Sign in to use this feature.

Years

Between: -

Subjects

remove_circle_outline
remove_circle_outline
remove_circle_outline
remove_circle_outline
remove_circle_outline
remove_circle_outline
remove_circle_outline

Journals

Article Types

Countries / Regions

Search Results (9)

Search Parameters:
Keywords = cold finger experiment

Order results
Result details
Results per page
Select all
Export citation of selected articles as:
10 pages, 919 KB  
Article
Ten-Second Cold Water Stress Test Differentiates Parkinson’s Disease from Multiple System Atrophy: A Cross-Sectional Pilot Study
by Makoto Takahashi, Wataru Hagiwara, Sakiko Itaya, Keisuke Abe, Tetsuya Maeda, Akira Inaba and Satoshi Orimo
Biomedicines 2025, 13(7), 1585; https://doi.org/10.3390/biomedicines13071585 - 28 Jun 2025
Viewed by 1400
Abstract
Background/Objectives: Patients with Parkinson’s disease (PD) often have cold hands and experience frostbite. The diagnostic criteria for multiple system atrophy (MSA) also describe cold and discolored hands; however, in our clinical experience, the hands are relatively warm. These symptoms are thought to [...] Read more.
Background/Objectives: Patients with Parkinson’s disease (PD) often have cold hands and experience frostbite. The diagnostic criteria for multiple system atrophy (MSA) also describe cold and discolored hands; however, in our clinical experience, the hands are relatively warm. These symptoms are thought to be caused by autonomic dysfunction; however, the detailed mechanisms and differences in cold hands between MSA and PD remain unclear. We aimed to identify an appropriate cold stimulation test to differentiate patients with PD and MSA using finger surface temperature (FST). Methods: We included a total of 34 patients, 27 with PD and 7 with MSA diagnosed at least 5 years after disease onset. After 15 min in a room with constant temperature and humidity, the patient’s hand was placed in cold water at 4 °C for 10 s as the cold water stress test (10sec-CWST). FST was captured using a thermal imaging camera every minute for 15 min, and the recovery of FST was analyzed. The association between the clinical characteristics of each patient and the degree of FST recovery was examined. Results: All patients completed the 10sec-CWST without adverse events. Patients with PD showed a significantly slower recovery of FST after 7 min compared to those with MSA, with a maximum difference at 11 min (PD: 8.1 ± 0.6 °C; MSA: 10.5 ± 0.3 °C; p < 0.01). FST recovery at 11 min was negatively correlated with the degree of resting hand tremor (r = −0.585, p < 0.01). Conclusions: FST after 10sec-CWST may be a safe and efficient test to differentiate PD and MSA. Full article
(This article belongs to the Section Neurobiology and Clinical Neuroscience)
Show Figures

Figure 1

22 pages, 11198 KB  
Article
Theoretical and Experimental Vibration Generation in a Coaxial Pulse-Tube Cryocooler
by Hongyan Wei, Yulan Li, Yuqiang Xun and Huaqiang Zhong
Vibration 2024, 7(4), 1226-1247; https://doi.org/10.3390/vibration7040063 - 11 Dec 2024
Cited by 2 | Viewed by 2061
Abstract
The microphonic noise induced by the vibration from cryocoolers has been found to cause energy resolution degradation in vibration-sensitive instruments. In this paper, theoretical and experimental research on the vibration generation mechanism of an aerospace-grade coaxial pulse-tube cryocooler (CPTC) is presented. Accordingly, suggestions [...] Read more.
The microphonic noise induced by the vibration from cryocoolers has been found to cause energy resolution degradation in vibration-sensitive instruments. In this paper, theoretical and experimental research on the vibration generation mechanism of an aerospace-grade coaxial pulse-tube cryocooler (CPTC) is presented. Accordingly, suggestions for suppressing the vibration of the pulse-tube cryocooler are provided. A vibration model for the Oxford-type dual-opposed linear compressor is established, and the mechanism of vibration induced by the compressor is theoretically analyzed. A numerical simulation indicates that deviations in the compressor’s inductance coefficient, electromagnetic force coefficient, and flexure spring stiffness coefficient significantly affect the axial vibration of the compressor. The theoretical and experimental studies show that the high-order harmonic vibrations of the compressor are determined by both the resonance of the flexure springs and the high-order harmonics of the driving power supply. Through experiments and simulations, it is revealed that the dynamic gas pressure only induces vibration axially at the cold tip, while the radial vibration at the cold tip is determined by the heat head ‘s vibration and the structural response characteristics of the cold finger. Full article
Show Figures

Figure 1

10 pages, 3145 KB  
Article
Wax Deposition of Diesel Oil and Consequent Contamination of Gasoline in Sequential Transportation of Product Oil Pipeline
by Weidong Li, Lin Xie, Shengping Du, Hanqing Zhang, Jiazong Mo, Shulong Wei, Pengbo Yin and Kaifeng Fan
Energies 2024, 17(17), 4398; https://doi.org/10.3390/en17174398 - 2 Sep 2024
Cited by 2 | Viewed by 1717
Abstract
Wax deposition of diesel oil and contamination of gasoline by diesel wax deposit is a severe problem in sequential transportation of product oil in pipes. However, it has long been neglected by the pipeline transportation industry. In response, this work aims to present [...] Read more.
Wax deposition of diesel oil and contamination of gasoline by diesel wax deposit is a severe problem in sequential transportation of product oil in pipes. However, it has long been neglected by the pipeline transportation industry. In response, this work aims to present a unique perspective on wax deposition of diesel oil and consequent contamination of gasoline. A cold finger apparatus was designed and constructed. Model oil composed of diesel and refined wax was prepared for wax deposition. Shear dispersion was excluded for wax deposition of diesel oil. Moreover, dissolution experiments of diesel wax deposit in gasoline were conducted. It was found that the dissolution rate increases with oil temperature and decreases with cold finger temperature and shear stress. Analysis on gasoline quality after diesel wax deposit dissolution indicated that contamination of gasoline caused by diesel wax deposit severely deteriorates its distillation range, but the octane number remains acceptable. This work features an interesting investigation on the wax-deposition mechanism of diesel oil, dissolution characteristics of diesel wax deposit, as well as quality deterioration of subsequent gasoline. It would be helpful in scheduling a product oil-transportation program. Full article
(This article belongs to the Section H3: Fossil)
Show Figures

Figure 1

21 pages, 6710 KB  
Article
Genome-Wide Identification of the DOF Gene Family in Kiwifruit (Actinidia chinensis) and Functional Validation of AcDOF22 in Response to Drought Stress
by Chao Zhao, Hao Bai, Chaoshuo Li, Zhaojin Pang, Lifeng Xuan, Dezhi Lv and Shuaike Niu
Int. J. Mol. Sci. 2024, 25(16), 9103; https://doi.org/10.3390/ijms25169103 - 22 Aug 2024
Cited by 11 | Viewed by 1906
Abstract
DNA-binding one zinc finger (DOF) transcription factors are crucial plant-specific regulators involved in growth, development, signal transduction, and abiotic stress response generation. However, the genome-wide identification and characterization of AcDOF genes and their regulatory elements in kiwifruit (Actinidia chinensis) has not [...] Read more.
DNA-binding one zinc finger (DOF) transcription factors are crucial plant-specific regulators involved in growth, development, signal transduction, and abiotic stress response generation. However, the genome-wide identification and characterization of AcDOF genes and their regulatory elements in kiwifruit (Actinidia chinensis) has not been thoroughly investigated. In this study, we screened the kiwifruit genome database and identified 42 AcDOF genes (AcDOF1 to AcDOF42). Phylogenetic analysis facilitated the categorization of these genes into five subfamilies (DOF-a, DOF-b, DOF-c, DOF-d, and DOF-e). We further analyzed the motifs, conserved domains, gene structures, and collinearity of the AcDOFgene family. Gene ontology (GO) enrichment analysis indicated significant enrichment in the “flower development” term and the “response to abiotic stress” category. Promoter prediction analysis revealed numerous cis-regulatory elements related to responses to light, hormones, and low-temperature and drought stress in AcDOF promoters. RNA-seq expression profiles demonstrated the tissue-specific expression of AcDOF genes. Quantitative real-time PCR results showed that six selected genes (AcDOF04, AcDOF09, AcDOF11, AcDOF13, AcDOF21, and AcDOF22) were differentially induced by abscisic acid (ABA), methyl jasmonate (MeJA), and cold, salt, and drought stresses, with AcDOF22 specifically expressed at high levels in drought-tolerant cultivars. Further experiments indicated that transient AcDOF22 overexpression in kiwifruit leaf disks reduced water loss and chlorophyll degradation. Additionally, AcDOF22 was localized to the nucleus and exhibited transcriptional activation, enhancing drought resistance by activating the downstream drought marker gene AcDREB2A. These findings lay the foundation for elucidating the molecular mechanisms of drought resistance in kiwifruit and offer new insights into drought-resistant breeding. Full article
(This article belongs to the Special Issue Advance in Plant Abiotic Stress)
Show Figures

Figure 1

21 pages, 14426 KB  
Article
The Role of Liriodendron Dof Gene Family in Abiotic Stress Response
by Bojun Liao, Pengxiang Liang, Lu Tong, Lu Lu, Ye Lu, Renhua Zheng, Xueyan Zheng, Jinhui Chen and Zhaodong Hao
Plants 2024, 13(14), 2009; https://doi.org/10.3390/plants13142009 - 22 Jul 2024
Cited by 3 | Viewed by 1830
Abstract
The DOF (DNA-binding with one finger) transcription factors are exclusive to plants and play crucial roles in plant growth, development, and environmental adaptation. Although extensive research has been conducted on the Dof gene family in Arabidopsis, maize, and Solanum, investigations [...] Read more.
The DOF (DNA-binding with one finger) transcription factors are exclusive to plants and play crucial roles in plant growth, development, and environmental adaptation. Although extensive research has been conducted on the Dof gene family in Arabidopsis, maize, and Solanum, investigations concerning the role of this gene family in Liriodendron remain unreported, leaving its biological function largely unknown. In this study, we performed a comprehensive genome-wide identification of the Dof gene family based on the Liriodendron genome, resulting in the discovery of a total of 17 LcDof gene members. Based on the results of phylogenetic analysis, the 17 LcDof proteins were classified into eight subfamilies. The motif analysis revealed the diverse nature of motifs within the D1 subfamily, which includes a distinct type of Dof transcription factor known as CDF (Cycling Dof Factor). We further characterized the chromosomal distribution, gene structure, conserved protein motifs, and cis-elements in the promoter regions. Additionally, utilizing transcriptome data from Liriodendron hybrids and conducting RT-qPCR experiments, we investigated the expression patterns of LhDofs under various abiotic stresses such as drought, cold, and heat stress. Notably, we found that several LhDofs, particularly LhDof4 and LhDof6, were significantly upregulated in response to abiotic stress. Furthermore, we cloned LhDof4 and LhDof6 genes and found that its encoding protein was mainly located in the nucleus by transient transformation in Liriodendron hybrids protoplast. Subsequently, we used LhDof6-overexpressing Liriodendron hybrid seedlings. We found that overexpression of LhDof6 enhanced the cold tolerance of the plants, increasing their survival rate at −20 °C. This result was further validated by changes in physiological indicators. Full article
(This article belongs to the Section Plant Response to Abiotic Stress and Climate Change)
Show Figures

Figure 1

19 pages, 5506 KB  
Article
Physiological and Thermal Sensation Responses to Severe Cold Exposure (−20 °C)
by Tomi Zlatar, Denisse Bustos, José Torres Costa, João Santos Baptista and Joana Guedes
Safety 2024, 10(1), 19; https://doi.org/10.3390/safety10010019 - 12 Feb 2024
Cited by 3 | Viewed by 8033
Abstract
Various jobs, indoors and outdoors, are subjected to severe cold temperatures during daily activities. Extremely low-temperature exposure and work intensity affect health, safety, and occupational performance. This work aimed to assess the physiological and thermal sensation responses before, during, and following a 60 [...] Read more.
Various jobs, indoors and outdoors, are subjected to severe cold temperatures during daily activities. Extremely low-temperature exposure and work intensity affect health, safety, and occupational performance. This work aimed to assess the physiological and thermal sensation responses before, during, and following a 60 min exposure to cold (−20 °C), during which occupational activities were developed. Using ingestible telemetric temperature pills, eight skin temperature sensors, blood pressure equipment, and the Thermal Sensation Questionnaire, experiments were conducted with 11 healthy male volunteers wearing highly insulating cold protective clothing. The most notorious alterations were reported in mean skin temperatures and thermal sensation responses during the first 20 min of cold exposure. Among the eight skin temperature points, the forehead and left hand showed a higher sensitivity to cold. The mean core temperature reported significant variations throughout the protocol, with decreases during the initial 10 min of cold exposure and posterior increases despite the cold environment. Blood pressure showed slight increases from the initial to the recovery period. Overall, outcomes contribute to current scientific knowledge on physiological and perception responses in extremely cold environments while describing the influence of protective clothing and occupational activities on these responses. Future research should be developed with additional skin temperature measurements in the extremities (fingers, face, and toes) and the analysis of thermal sensation potential associations with performance changes, which can also be of great significance for future thermal comfort models. Full article
Show Figures

Figure 1

8 pages, 1201 KB  
Article
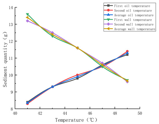
Study of Wax Deposition Pattern of High Wax-Bearing Crude Oil Based on Cold Finger Experiment
by Lixin Wei, Da Li, Chao Liu, Zhaojun He and Yang Ge
Processes 2022, 10(1), 103; https://doi.org/10.3390/pr10010103 - 5 Jan 2022
Cited by 8 | Viewed by 3274
Abstract
In order to solve the problem of wax deposition in waxy crude oil from the Daqing oilfield, cold fingers were used in the experimentation. Compared with other methods, the cold finger method is simple, easy to operate, and takes little space. Measurements of [...] Read more.
In order to solve the problem of wax deposition in waxy crude oil from the Daqing oilfield, cold fingers were used in the experimentation. Compared with other methods, the cold finger method is simple, easy to operate, and takes little space. Measurements of wax deposition with temperature, temperature differences between the crude oil and the wall, deposition time, and cold finger rotation rate were made. The results showed that the deposition rate is up to 0.35 g/h at 8–24 h. The maximum deposition rate at 90 rotations/min was 0.26 g/h, which is 3% higher than the minimum deposition rate. Full article
Show Figures

Figure 1

25 pages, 11355 KB  
Article
Machine Learning (ML) Based Thermal Management for Cooling of Electronics Chips by Utilizing Thermal Energy Storage (TES) in Packaging That Leverages Phase Change Materials (PCM)
by Aditya Chuttar and Debjyoti Banerjee
Electronics 2021, 10(22), 2785; https://doi.org/10.3390/electronics10222785 - 13 Nov 2021
Cited by 21 | Viewed by 7303
Abstract
Miniaturization of electronics devices is often limited by the concomitant high heat fluxes (cooling load) and maldistribution of temperature profiles (hot spots). Thermal energy storage (TES) platforms providing supplemental cooling can be a cost-effective solution, that often leverages phase change materials (PCM). Although [...] Read more.
Miniaturization of electronics devices is often limited by the concomitant high heat fluxes (cooling load) and maldistribution of temperature profiles (hot spots). Thermal energy storage (TES) platforms providing supplemental cooling can be a cost-effective solution, that often leverages phase change materials (PCM). Although salt hydrates provide higher storage capacities and power ratings (as compared to that of the organic PCMs), they suffer from reliability issues (e.g., supercooling). “Cold Finger Technique (CFT)” can obviate supercooling by maintaining a small mass fraction of the PCM in a solid state for enabling spontaneous nucleation. Optimization of CFT necessitates real-time forecasting of the transient values of the melt-fraction. In this study, the artificial neural network (ANN) is explored for real-time prediction of the time remaining to reach a target value of melt-fraction based on the prior history of the spatial distribution of the surface temperature transients. Two different approaches were explored for training the ANN model, using: (1) transient PCM-temperature data; or (2) transient surface-temperature data. When deployed in a heat sink that leverages PCM-based passive thermal management systems for cooling electronic chips and packages, this maverick approach (using the second method) affords cheaper costs, better sustainability, higher reliability, and resilience. The error in prediction varies during the melting process. During the final stages of the melting cycle, the errors in the predicted values are ~5% of the total time-scale of the PCM melting experiments. Full article
Show Figures

Graphical abstract

17 pages, 3408 KB  
Article
Using Upper Extremity Skin Temperatures to Assess Thermal Comfort in Office Buildings in Changsha, China
by Zhibin Wu, Nianping Li, Haijiao Cui, Jinqing Peng, Haowen Chen and Penglong Liu
Int. J. Environ. Res. Public Health 2017, 14(10), 1092; https://doi.org/10.3390/ijerph14101092 - 21 Sep 2017
Cited by 29 | Viewed by 5850
Abstract
Existing thermal comfort field studies are mainly focused on the relationship between the indoor physical environment and the thermal comfort. In numerous chamber experiments, physiological parameters were adopted to assess thermal comfort, but the experiments’ conclusions may not represent a realistic thermal environment [...] Read more.
Existing thermal comfort field studies are mainly focused on the relationship between the indoor physical environment and the thermal comfort. In numerous chamber experiments, physiological parameters were adopted to assess thermal comfort, but the experiments’ conclusions may not represent a realistic thermal environment due to the highly controlled thermal environment and few occupants. This paper focuses on determining the relationships between upper extremity skin temperatures (i.e., finger, wrist, hand and forearm) and the indoor thermal comfort. Also, the applicability of predicting thermal comfort by using upper extremity skin temperatures was explored. Field studies were performed in office buildings equipped with split air-conditioning (SAC) located in the hot summer and cold winter (HSCW) climate zone of China during the summer of 2016. Psychological responses of occupants were recorded and physical and physiological factors were measured simultaneously. Standard effective temperature (SET*) was used to incorporate the effect of humidity and air velocity on thermal comfort. The results indicate that upper extremity skin temperatures are good indicators for predicting thermal sensation, and could be used to assess the thermal comfort in terms of physiological mechanism. In addition, the neutral temperature was 24.7 °C and the upper limit for 80% acceptability was 28.2 °C in SET*. Full article
(This article belongs to the Special Issue Indoor Environmental Quality)
Show Figures

Figure 1

Back to TopTop