Sign in to use this feature.

Years

Between: -

Subjects

remove_circle_outline
remove_circle_outline
remove_circle_outline
remove_circle_outline
remove_circle_outline
remove_circle_outline
remove_circle_outline
remove_circle_outline
remove_circle_outline

Journals

remove_circle_outline
remove_circle_outline
remove_circle_outline
remove_circle_outline
remove_circle_outline
remove_circle_outline
remove_circle_outline
remove_circle_outline
remove_circle_outline
remove_circle_outline

Article Types

Countries / Regions

remove_circle_outline
remove_circle_outline
remove_circle_outline
remove_circle_outline
remove_circle_outline
remove_circle_outline

Search Results (1,570)

Search Parameters:
Keywords = cold-tolerance

Order results
Result details
Results per page
Select all
Export citation of selected articles as:
20 pages, 5159 KB  
Article
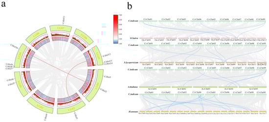
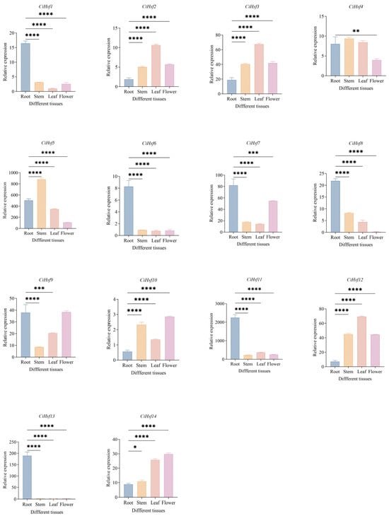
Genome-Wide Analysis of the Hsf Family and Functional Characterization of CiHsf10 Under Low-Temperature Stress in Chrysanthemum indicum
by Yuzhi Song, Siyu Feng, Xuanlu Liu, Jiayi Yin, Qianru Yu, Lixi Qu, Xue Yang, Yun Bai and Yunwei Zhou
Plants 2026, 15(8), 1149; https://doi.org/10.3390/plants15081149 (registering DOI) - 9 Apr 2026
Abstract
To improve Chrysanthemum tolerance to low temperatures and its adaptability to low autumn temperatures in Northeast China, we conducted the first genome-wide identification of the heat shock transcription factors (Hsfs) in Chrysanthemum indicum under low-temperature stress. Based on genome-wide analyses, we identified 14 [...] Read more.
To improve Chrysanthemum tolerance to low temperatures and its adaptability to low autumn temperatures in Northeast China, we conducted the first genome-wide identification of the heat shock transcription factors (Hsfs) in Chrysanthemum indicum under low-temperature stress. Based on genome-wide analyses, we identified 14 CiHsf genes in Chrysanthemum indicum. Based on structural characteristics, the genes were grouped into two subfamilies, comprising 10 HsfA and four HsfB members, with no representatives of the HsfC subfamily detected. CiHsf1~CiHsf14 were located on seven chromosomes, and their promoter regions harbored numerous cis-acting elements associated with responses to low temperature, hormones, and light. Tissue-specific expression profiling revealed that seven CiHsf genes were predominantly expressed in roots, two in stems, three in leaves, and two in flowers. The analysis of low-temperature expression characteristics showed that CiHsf2, CiHsf5, CiHsf8, and CiHsf10 were significantly upregulated following cold acclimation, indicating that these genes may participate in the low-temperature response mechanism of Chrysanthemum indicum. Here, we demonstrated that transient transformation of Chrysanthemum indicum with 35S:CiHsf10 reduced reactive oxygen species (ROS) accumulation under low-temperature stress, which may contribute to enhanced cold tolerance. Full article
(This article belongs to the Section Plant Genetics, Genomics and Biotechnology)
Show Figures

Figure 1

20 pages, 16995 KB  
Article
Comparing Transcriptome and Stem Anatomy Analysis Reveals That the Phenylpropanoid Pathway Is a Key Driving Factor for Lodging Resistance in Brassica rapa
by Hongyan Wei, Junmei Cui, Jiaping Wei, Yan Fang, Zefeng Wu, Guoqiang Zheng and Zigang Liu
Plants 2026, 15(7), 1134; https://doi.org/10.3390/plants15071134 - 7 Apr 2026
Abstract
Brassica rapa is widely cultivated in alpine and cold mountainous regions due to its strong cold tolerance. However, lodging severely limits its yield and quality. This study integrated agronomic traits, stem microstructure, and transcriptomic profiles to explore the mechanism of lodging resistance by [...] Read more.
Brassica rapa is widely cultivated in alpine and cold mountainous regions due to its strong cold tolerance. However, lodging severely limits its yield and quality. This study integrated agronomic traits, stem microstructure, and transcriptomic profiles to explore the mechanism of lodging resistance by comparing a resistant cultivar (Ganyou 3064, GY) and a susceptible cultivar (Tianyou 2022, TY) across four developmental stages (full flowering, final flowering, podding, and maturity). At the four growth stages, the stem breaking strength of GY was 1.71, 1.93, 1.88, and 1.88 times that of TY, respectively. Compared with TY, the gravity center height of GY was decreased by 25.04%, 16.6%, 11.18%, and 8.98% at these four stages, respectively. Similarly, the lodging index of GY was decreased by 65.94%, 55.08%, 56.06%, and 55.63% compared with TY, respectively. Biochemical and anatomical analyses revealed that compared with TY, the lignin content of GY increased by 1.93%, 2.7%, 3.05%, and 3.42% at the four stages, while the cellulose content increased by 92.75%, 45.32%, 44.4%, and 49.92%, respectively. Meanwhile, the epidermal thickness, cortical thickness, vascular bundle length, vascular bundle area, and vascular bundle density of GY were also significantly increased. Transcriptomic and KEGG pathway analyses revealed a predictive defense mechanism of GY. At the final flowering stage, GY showed pre-activation of hormone and MAPK signal transduction, as well as phenylpropanoid biosynthesis; it shifted to energy supply and sustained cell wall reinforcement at the podding stage. In addition, upregulated genes in phenylpropanoid biosynthesis (such as PAL3, CCoAOMT, and CAD9) indicated that enhanced stem lignification is a key molecular determinant of lodging resistance. In summary, GY enhances its lodging resistance through coordinated morphological and transcriptional regulation. This study is the first to integrate the lodging characteristics of Brassica rapa, offering valuable candidate genes and phenotypic markers for molecular breeding. Full article
(This article belongs to the Section Plant Genetics, Genomics and Biotechnology)
Show Figures

Figure 1

14 pages, 5513 KB  
Article
Functional Analysis of CbbHLH35 Reveals Its Role in Drought and Cold Stress Tolerance in Caladium bicolor
by Yinzhu Cao, Yan Huang, Huafeng Wu, Ximeng Yang, Fan Li, Shenchong Li and Shunzhao Sui
Plants 2026, 15(7), 1120; https://doi.org/10.3390/plants15071120 - 6 Apr 2026
Viewed by 192
Abstract
Caladium bicolor is an important ornamental foliage plant; however, its tropical origin makes it highly sensitive to environmental stresses such as drought and low temperature, which limits its cultivation and industrial development. Basic helix–loop–helix (bHLH) transcription factors play key roles in plant responses [...] Read more.
Caladium bicolor is an important ornamental foliage plant; however, its tropical origin makes it highly sensitive to environmental stresses such as drought and low temperature, which limits its cultivation and industrial development. Basic helix–loop–helix (bHLH) transcription factors play key roles in plant responses to abiotic stresses, but their functions in C. bicolor remain largely unknown. Here, a bHLH transcription factor gene, CbbHLH35, was cloned from C. bicolor, and its sequence characteristics, subcellular localization, expression patterns, and potential roles in stress responses were analyzed. The results showed that CbbHLH35 contains a conserved bHLH domain and is localized in the nucleus. qRT-PCR analysis revealed that CbbHLH35 is expressed in different tissues, with the highest expression in tubers, and is significantly induced by methyl jasmonate (MeJA), abscisic acid (ABA), drought, and low-temperature treatments. Transgenic C. bicolor plants overexpressing CbbHLH35 were generated and subjected to drought and cold stress. Compared with control plants, the overexpression lines showed higher chlorophyll content and POD activity but lower electrolyte leakage and MDA content, indicating enhanced drought and cold tolerance. These results suggest that CbbHLH35 plays a positive role in regulating drought and cold tolerance in C. bicolor and represents a promising candidate gene for the molecular breeding of stress-resistant cultivars. Full article
(This article belongs to the Special Issue Plant Stress Physiology and Molecular Biology (3rd Edition))
Show Figures

Figure 1

20 pages, 3418 KB  
Article
Genetic Diversification and Population Admixture Signatures in Yunnan Native Cattle
by Yiduan Liu, Wenbin Dao, Wenkun Xu, Xinyang Fan, Ruifei Yang and Yongwang Miao
Animals 2026, 16(7), 1105; https://doi.org/10.3390/ani16071105 - 3 Apr 2026
Viewed by 230
Abstract
This study investigates the genetic diversity, population structure, and adaptive differentiation of Yunnan native cattle (YNC) using whole-genome SNP data from 457 individuals, representing eight cattle populations and two closely related bovine species (Zhongdian yak and Dulong gayal). Genetic diversity analyses revealed a [...] Read more.
This study investigates the genetic diversity, population structure, and adaptive differentiation of Yunnan native cattle (YNC) using whole-genome SNP data from 457 individuals, representing eight cattle populations and two closely related bovine species (Zhongdian yak and Dulong gayal). Genetic diversity analyses revealed a distinct latitudinal gradient from north to south, with the highest diversity observed in the northern Diqing (DQC) and Zhaotong (ZTC) populations. The observed population structure was largely consistent with geographic distribution, identifying distinct ancestral components and complex admixture patterns. Genome-wide selective sweep scans revealed several key candidate genes underlying local adaptation. Notably, GRIA4 and DUOXA2 were associated with cold tolerance in northern populations, and ST3GAL3 and MST1 were implicated in heat stress adaptation in southern populations. Genome-wide balancing selection analyses further detected significant loci, such as MGST1 and SLC36A1, where divergent haplotype frequencies reflected differential selective pressures on milk-related traits between northern and southern populations. Additionally, we detected signals of historical introgression from Zhongdian yak into DQC cattle, highlighting the introgressed gene SLIT3 as a potential candidate associated with high-altitude thermogenesis. Collectively, these results provide a comprehensive genomic framework for the management and conservation of indigenous bovine genetic resources in Southwest China. Full article
(This article belongs to the Section Animal Genetics and Genomics)
Show Figures

Figure 1

21 pages, 13524 KB  
Review
From “Omics” to Field: Deciphering the Stress Adaptation Networks and Breeding Potential of Medicago ruthenica L.
by Chen Zhang, Yingfang Shen, Leping Qi and Xinxin Sun
Curr. Issues Mol. Biol. 2026, 48(4), 365; https://doi.org/10.3390/cimb48040365 - 1 Apr 2026
Viewed by 164
Abstract
Medicago ruthenica L., a superior forage crop within the genus Medicago (Fabaceae), is endowed with remarkable stress tolerance and an abundance of bioactive compounds, conferring significant ecological and forage value. Existing reviews primarily focus on a single research direction, and the most recent [...] Read more.
Medicago ruthenica L., a superior forage crop within the genus Medicago (Fabaceae), is endowed with remarkable stress tolerance and an abundance of bioactive compounds, conferring significant ecological and forage value. Existing reviews primarily focus on a single research direction, and the most recent findings are dated, failing to cover breakthroughs at the molecular level. This paper systematically synthesizes the latest research progress in five key areas: genetic diversity and genomic studies, biotic stress responses, abiotic stress tolerance mechanisms (drought, salinity, and low temperature, etc.), utilization (including genetic breeding, ecological restoration, and forage development), and future research prospects. This review addresses critical gaps in existing literature, particularly regarding advances in genomic sequencing, biotic stresses, and research on stress-associated microorganisms. Research indicates that M. ruthenica exhibits extensive genetic diversity, and its genome contains numerous positive selection signals associated with stress resistance. It can tolerate multiple abiotic and biotic stresses through morphoplasticity, physiological metabolic regulation, and transcriptional regulation. Furthermore, its symbiosis with microorganisms such as rhizobia significantly enhances its stress tolerance. M. ruthenica demonstrates outstanding application potential in degraded grassland restoration and high-quality forage production. Future research should focus on mining stress-resistant genes, optimizing molecular breeding techniques, and integrating artificial intelligence into breeding practices. That will facilitate its transformation from a regional endemic resource to a commercially viable functional species, thereby providing robust support for ecological security and the sustainable development of grassland-based livestock husbandry in cold and arid regions. Full article
Show Figures

Figure 1

16 pages, 4444 KB  
Article
Genome-Wide Analysis and Breeding Value of Yun1032S, a Novel Japonica P/TGMS Line Bred in the Low-Latitude Plateau
by Peirou Zhu, Jian Tu, Jing Tan, Zengyue Liu, Yihan Wu, Anyu Gu, Liping Yang, Wei Deng, Jianhua Zhang, Junjiao Guan, Jinwen Zhang, Limei Kui, Wei Dong and Xiaolin Li
Agronomy 2026, 16(7), 732; https://doi.org/10.3390/agronomy16070732 - 31 Mar 2026
Viewed by 213
Abstract
Two-line hybrid rice breeding relies on photoperiod-/thermosensitive genic male sterile (P/TGMS) lines with reliable fertility transition across different environments. The fertility of japonica P/TGMS lines is intricately regulated by photoperiod and temperature, making it more challenging to breed japonica sterile lines with stable [...] Read more.
Two-line hybrid rice breeding relies on photoperiod-/thermosensitive genic male sterile (P/TGMS) lines with reliable fertility transition across different environments. The fertility of japonica P/TGMS lines is intricately regulated by photoperiod and temperature, making it more challenging to breed japonica sterile lines with stable sterility than indica sterile lines. This complexity is one of the primary reasons the breeding and promotion of two-line japonica hybrid rice has lagged behind that of indica hybrid rice. Here, we report on Yun1032S, a novel japonica P/TGMS line bred in the low-latitude plateau. It was bred by crossing Peiai 64S, the famous P/TGMS line with the largest application area in China, with Yungengyou 1, a plateau japonica variety noted for its excellent cold tolerance and disease resistance. Yun1032S exhibited stable sterility and female-parent traits favorable for two-line seed production. The elite combination YLY7706 (Yunliangyou7706), derived from a cross between Yun1032S and Yungenghui7501, showed a stable and competitive yield and strong disease resistance in the 2022–2023 Yunnan provincial regional trials. To analyze the genetic basis of phenotypes, we performed whole-genome resequencing and functional loci analysis of the parents and found that they carry a great number of superior alleles, which account for their yield and disease-resistant performance. To assess the breeding value of Yun1032S, we analyzed heterosis of a new batch of combinations derived from Yun1032S and identified a new combination, Jian3, with greater yield potential than YLY7706. These findings not only enhance the breeding of japonica P/TGMS lines but also provide direction for future pairing of two-line hybrid combination breeding. The study presents innovative concepts that further integrate genomics with traditional breeding techniques. Ultimately, Yun1032S marks a significant milestone in japonica P/TGMS line breeding technology, opening new avenues for the development of the two-line system. Full article
(This article belongs to the Section Crop Breeding and Genetics)
Show Figures

Figure 1

31 pages, 23602 KB  
Article
Molecular Mechanisms of Drought Stress Response in Medicago ruthenica: Insights from Transcriptome Analysis and Functional Validation of Key Genes
by Yingtong Mu, Kefan Cao, Jingshi Lu, Yutong Zhang and Fengling Shi
Agronomy 2026, 16(7), 707; https://doi.org/10.3390/agronomy16070707 - 27 Mar 2026
Viewed by 266
Abstract
Drought stress severely limits plant growth and productivity, yet the molecular basis of drought tolerance and post-drought recovery remains incompletely understood in many forage legumes. Medicago ruthenica is a perennial legume native to arid and cold regions and exhibits strong drought resilience. Results: [...] Read more.
Drought stress severely limits plant growth and productivity, yet the molecular basis of drought tolerance and post-drought recovery remains incompletely understood in many forage legumes. Medicago ruthenica is a perennial legume native to arid and cold regions and exhibits strong drought resilience. Results: We integrated key physiological traits related to stomatal regulation, photosynthesis, osmotic adjustment and antioxidant defense with RNA-seq across four stages (well-watered control, CK; drought for 9 days, D9; drought for 12 days, D12; and rewatering for 4 days, RW). Drought triggered stage-dependent physiological shifts, and transcriptome profiling identified >3000 drought- and rewatering-responsive genes enriched in primary metabolism, redox homeostasis and hormone signaling. WGCNA highlighted two drought-associated modules (MEcyan and MEcoral1) and prioritized three hub transcription factors for functional validation: 861 (AP2/ERF), 22 (WRKY) and 89 (bZIP). Overexpression of each gene in tobacco improved drought tolerance, as indicated by enhanced growth/root traits, increased osmolyte accumulation and antioxidant enzyme activities, and reduced membrane damage. Conclusions: Together, these results provide an integrated view of drought stress response and recovery in M. ruthenica and identify 861, 22 and 89 as candidate regulatory genes for engineering drought resilience in legumes. Full article
Show Figures

Figure 1

20 pages, 2250 KB  
Article
Phenotypic Expression of Salmonella enterica Due to Environmental Stress
by Prantho Malakar Dipta, Seth Adesope, Eniola Betiku and Tomi Obe
Microorganisms 2026, 14(4), 748; https://doi.org/10.3390/microorganisms14040748 - 26 Mar 2026
Viewed by 345
Abstract
Salmonella enterica remains a major food safety concern in poultry, and processing-related stress can influence its survival and persistence. This study evaluated the phenotypic expression of S. enterica serotypes Kentucky (SK), Infantis (SI), Schwarzengrund (SS), and Typhimurium (ST) following antimicrobial and temperature stressors. [...] Read more.
Salmonella enterica remains a major food safety concern in poultry, and processing-related stress can influence its survival and persistence. This study evaluated the phenotypic expression of S. enterica serotypes Kentucky (SK), Infantis (SI), Schwarzengrund (SS), and Typhimurium (ST) following antimicrobial and temperature stressors. A pre-harvest isolate of each serotype was gradually exposed to increasing concentrations of peracetic acid (PAA) and quaternary ammonium compounds (QACs), starting at 40 ppm and 1 ppm, respectively, until minimum inhibitory and bactericidal concentrations (MICs/MBCs) were established. Stressed cells were then subjected to cold (4 °C, 60 min) and heat (55 °C, 6 min) shock and assessed for sanitizer tolerance, biofilm formation and recovery, and antibiotic resistance. Sanitizer tolerance after daily conditioning varied among S. enterica serotypes, with ST and SK showing the highest tolerance to PAA and QACs, respectively. The tolerance of PAA variants increased by 10–20 ppm and QAC variants by 2–8 ppm following stress exposure. The double-stressed variants of ST significantly (p < 0.05) formed more biofilm than the control after PAA, whereas no significant differences were observed among the variants for other serotypes. Biofilm recovery was higher for the stressed variants of SI and SS (p < 0.05) following PAA stress but remained the same across all serotypes after QAC stress. QAC-stressed variants showed more phenotypic changes across the antibiotics tested. Notably, the stressed variants of SK, SS, and ST displayed increased MICs, including a 2- to 4-fold rise in azithromycin for the SK and ST variants. There was an increase in the MICs of ceftriaxone and nalidixic acid for some SK and SS variants. These findings suggest that environmental stress can significantly enhance the tolerance, survival, and persistence of S. enterica. Full article
(This article belongs to the Section Antimicrobial Agents and Resistance)
Show Figures

Figure 1

21 pages, 6338 KB  
Article
Genome-Wide Identification of Sigma Factors in Brassica napus and Role of BnSIG5A in Response to Cold Stress
by Yiwa Hu, Yingying Zhou, Iram Batool, Wenqiang Lan, Qian Huang, Basharat Ali, Muhammad Arslan Yousaf, Kangni Zhang, Jiali Ma, Ahsan Ayyaz and Weijun Zhou
Int. J. Mol. Sci. 2026, 27(7), 3010; https://doi.org/10.3390/ijms27073010 - 26 Mar 2026
Viewed by 188
Abstract
Sigma factors (SIGs) are nuclear-encoded regulators of chloroplast gene transcription. We conducted a genome-wide analysis in Brassica napus, identifying 23 SIG genes that were phylogenetically classified into six distinct subfamilies. Characterization of gene structure, conserved motifs, and chromosomal locations indicated family expansion [...] Read more.
Sigma factors (SIGs) are nuclear-encoded regulators of chloroplast gene transcription. We conducted a genome-wide analysis in Brassica napus, identifying 23 SIG genes that were phylogenetically classified into six distinct subfamilies. Characterization of gene structure, conserved motifs, and chromosomal locations indicated family expansion primarily through segmental duplication under purifying selection. Promoter analysis identified cold-responsive elements enriched in BnSIG5A. Expression profiling showed that BnSIG5 subfamily members, particularly BnSIG5A, are strongly induced by cold stress. Analysis of Arabidopsis SIG5 mutants confirmed previously reported roles of AtSIG5 in cold tolerance. Heterologous expression in yeast, and the strong cold induction of BnSIG5A together with its chloroplast localization, suggest that BnSIG5A may play a conserved role, providing a foundation for future functional studies in B. napus. This work establishes a genomic framework for the SIG family in rapeseed and identifies BnSIG5A as a high-priority candidate for further investigation. Subcellular localization confirmed chloroplast targeting of BnSIG5A. Heterologous expression in yeast and analysis of Arabidopsis SIG5 mutants suggest conserved functions in cold tolerance, providing a foundation for future functional studies in B. napus. This work establishes a genomic framework for understanding SIG-mediated stress responses in rapeseed and identifies BnSIG5A as a promising candidate for further investigation. Full article
(This article belongs to the Special Issue Molecular Research and Insights in Rapeseed Abiotic Stress)
Show Figures

Figure 1

21 pages, 8964 KB  
Article
Comparative Transcriptomics and Metabolomics Analysis Revealed the Mechanism of Exogenous Salicylic Acid Improving the Cold Tolerance of Walnut
by Jingmiao Li, Wenhao He, Feng Liu, Youchao He, Jianxun Qi, Baojun Zhao, Yunqi Zhang and Shuchai Su
Int. J. Mol. Sci. 2026, 27(7), 2948; https://doi.org/10.3390/ijms27072948 - 24 Mar 2026
Viewed by 272
Abstract
Walnut (Juglans regia) is an economically significant woody oil tree species widely cultivated in China. However, its production is increasingly threatened by extreme low-temperature events, such as unseasonal frosts and late-spring cold. Salicylic acid (SA) is a key phytohormone known to [...] Read more.
Walnut (Juglans regia) is an economically significant woody oil tree species widely cultivated in China. However, its production is increasingly threatened by extreme low-temperature events, such as unseasonal frosts and late-spring cold. Salicylic acid (SA) is a key phytohormone known to enhance cold tolerance in plants, yet its underlying mechanism in walnut remains unclear. In this study, we present the first integrated analysis combining physiological measurements, transcriptomics, and metabolomics to investigate how exogenous SA improves cold tolerance in walnut leaves. Our results showed that SA treatment significantly increased the accumulation of soluble sugars, chlorophyll, and proline, enhanced peroxidase (POD) activity, and reduced malondialdehyde (MDA) levels under cold stress. Multi-omics analysis revealed that SA modulated the expression of genes involved in multiple hormone signaling pathways, including those of SA, auxin, jasmonic acid, and abscisic acid, and altered corresponding hormone levels. Notably, carbohydrate metabolism emerged as a central pathway mediating SA-induced cold adaptation. Weighted gene co-expression network analysis (WGCNA) further identified several core candidate genes, such as JrTGA, JrPP2C, JrTPS, and JrBAM, which may play key roles in this process. Collectively, this study provides the first multi-omics perspective on the regulatory network underlying SA-enhanced cold tolerance in walnut. These findings offer both a theoretical and technical foundation for applying SA in cold-resistant walnut cultivation and contribute to the development of stress-resilient production strategies. Full article
(This article belongs to the Section Molecular Plant Sciences)
Show Figures

Figure 1

15 pages, 1096 KB  
Article
Optimization of Mechanized Quinoa (Chenopodium quinoa Willd.) Harvesting in Mediterranean Conditions: Technical and Environmental Aspects
by Alberto Assirelli, Rossella Manganiello, Enrico Santangelo, Francesco Ciavarella, Carmen Manganiello, Giuditta De Santis and Michele Rinaldi
Agriculture 2026, 16(7), 715; https://doi.org/10.3390/agriculture16070715 - 24 Mar 2026
Viewed by 227
Abstract
Quinoa attracts growing interest thanks to its nutritional value, biomass potential, and tolerance to cold, salinity, and drought, making it suitable for Mediterranean environments. Harvesting can be carried out with conventional wheat combine harvesters, although specific adjustments are required to ensure efficient seed–biomass [...] Read more.
Quinoa attracts growing interest thanks to its nutritional value, biomass potential, and tolerance to cold, salinity, and drought, making it suitable for Mediterranean environments. Harvesting can be carried out with conventional wheat combine harvesters, although specific adjustments are required to ensure efficient seed–biomass separation and minimize losses. This study examined technical and environmental aspects of mechanized quinoa harvesting in southern Italy to identify the most effective threshing drum (TD) speed that limits losses while ensuring adequate seed separation. Field trials conducted in Puglia in 2022 and 2024, using modified combine harvesters and TD speeds between 600 and 900 rpm, showed wide variability in seed losses across settings. The 700-rpm setting yielded minimal losses in 2022 (Threshing Index, TI 6%), but proved inadequate in 2024 (TI 93%), as uneven ripening and lower yields compromised threshing efficiency. Conversely, 900 rpm produced the highest losses in 2022 (TI 67%) and the lowest cleaning efficiency with the highest residue percentage in 2024, confirming excessive mechanical aggressiveness. In 2024, 650 rpm showed relatively low losses (53%), but these were affected by reduced yield and incomplete detachment (TI 50%). In both years, 750 rpm provided the most stable performance, offering a balanced compromise between efficient seed detachment (TI 23% in 2022; 55% in 2024) and moderate seed losses (25% and 63%, respectively). Adaptive harvesting strategies, focused on appropriate machinery calibration and optimized agronomic practices, could promote the sustainable integration of quinoa into Mediterranean crop diversification systems. Full article
(This article belongs to the Section Agricultural Technology)
Show Figures

Figure 1

21 pages, 6863 KB  
Article
Identification of the ZmDUF966 Gene Family in Maize, Analysis of Its Expression Under Cold Stress, and Preliminary Investigation of the ZmDUF966-10 Regulatory Network
by Minghao Sun, Wenyue Li, Yunlong Li, Sinan Li, Yan Sun, Shujun Li, Yue Yin, Enhao Zhou, Yue Wang, Tao Yu, Wei Zhao, Quan Cai, Xin Li and Jianguo Zhang
Biology 2026, 15(6), 514; https://doi.org/10.3390/biology15060514 - 23 Mar 2026
Viewed by 322
Abstract
Maize (Zea mays L.) originated in tropical and subtropical regions. During its growth and development, cold stress severely threatens seedling survival rates and final yield by inducing oxidative stress, compromising cell membrane integrity, and causing “physiological drought.” The Domain of Unknown Function [...] Read more.
Maize (Zea mays L.) originated in tropical and subtropical regions. During its growth and development, cold stress severely threatens seedling survival rates and final yield by inducing oxidative stress, compromising cell membrane integrity, and causing “physiological drought.” The Domain of Unknown Function 966 (DUF966) gene family comprises a class of regulatory factors containing conserved domains of undetermined function. Although they are considered to be extensively involved in plant growth, development, and stress response, their specific roles within the maize cold-tolerance regulatory network remain to be explored. In this study, 10 ZmDUF966 family members were identified via genome-wide analysis, and their phylogenetic relationships, gene structures, conserved motifs, chromosomal localizations, and cis-acting elements were systematically analyzed. The results indicate that the ZmDUF966 family is highly conserved among Poaceae species, and its promoters are enriched with stress-responsive elements such as LTR and ABRE. The core gene, ZmDUF966-10, was significantly up-regulated (approximately 35-fold at 48 h, p < 0.05) as validated by RT-qPCR under cold stress and is post-transcriptionally regulated by conserved miRNAs such as zma-miR159. Further yeast two-hybrid experiments revealed a preliminary physical interaction between the ZmDUF966-10 protein and an ABA/WDS-induced protein, suggesting its potential involvement in ABA-mediated stress signaling, though functional validation remains to be conducted. In conclusion, this study identifies ZmDUF966-10 as a promising candidate gene that responds to cold signals through multi-level regulatory networks, providing a valuable gene resource for further functional characterization and potential application in cold-tolerant maize improvement. Full article
Show Figures

Figure 1

19 pages, 1370 KB  
Review
Cold Stress Responses and Adaptation Mechanisms in Moringa oleifera Lam.: A Metabolite-Centred Review
by Blair Moses Kamanga, Donita L. Cartmill, Craig McGill and Andrea Clavijo McCormick
Plants 2026, 15(6), 960; https://doi.org/10.3390/plants15060960 - 20 Mar 2026
Viewed by 441
Abstract
Moringa oleifera Lam. (moringa) is a desirable crop for intensive cultivation because of its multiple uses in human and animal nutrition, medicine, and ecological applications. Its resilience and adaptability to various environmental conditions make it an attractive option for farmers seeking alternative cash [...] Read more.
Moringa oleifera Lam. (moringa) is a desirable crop for intensive cultivation because of its multiple uses in human and animal nutrition, medicine, and ecological applications. Its resilience and adaptability to various environmental conditions make it an attractive option for farmers seeking alternative cash crops that can thrive in challenging agricultural environments. While its resilience is well documented in tropical and subtropical climates, limited information exists on its growth dynamics and adaptation mechanisms to prolonged cold stress, which constrains its expansion and cultivation in temperate regions. This review synthesises current knowledge on cold stress adaptation mechanisms and the coordinated functional roles of primary and secondary metabolites in response to cold stress in plants, with a focus on moringa. Although considerable progress has been made in understanding morphological adjustments to cold stress in moringa plants, limited attention has been given to elucidating the physiological, metabolic, and genetic regulatory mechanisms underlying its cold-adaptive responses. Moreover, despite the potential roles of primary and secondary metabolites in coordinating protective functions against cold stress in plants, specific metabolites and their functional roles against cold stress remain insufficiently characterised in moringa. While genetic improvement and selective breeding have improved key agronomic traits, including growth rate, biomass yield, and nutritive value, breeding for enhanced cold stress tolerance remains insufficiently explored. Future studies should focus on integrative metabolite profiling, as well as the identification and selection of cold-tolerant provenances, to support the development of cold-tolerant gene pools to expand the cultivation range of moringa into temperate regions. Full article
(This article belongs to the Special Issue Cell Physiology and Stress Adaptation of Crops)
Show Figures

Figure 1

16 pages, 1059 KB  
Article
Cold Disinfestation of Zeugodacus tau (Diptera: Tephritidae) on Oranges Using Artificial Infestation Method
by Jiajiao Wu, Mutao Wu, Lixia Feng, Weisong Li, Zhihong Li, Qiang Xu, Haijun Liu, Tao Liu and Sihua Yang
Insects 2026, 17(3), 335; https://doi.org/10.3390/insects17030335 - 19 Mar 2026
Viewed by 355
Abstract
Zeugodacus tau, an economically important fruit fly species, exhibits a preference for infesting the fruits of cucurbitaceae, but it has also been reared from the fruits of several other plant families. Phytosanitary treatments are needed to ship the fruit from some of [...] Read more.
Zeugodacus tau, an economically important fruit fly species, exhibits a preference for infesting the fruits of cucurbitaceae, but it has also been reared from the fruits of several other plant families. Phytosanitary treatments are needed to ship the fruit from some of these host plants out of areas where populations of the fruit fly exist. Based on the guidelines for the development of cold disinfestation treatments for fruit fly host commodities, proposed by the International Plant Protection Convention (IPPC), the cold disinfestation trials were carried out with Z. tau infesting oranges through artificial infestation. The results showed that the third instar of Z. tau was the most tolerant stage among all developmental stages. No survivors were found among 106,204, 96,168, and 9180 individuals of Z. tau in oranges treated at 1.75 °C for 23 d, 2.34 °C for 25 d, and 1.8 °C for 22 d, respectively. These results support for the application of the 22-day treatment at ≤1.67 °C as an additional safety measure. Such a measure mitigates the risk of introduction and establishment of Z. tau through imported citrus. However, for other susceptible hosts of Z. tau, the cold treatment schedules against Z. tau required to achieve quarantine security with larval endpoint would need to be 23 d at 1.75 °C or 25 d at 2.34 °C. These results also indicated that Z. tau exhibits the highest cold tolerance among the other tephritid species for which cold treatment have been reported. Full article
(This article belongs to the Section Insect Pest and Vector Management)
Show Figures

Figure 1

18 pages, 21018 KB  
Article
Genome-Wide Association Study (GWAS) for Freezing and De-Acclimation Tolerance in Polish Winter Barley
by Ipsa Bani, Santosh Hadagali and Magdalena Wójcik-Jagła
Int. J. Mol. Sci. 2026, 27(6), 2759; https://doi.org/10.3390/ijms27062759 - 18 Mar 2026
Viewed by 296
Abstract
Winter survival in barley depends on freezing tolerance and de-acclimation tolerance, yet their genetic determinants under increasingly unstable winters remain poorly understood. Here, 188 Polish barley accessions were evaluated over two consecutive growing seasons (2021–2022) using genome-wide association studies (GWAS) with a mixed-linear [...] Read more.
Winter survival in barley depends on freezing tolerance and de-acclimation tolerance, yet their genetic determinants under increasingly unstable winters remain poorly understood. Here, 188 Polish barley accessions were evaluated over two consecutive growing seasons (2021–2022) using genome-wide association studies (GWAS) with a mixed-linear model (MLM) and high-density single nucleotide polymorphism (SNP) and diversity arrays technology sequencing (DArTseq) markers. Freezing and de-acclimation tolerance were quantified by 16 chlorophyll fluorescence parameters and post-freezing survival rates in plants subjected to 21 days of cold acclimation (4 °C/2 °C, day/night) and 7 days of de-acclimation (12 °C/5 °C, day/night). The results showed that freezing and de-acclimation tolerance are related but genetically distinct. The cold-acclimated (CA) state exhibited significant marker–trait associations on chromosomes 2H and 6H, whereas the de-acclimated (DA) state displayed a broader, more complex genetic architecture, particularly on chromosomes 2H and 7H. Fv/Fm showed the strongest associations for both SNP and DArTseq markers in both states. PI(csm), followed by PI(cs0) and PI(total), showed high SNP associations in the DA state, indicating a strong relationship between photosynthetic performance and freezing tolerance after de-acclimation. Notably, the DArTseq marker 11400277 on chromosome 7H showed multiple marker–trait associations across both states. These findings provide a genomic basis for marker-assisted selection of climate-resilient winter barley cultivars. Full article
(This article belongs to the Special Issue Plant Stress Biology)
Show Figures

Figure 1

Back to TopTop