of these measurements is largely limited by the lunar librations affecting the old generation of LRAs. To improve this situation, next-generation libration-free retroreflectors are necessary. To this end, the Satellite/lunar/GNSS laser ranging/altimetry and cube/microsat Characterization Facilities Laboratory (SCF_Lab) at the Istituto Nazionale di Fisica Nucleare—Laboratori Nazionali di Frascati (INFN-LNF), in collaboration with the University of Maryland (UMD) and supported by the Italian Space Agency (ASI), developed MoonLIGHT (Moon Laser Instrumentation for General relativity High-accuracy Tests), a single large CCR with a front face diameter of 100 mm, nominally unaffected by librations, and with optical performances comparable to the Apollo/Lunokhod LRAs of CCRs. Such a big CCR (hereafter, ML100) is mounted into a specifically devised, designed, and manufactured robotic actuator, funded by the European Space Agency (ESA), the so-called MoonLIGHT Pointing Actuator (MPAc), which, once its host craft has landed on the Moon, will finely align the front face of the ML100 towards the Earth. The (optical) performances of such a piece of hardware, MoonLIGHT+MPAc, were tested in/by the SCF_Lab in order to ensure that it was space flight ready before its integration onto the deck of the host craft. After its successful deployment on the Moon, additional and better-quality LLR data (down to ~ 1 mm RMS or better for the contribution of the laser retroreflector instrument, MoonLIGHT, to the total LLR error budget) will be available to the community for future and enhanced tests of gravitational theories. Full article
Show Figures

Figure 1

26 pages, 14961 KB  
Article
A Geometric Calibration Method for Spaceborne Single-Photon Lasers That Integrates Laser Detectors and Corner Cube Retroreflectors
by Ren Liu, Junfeng Xie, Fan Mo, Xiaomeng Yang, Zhiyu Jiang and Liang Hong
Remote Sens. 2025, 17(5), 773; https://doi.org/10.3390/rs17050773 - 23 Feb 2025
Viewed by 604
Abstract
Geometric calibration, as a crucial method for ensuring the precision of spaceborne single-photon laser point cloud data, has garnered significant attention. Nonetheless, prevailing geometric calibration methods are generally limited by inadequate precision or are unable to accommodate spaceborne lasers equipped with multiple payloads [...] Read more.
Geometric calibration, as a crucial method for ensuring the precision of spaceborne single-photon laser point cloud data, has garnered significant attention. Nonetheless, prevailing geometric calibration methods are generally limited by inadequate precision or are unable to accommodate spaceborne lasers equipped with multiple payloads on a single platform. To overcome these limitations, a novel geometric calibration method for spaceborne single-photon lasers that integrates laser detectors with corner cube retroreflectors (CCRs) is introduced in this study. The core concept of this method involves the use of triggered detectors to identify the laser footprint centerline (LFC). The geometric relationships between the triggered CCRs and the LFC are subsequently analyzed, and CCR data are incorporated to determine the coordinates of the nearest laser footprint centroids. These laser footprint centroids are then utilized as ground control points to perform the geometric calibration of the spaceborne single-photon laser. Finally, ATLAS observational data are used to simulate the geometric calibration process with detectors and CCRs, followed by conducting geometric calibration experiments with the gt2l and gt2r beams. The results demonstrate that the accuracy of the calibrated laser pointing angle is approximately 1 arcsec, and the ranging precision is better than 2.1 cm, which verifies the superiority and reliability of the proposed method. Furthermore, deployment strategies for detectors and CCRs are explored to provide feasible implementation plans for practical calibration. Notably, as this method only requires the positioning of laser footprint centroids using ground equipment for calibration, it provides exceptional calibration accuracy and is applicable to single-photon lasers across various satellite platforms. Full article
Show Figures

Figure 1

17 pages, 6326 KB  
Article
A Tutorial on Retroreflectors and Arrays Used in Satellite and Lunar Laser Ranging
by John J. Degnan
Photonics 2023, 10(11), 1215; https://doi.org/10.3390/photonics10111215 - 31 Oct 2023
Cited by 9 | Viewed by 5808
Abstract
The present paper discusses the basics of retroreflector theory and the manner in which they are combined in arrays to service the laser tracking of artificial satellites and the Moon. We begin with a discussion of the relative advantages and disadvantages of solid [...] Read more.
The present paper discusses the basics of retroreflector theory and the manner in which they are combined in arrays to service the laser tracking of artificial satellites and the Moon. We begin with a discussion of the relative advantages and disadvantages of solid versus hollow cube corners and the functional dependence of their optical cross-sections and far-field patterns on cube diameter. Because of velocity aberration effects, the design of an array for a particular space mission depends on many factors, including the desired range accuracy and the satellite’s orbital altitude, velocity, and pass geometry relative to the tracking station. This generally requires the individual retroreflectors in the array to be “spoiled” by perturbing one or more of the 90-degree angles that define a perfect cube corner, or alternatively, by adding a curved surface to a hollow cube. In order to obtain adequate return signal strengths from all points along the satellite path, the rotational orientation of the retroreflectors within the array may need to be varied or “clocked”. Possible approaches to developing millimeter-accuracy arrays with both large cross-sections and ultrashort satellite signatures are discussed, as are new designs proposed to replace aging reflectors on the Moon. Finally, we briefly discuss methods for laser ranging beyond the Moon. Full article
(This article belongs to the Special Issue Optical Systems for Astronomy)
Show Figures

Figure 1

13 pages, 3408 KB  
Article
Analysis of Coaxiality Error Induced by the Cube Corner Retro-Reflector Geometrical and Assembly Errors of an Acquisition, Pointing, and Tracking System
by Daquan Li, Zhaoyong Mao, Lijuan Sun, Haifeng Zhang and Furui Zhang
Photonics 2023, 10(10), 1176; https://doi.org/10.3390/photonics10101176 - 23 Oct 2023
Cited by 1 | Viewed by 1835
Abstract
Satellite laser communication is a promising technology for the next-generation communication system. Its communication performance is subject to the APT beam-pointing accuracy. One of the most important problems is reducing the coaxiality error before the APT starts working. However, the coaxiality error is [...] Read more.
Satellite laser communication is a promising technology for the next-generation communication system. Its communication performance is subject to the APT beam-pointing accuracy. One of the most important problems is reducing the coaxiality error before the APT starts working. However, the coaxiality error is difficult to correct effectively owing to the lack of empirical guidance based on qualitative analysis. We study the inducement that will generate coaxiality errors. The mathematical model of the influence of the CCR dihedral angle error and planeness error on the spot centroid measurement are built, and an analysis is performed. The model of the beam-pointing error induced by the APT element’s assembly error is built, and the pointing error change rule is explored. Furthermore, the coaxiality performance simulation is performed in the presence of a CCR geometrical error while considering the assembly error. The results show that the coaxiality error has a nonlinear characteristic. The CCR planeness error has a greater influence on coaxiality deviation than that of dihedral angle error under certain conditions. This research is relevant to the design and test work of the APT system. Full article
(This article belongs to the Special Issue Optical Imaging and Measurements)
Show Figures

Figure 1

13 pages, 6420 KB  
Article
Fabrication of Large-Area Micro-Hexagonal Cube Corner Retroreflectors on Three-Linear-Axis Ultraprecision Lathes
by Senbin Xia, Ziqiang Yin, Cheng Huang and Songtao Meng
Micromachines 2023, 14(4), 752; https://doi.org/10.3390/mi14040752 - 29 Mar 2023
Cited by 3 | Viewed by 2504
Abstract
Hexagonal cube corner retroreflectors (HCCRs) are the micro-optics arrays with the highest reflectivity. However, these are composed of prismatic micro-cavities with sharp edges, and conventional diamond cutting is considered unmachinable. Besides, 3-linear-axis ultraprecision lathes were considered unfeasible to fabricate HCCRs due to the [...] Read more.
Hexagonal cube corner retroreflectors (HCCRs) are the micro-optics arrays with the highest reflectivity. However, these are composed of prismatic micro-cavities with sharp edges, and conventional diamond cutting is considered unmachinable. Besides, 3-linear-axis ultraprecision lathes were considered unfeasible to fabricate HCCRs due to the lack of a rotation axis. Therefore, a new machining method is proposed as a viable option to manufacture HCCRs on the 3-linear-axis ultraprecision lathes in this paper. For the mass production of HCCRs, the dedicated diamond tool is designed and optimized. The toolpaths are proposed and optimized to further increase tool life and machining efficiency. The Diamond Shifting Cutting (DSC) method is analyzed in-depth both theoretically and experimentally. By using the optimized methods, the large-area HCCRs with a structure size of 300 µm covering an area of 10 × 12 mm2 are successfully machined on 3-linear-axis ultraprecision lathes. The experimental results show that the whole array is highly uniform, and the surface roughness Sa of three cube corner facets is all less than 10 nm. More importantly, the machining time is reduced to 19 h, which is far less than the previous processing methods (95 h). This work will significantly reduce the production threshold and costs, which is important to promote the industrial application of HCCRs. Full article
(This article belongs to the Special Issue Micro/Nano-Machining of Functional Structures and Surfaces)
Show Figures

Figure 1

11 pages, 5936 KB  
Article
Sunlight Communication System Built with Tunable 3D-Printed Optical Components
by Ching-Kai Shen, Wei-Ting Chen, Yu-Hsin Wu, Kai-Ying Lai and Jui-che Tsai
Photonics 2022, 9(3), 188; https://doi.org/10.3390/photonics9030188 - 16 Mar 2022
Cited by 5 | Viewed by 3607
Abstract
In this paper, optical components are fabricated using a 3D printing method. The two following strategies are adopted: 1. combining 3D printing, “origami”, and metal coating/attaching to directly manufacture parabolic reflectors; 2. inserting mirrors into 3D-printed frames and assembling the mirrors to form [...] Read more.
In this paper, optical components are fabricated using a 3D printing method. The two following strategies are adopted: 1. combining 3D printing, “origami”, and metal coating/attaching to directly manufacture parabolic reflectors; 2. inserting mirrors into 3D-printed frames and assembling the mirrors to form a corner cube retroreflector (CCR). PDLC (polymer dispersed liquid crystal) films are integrated with these optical components to achieve voltage-controlled optical power modulation. The tunable CCR is used to construct a solar light communication system. Using sunlight directly as the light source for communication is rarely seen. In this paper, we demonstrate a proof of concept of sunlight communication, exploring a new route of solar energy utilization, in addition to electricity generation and heating. Full article
(This article belongs to the Special Issue Advances in Optical Wireless Technologies and Applications)
Show Figures

Figure 1

21 pages, 9077 KB  
Article
Early ICESat-2 on-orbit Geolocation Validation Using Ground-Based Corner Cube Retro-Reflectors
by Lori A. Magruder, Kelly M. Brunt and Michael Alonzo
Remote Sens. 2020, 12(21), 3653; https://doi.org/10.3390/rs12213653 - 7 Nov 2020
Cited by 122 | Viewed by 5928
Abstract
The Ice, Cloud and Land Elevation Satellite-2 (ICESat-2), an Earth-observing laser altimetry mission, is currently providing global elevation measurements. Geolocation validation confirms the altimeter’s ability to accurately position the measurement on the surface of the Earth and provides insight into the fidelity of [...] Read more.
The Ice, Cloud and Land Elevation Satellite-2 (ICESat-2), an Earth-observing laser altimetry mission, is currently providing global elevation measurements. Geolocation validation confirms the altimeter’s ability to accurately position the measurement on the surface of the Earth and provides insight into the fidelity of the geolocation determination process. Surfaces well characterized by independent methods are well suited to provide a measure of the ICESat-2 geolocation accuracy through statistical comparison. This study compares airborne lidar data with the ICESat-2 along-track geolocated photon data product to determine the horizontal geolocation accuracy by minimizing the vertical residuals between datasets. At the same location arrays of corner cube retro-reflectors (CCRs) provide unique signal signatures back to the satellite from their known positions to give a deterministic solution of the laser footprint diameter and the geolocation accuracy for those cases where two or more CCRs were illuminated within one ICESat-2 transect. This passive method for diameter recovery and geolocation accuracy assessment is implemented at two locations: White Sands Missile Range (WSMR) in New Mexico and along the 88°S latitude line in Antarctica. This early on-orbit study provides results as a proof of concept for this passive validation technique. For the cases studied the diameter value ranged from 10.6 to 12 m. The variability is attributed to the statistical nature of photon-counting lidar technology and potentially, variations in the atmospheric conditions that impact signal transmission. The geolocation accuracy results from the CCR technique and airborne lidar comparisons are within the mission requirement of 6.5 m. Full article
Show Figures

Graphical abstract

16 pages, 9733 KB  
Article
ECE/SAE Dual Functional SuperPin Plus Curved Reflex Reflector by Use of New Structured Corner Cubes
by Hien-Thanh Le, Lanh-Thanh Le, Ming-Jui Chen, Thanh-Hong Lam, Hsing-Yuan Liao, Guo-Feng Luo, Yung-Cheng Li and Hsiao-Yi Lee
Appl. Sci. 2020, 10(2), 454; https://doi.org/10.3390/app10020454 - 8 Jan 2020
Cited by 6 | Viewed by 4502
Abstract
We propose and demonstrate, using optical experiments, a new reflex reflector structure called SuperPin Plus. The structure is composed of special pin groups with dihedral-angle offsets in corner cubes. One of the specular features brought by this new design is that it can [...] Read more.
We propose and demonstrate, using optical experiments, a new reflex reflector structure called SuperPin Plus. The structure is composed of special pin groups with dihedral-angle offsets in corner cubes. One of the specular features brought by this new design is that it can comply with both the US SAE (US Society of Automotive Engineers) standard and the EU ECE (Economic Commission for Europe) standard, so that manufacturing costs of reflex reflector for both European and American automobile markets can be reduced. By using genetic algorithms for optimization, the angles and the positions of the pins, which are the building elements of corner cube reflectors, serve as the parameters to tune up the performance of the SuperPin Plus curved reflex reflector. Compared with conventional ECE flat regular retro-reflectors, we found that not only can we achieve a 41% higher retro-reflection efficiency with the ECE SuperPin Plus flat reflex reflector, but that SuperPin Plus can also act as a reflex reflector within SAE standards. In addition, we demonstrate that the retro-reflection efficiency is 30.5% higher (SAE standard) and 42.7% higher (ECE standard), and that a 32% increase in working area can be achieved if double pin groups are used to construct the corner cubes instead of a single pin arrangement, in a curved SuperPin Plus reflex reflector. Full article
(This article belongs to the Section Optics and Lasers)
Show Figures

Figure 1

24 pages, 7069 KB  
Article
A Novel Approach for Underwater Vehicle Localization and Communication Based on Laser Reflection
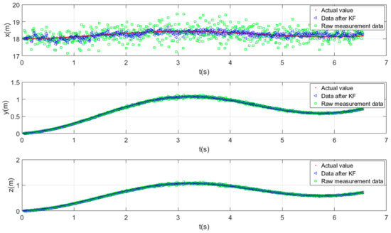
by Shijun Wu, Puzhe Zhou, Canjun Yang, Yushi Zhu and Hui Zhi
Sensors 2019, 19(10), 2253; https://doi.org/10.3390/s19102253 - 15 May 2019
Cited by 7 | Viewed by 5103
Abstract
This study presents a device for tracking, locating and communicating underwater vehicles as they work near the seabed. The system includes a base station placed on the seabed and a reflective module mounted on a hybrid underwater profiler (HUP). The base station localizes [...] Read more.
This study presents a device for tracking, locating and communicating underwater vehicles as they work near the seabed. The system includes a base station placed on the seabed and a reflective module mounted on a hybrid underwater profiler (HUP). The base station localizes and communicates with the HUP working near the seabed based on laser reflections of corner cube retroreflectors. A tracking method based on the particle filter algorithm is then presented. Localization is performed using the least-squares method with refraction compensation. Lost tracking links are retrieved via a recovering approach based on the interpolation method. Finally, a communication method using a modulating retroreflector installed on the reflection module is proposed. The proposed tracking, localization, and communication approach provides higher localization accuracy with lower power consumption at low cost compared with the commonly used acoustic methods. The effectiveness of the proposed approach was clarified via tracking, localization, and communication experiments. Full article
(This article belongs to the Section Physical Sensors)
Show Figures

Figure 1

15 pages, 9094 KB  
Article
Enhancement of ECE SuperPin Curved Reflex Reflector by the Use of Double Pins with Corner Cubes
by Lanh-Thanh Le, Hien-Thanh Le, Ming-Jui Chen, Guo-Feng Luo, Hsing-Yuan Liao, Hsin-Yi Ma and Hsiao-Yi Lee
Appl. Sci. 2019, 9(8), 1555; https://doi.org/10.3390/app9081555 - 15 Apr 2019
Cited by 5 | Viewed by 3996
Abstract
A new, highly efficient curved reflex reflector is proposed to meet the requirement of EU ECE (Economic Commission for Europe) regulations based on the commercial design provided by an automotive company which has been in mass production. We used double pins with corner [...] Read more.
A new, highly efficient curved reflex reflector is proposed to meet the requirement of EU ECE (Economic Commission for Europe) regulations based on the commercial design provided by an automotive company which has been in mass production. We used double pins with corner cubes which served as the building element of a SuperPin curved retro-reflector to enhance reflectivity performance. Our experiment outcomes indicated 46% higher retro-reflection efficiency and 33% larger working areas compared with the commercial design. Full article
(This article belongs to the Section Optics and Lasers)
Show Figures

Figure 1

17 pages, 596 KB  
Article
Design of a Base Station for MEMS CCR Localization in an Optical Sensor Network
by Chan Gook Park, Hyun Cheol Jeon, Hyoun Jin Kim and Jae Yoon Kim
Sensors 2014, 14(5), 8313-8329; https://doi.org/10.3390/s140508313 - 8 May 2014
Cited by 4 | Viewed by 6318
Abstract
This paper introduces a design and implementation of a base station, capable of positioning sensor nodes using an optical scheme. The base station consists of a pulse laser module, optical detectors and beam splitter, which are mounted on a rotation-stage, and a Time [...] Read more.
This paper introduces a design and implementation of a base station, capable of positioning sensor nodes using an optical scheme. The base station consists of a pulse laser module, optical detectors and beam splitter, which are mounted on a rotation-stage, and a Time to Digital Converter (TDC). The optical pulse signal transmitted to the sensor node with a Corner Cube Retro-reflector (CCR) is reflected to the base station, and the Time of Flight (ToF) data can be obtained from the two detectors. With the angle and flight time data, the position of the sensor node can be calculated. The performance of the system is evaluated by using a commercial CCR. The sensor nodes are placed at different angles from the base station and scanned using the laser. We analyze the node position error caused by the rotation and propose error compensation methods, namely the outlier sample exception and decreasing the confidence factor steadily using the recursive least square (RLS) methods. Based on the commercial CCR results, the MEMS CCR is also tested to demonstrate the compatibility between the base station and the proposed methods. The result shows that the localization performance of the system can be enhanced with the proposed compensation method using the MEMS CCR. Full article
(This article belongs to the Section Sensor Networks)
Show Figures

Back to TopTop