Sign in to use this feature.

Years

Between: -

Subjects

remove_circle_outline
remove_circle_outline
remove_circle_outline
remove_circle_outline
remove_circle_outline
remove_circle_outline
remove_circle_outline
remove_circle_outline

Journals

Article Types

Countries / Regions

Search Results (9)

Search Parameters:
Keywords = coexistence capability estimation

Order results
Result details
Results per page
Select all
Export citation of selected articles as:
28 pages, 1538 KB  
Article
Video Satellite Visual Tracking of Space Targets with Uncertainties in Camera Parameters and Target Position
by Zikai Zhong, Caizhi Fan and Haibo Song
Remote Sens. 2025, 17(24), 3978; https://doi.org/10.3390/rs17243978 - 9 Dec 2025
Viewed by 144
Abstract
Video satellites feature agile attitude maneuverability and the capability for continuous target imaging, making them an effective complement to ground-based remote sensing technologies. Existing research on video satellite tracking methods generally assumes either accurately calibrated camera parameters or precisely known target positions. However, [...] Read more.
Video satellites feature agile attitude maneuverability and the capability for continuous target imaging, making them an effective complement to ground-based remote sensing technologies. Existing research on video satellite tracking methods generally assumes either accurately calibrated camera parameters or precisely known target positions. However, deviations in camera parameters and errors in target localization can significantly degrade the performance of current tracking approaches. This paper proposes a novel adaptive visual tracking method for video satellites to track near-circular space targets in the presence of simultaneous uncertainties in both camera parameters and target position. First, the parameters representing these two types of uncertainties are separated through linearization. Then, based on the real-time image tracking error and the current parameter estimates, an update law for the uncertain parameters and a visual tracking law are designed. The stability of the closed-loop system and the convergence of the tracking error are rigorously proven. Finally, quantitative comparisons are conducted using a defined image stability index against two conventional tracking methods. Simulation results demonstrate that under coexisting uncertainties, traditional control methods either fail to track the target or exhibit significant tracking precision degradation. In contrast, the average image error during the steady-state phase exhibits a reduction of approximately one order of magnitude with the proposed method compared to the traditional image-based approach, demonstrating its superior tracking precision under complex uncertainty conditions. Full article
(This article belongs to the Section Satellite Missions for Earth and Planetary Exploration)
Show Figures

Figure 1

25 pages, 2135 KB  
Article
Monitoring Wolfberry (Lycium barbarum L.) Canopy Nitrogen Content with Hyperspectral Reflectance: Integrating Spectral Transformations and Multivariate Regression
by Yongmei Li, Hao Wang, Hongli Zhao, Ligen Zhang and Wenjing Xia
Agronomy 2025, 15(9), 2072; https://doi.org/10.3390/agronomy15092072 - 28 Aug 2025
Viewed by 808
Abstract
Accurate monitoring of canopy nitrogen content in wolfberry (Lycium barbarum L.) is essential for optimizing fertilization management, improving crop yield, and promoting sustainable agriculture. However, the sparse, architecturally complex canopy of this perennial shrub—featuring coexisting branches, leaves, flowers, and fruits across maturity [...] Read more.
Accurate monitoring of canopy nitrogen content in wolfberry (Lycium barbarum L.) is essential for optimizing fertilization management, improving crop yield, and promoting sustainable agriculture. However, the sparse, architecturally complex canopy of this perennial shrub—featuring coexisting branches, leaves, flowers, and fruits across maturity stages—poses significant challenges for canopy spectral-based nitrogen assessment. This study integrates methods across canopy spectral acquisition, transformation, feature spectral selection, and model construction, and specifically explores the potential of hyperspectral remote sensing, integrated with spectral mathematical transformations and machine learning algorithms, for predicting canopy nitrogen content in wolfberry. The overarching goal is to establish a feasible technical framework and predictive model for monitoring canopy nitrogen in wolfberry. In this study, canopy spectral measurements are systematically collected from densely overlapping leaf regions within the east, south, west, and north orientations of the wolfberry canopy. Spectral data undergo mathematical transformation using first-derivative (FD) and continuum-removal (CR) techniques. Optimal spectral variables are identified through correlation analysis combined with Recursive Feature Elimination (RFE). Subsequently, predictive models are constructed using five machine learning algorithms and three linear regression methods. Key results demonstrate that (1) FD and CR transformations enhance the correlation with nitrogen content (max correlation coefficient (r) = −0.577 and 0.522, respectively; p < 0.01), surpassing original spectra (OS, −0.411), while concurrently improving model predictive capability. Validation tests yield maximum R2 values of 0.712 (FD) and 0.521 (CR) versus 0.407 for OS, confirming FD’s superior performance enhancement. (2) Nonlinear machine learning models, by capturing complex canopy-light interactions, outperform linear methods and exhibit superior predictive performance, achieving R2 values ranging from 0.768 to 0.976 in the training set—significantly outperforming linear regression models (R2 = 0.107–0.669). (3) The Random Forest (RF) model trained on FD-processed spectra achieves the highest accuracy, with R2 values of 0.914 (training set) and 0.712 (validation set), along with an RPD of 1.772. This study demonstrates the efficacy of spectral transformations and nonlinear regression methods in enhancing nitrogen content estimation. It establishes the first effective field monitoring strategy and optimal predictive model for canopy nitrogen content in wolfberry. Full article
(This article belongs to the Section Precision and Digital Agriculture)
Show Figures

Figure 1

41 pages, 10067 KB  
Article
Estimation of Fractal Dimension and Segmentation of Brain Tumor with Parallel Features Aggregation Network
by Haseeb Sultan, Nadeem Ullah, Jin Seong Hong, Seung Gu Kim, Dong Chan Lee, Seung Yong Jung and Kang Ryoung Park
Fractal Fract. 2024, 8(6), 357; https://doi.org/10.3390/fractalfract8060357 - 14 Jun 2024
Cited by 10 | Viewed by 3429
Abstract
The accurate recognition of a brain tumor (BT) is crucial for accurate diagnosis, intervention planning, and the evaluation of post-intervention outcomes. Conventional methods of manually identifying and delineating BTs are inefficient, prone to error, and time-consuming. Subjective methods for BT recognition are biased [...] Read more.
The accurate recognition of a brain tumor (BT) is crucial for accurate diagnosis, intervention planning, and the evaluation of post-intervention outcomes. Conventional methods of manually identifying and delineating BTs are inefficient, prone to error, and time-consuming. Subjective methods for BT recognition are biased because of the diffuse and irregular nature of BTs, along with varying enhancement patterns and the coexistence of different tumor components. Hence, the development of an automated diagnostic system for BTs is vital for mitigating subjective bias and achieving speedy and effective BT segmentation. Recently developed deep learning (DL)-based methods have replaced subjective methods; however, these DL-based methods still have a low performance, showing room for improvement, and are limited to heterogeneous dataset analysis. Herein, we propose a DL-based parallel features aggregation network (PFA-Net) for the robust segmentation of three different regions in a BT scan, and we perform a heterogeneous dataset analysis to validate its generality. The parallel features aggregation (PFA) module exploits the local radiomic contextual spatial features of BTs at low, intermediate, and high levels for different types of tumors and aggregates them in a parallel fashion. To enhance the diagnostic capabilities of the proposed segmentation framework, we introduced the fractal dimension estimation into our system, seamlessly combined as an end-to-end task to gain insights into the complexity and irregularity of structures, thereby characterizing the intricate morphology of BTs. The proposed PFA-Net achieves the Dice scores (DSs) of 87.54%, 93.42%, and 91.02%, for the enhancing tumor region, whole tumor region, and tumor core region, respectively, with the multimodal brain tumor segmentation (BraTS)-2020 open database, surpassing the performance of existing state-of-the-art methods. Additionally, PFA-Net is validated with another open database of brain tumor progression and achieves a DS of 64.58% for heterogeneous dataset analysis, surpassing the performance of existing state-of-the-art methods. Full article
Show Figures

Figure 1

17 pages, 5067 KB  
Article
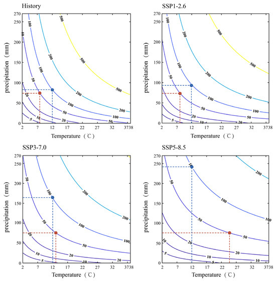
Changes in Concurrent Meteorological Extremes of Rainfall and Heat under Divergent Climatic Trajectories in the Guangdong–Hong Kong–Macao Greater Bay Area
by Mo Wang, Zijing Chen, Dongqing Zhang, Ming Liu, Haojun Yuan, Biyi Chen, Qiuyi Rao, Shiqi Zhou, Yuankai Wang, Jianjun Li, Chengliang Fan and Soon Keat Tan
Sustainability 2024, 16(5), 2153; https://doi.org/10.3390/su16052153 - 5 Mar 2024
Cited by 7 | Viewed by 1914
Abstract
Concurrent meteorological extremes (CMEs) represent a class of pernicious climatic events characterized by the coexistence of two extreme weather phenomena. Specifically, the juxtaposition of Urban Extreme Rainfall (UER) and Urban Extreme Heat (UEH) can precipitate disproportionately deleterious impacts on both ecological systems and [...] Read more.
Concurrent meteorological extremes (CMEs) represent a class of pernicious climatic events characterized by the coexistence of two extreme weather phenomena. Specifically, the juxtaposition of Urban Extreme Rainfall (UER) and Urban Extreme Heat (UEH) can precipitate disproportionately deleterious impacts on both ecological systems and human well-being. In this investigation, we embarked on a meticulous risk appraisal of CMEs within China’s Greater Bay Area (GBA), harnessing the predictive capabilities of three shared socioeconomic pathways (SSPs) namely, SSP1-2.6, SSP3-7.0, and SSP5-8.5, in conjunction with the EC-Earth3-Veg-LR model from the CMIP6 suite. The findings evidence a pronounced augmentation in CME occurrences, most notably under the SSP1-2.6 trajectory. Intriguingly, the SSP5-8.5 pathway, typified by elevated levels of greenhouse gas effluents, prognosticated the most intense CMEs, albeit with a temperate surge upon occurrence. Additionally, an ascendant trend in the ratio of CMEs to the aggregate of UER and UEH portends an escalating susceptibility to these combined events in ensuing decades. A sensitivity analysis accentuated the pivotal interplay between UER and UEH as a catalyst for the proliferation of CMEs, modulated by alterations in their respective marginal distributions. Such revelations accentuate the imperative of assimilating intricate interdependencies among climatic anomalies into evaluative paradigms for devising efficacious climate change countermeasures. The risk assessment paradigm proffered herein furnishes a formidable instrument for gauging the calamitous potential of CMEs in a dynamically shifting climate, thereby refining the precision of prospective risk estimations. Full article
(This article belongs to the Section Air, Climate Change and Sustainability)
Show Figures

Figure 1

15 pages, 3145 KB  
Article
HPLC-Based Detection of Two Distinct Red Tide Causative Species (Mesodinium rubrum and Margalefidinium polykrikoides) in the South Sea of Korea
by Yejin Kim, Sanghoon Park, Hyo-Keun Jang, Ha-Young Choi, Jae-Hyung Lee, Seung-Won Jung, Wonkook Kim, Sooyoon Koh, Moonho Son, Seok-Nam Kwak, So-Hyun Ahn, Soonmo An and Sang-Heon Lee
Water 2023, 15(17), 3050; https://doi.org/10.3390/w15173050 - 25 Aug 2023
Cited by 2 | Viewed by 2774
Abstract
Various approaches have been applied to red tide monitoring in Korea since reliable information on phytoplankton communities is crucial. In this study, we employed a high-performance liquid chromatography (HPLC) method to analyze two types of red tide, Mesodinium rubrum and Margalefidinium polykrikoides (also [...] Read more.
Various approaches have been applied to red tide monitoring in Korea since reliable information on phytoplankton communities is crucial. In this study, we employed a high-performance liquid chromatography (HPLC) method to analyze two types of red tide, Mesodinium rubrum and Margalefidinium polykrikoides (also known as Cochlodinium polykrikoides), along the southern coasts of Korea. During the M. rubrum red tide on 8 August 2022, an unusual dominance of cryptophytes was observed, being the most dominant phytoplankton group. A significant positive correlation was found between alloxanthin concentrations, a marker pigment of cryptophytes, and M. rubrum cell numbers (p < 0.01, r = 0.830), indicating that HPLC-derived alloxanthin concentrations can serve as a valuable indicator for identifying red tides caused by M. rubrum and estimating cell numbers. However, it is crucial to consider the temporal dynamics of the prey–predator relationship between cryptophytes and M. rubrum. Further investigation is required to understand the environmental conditions that promote cryptophyte predominance and their role in M. rubrum red tide development. In the second field campaign on 29 August 2022, we observed a significant correlation between the concentration of peridinin, a marker pigment for dinoflagellates, and M. polykrikoides cell numbers (p < 0.01, r = 0.663), suggesting that peridinin can serve as a reliable indicator of M. polykrikoides red tides. In conclusion, HPLC-derived pigments, namely alloxanthin and peridinin, can be used to effectively monitor red tides caused by M. rubrum and M. polykrikoides, respectively. However, to overcome certain methodological limitations of HPLC, future studies should explore additional markers or analytical techniques capable of differentiating M. polykrikoides from other coexisting dinoflagellate species. Furthermore, the broad applicability of our method requires thorough investigation in diverse ecosystems to fully comprehend its scope and limitations. Future research should focus on evaluating the method’s efficacy in different contexts, accounting for the distinct traits of the ecosystems under consideration. Full article
(This article belongs to the Special Issue Harmful Algae Control)
Show Figures

Figure 1

21 pages, 553 KB  
Article
Leadership Styles and Innovation Management: What Is the Role of Human Capital?
by Joana Costa, Mariana Pádua and António Carrizo Moreira
Adm. Sci. 2023, 13(2), 47; https://doi.org/10.3390/admsci13020047 - 7 Feb 2023
Cited by 40 | Viewed by 45588
Abstract
Leadership styles and human capital are important drivers of innovation processes. The way the leader interacts with the organization members can pre-empt or leverage innovation processes as leaders influence, empower and motivate other individuals in the achievement of their goals. Human capital is [...] Read more.
Leadership styles and human capital are important drivers of innovation processes. The way the leader interacts with the organization members can pre-empt or leverage innovation processes as leaders influence, empower and motivate other individuals in the achievement of their goals. Human capital is an important driver of innovation and competitiveness, as it will shape the uniqueness of the company as well as the process to obtain skills, capabilities, knowledge and expertise. As such, the main objectives of the paper are to analyze the impact of leadership styles on the innovation process and also to address the moderation effect of the human capital on the previous relation. Four leadership styles—autocratic, transactional, democratic, and transformational—were considered to measure their impacts on the innovation process, considering the alternative types of innovations. The 2018 Community Innovation Survey (CIS) database was used, encompassing Portuguese data, covering the 2016–2018 period, with a sample of 13702 firms. In regard to the empirical part, first, an exploratory analysis was run to better understand the connection between the leadership styles and the innovative strategies followed by an econometric estimation encompassing 28 logit models to disentangle the specific impacts of each leader on each innovation type. Evidence proves that autocratic and transactional leadership styles have a negative impact on innovation and transformational and democratic leadership impact innovation positively. Furthermore, human capital was found to moderate the relationship between leadership styles and the innovation process; i.e., under the same leadership style, the presence of additional skills leverages innovative propensity. The paper brings relevant insights for both managers and policymakers, highlighting that innovation will be accelerated if firms implement more participatory (democratic and transformational) leadership styles and also if they invest in competences to promote knowledge internalization and share. All in all, participatory leadership combined with the internal skills is proved to be an efficient combination for innovation to take place; as such, policy instruments must promote the coexistence of these two factors. Full article
(This article belongs to the Special Issue Leadership Effectiveness and Development)
Show Figures

Figure 1

16 pages, 4817 KB  
Article
The Dual Nature of Chaos and Order in the Atmosphere
by Bo-Wen Shen, Roger Pielke, Xubin Zeng, Jialin Cui, Sara Faghih-Naini, Wei Paxson, Amit Kesarkar, Xiping Zeng and Robert Atlas
Atmosphere 2022, 13(11), 1892; https://doi.org/10.3390/atmos13111892 - 12 Nov 2022
Cited by 16 | Viewed by 6525
Abstract
In the past, the Lorenz 1963 and 1969 models have been applied for revealing the chaotic nature of weather and climate and for estimating the atmospheric predictability limit. Recently, an in-depth analysis of classical Lorenz 1963 models and newly developed, generalized Lorenz models [...] Read more.
In the past, the Lorenz 1963 and 1969 models have been applied for revealing the chaotic nature of weather and climate and for estimating the atmospheric predictability limit. Recently, an in-depth analysis of classical Lorenz 1963 models and newly developed, generalized Lorenz models suggested a revised view that “the entirety of weather possesses a dual nature of chaos and order with distinct predictability”, in contrast to the conventional view of “weather is chaotic”. The distinct predictability associated with attractor coexistence suggests limited predictability for chaotic solutions and unlimited predictability (or up to their lifetime) for non-chaotic solutions. Such a view is also supported by a recent analysis of the Lorenz 1969 model that is capable of producing both unstable and stable solutions. While the alternative appearance of two kinds of attractor coexistence was previously illustrated, in this study, multistability (for attractor coexistence) and monostability (for single type solutions) are further discussed using kayaking and skiing as an analogy. Using a slowly varying, periodic heating parameter, we additionally emphasize the predictable nature of recurrence for slowly varying solutions and a less predictable (or unpredictable) nature for the onset for emerging solutions (defined as the exact timing for the transition from a chaotic solution to a non-chaotic limit cycle type solution). As a result, we refined the revised view outlined above to: “The atmosphere possesses chaos and order; it includes, as examples, emerging organized systems (such as tornadoes) and time varying forcing from recurrent seasons”. In addition to diurnal and annual cycles, examples of non-chaotic weather systems, as previously documented, are provided to support the revised view. Full article
Show Figures

Figure 1

16 pages, 488 KB  
Article
A Comparative Study of 3D UE Positioning in 5G New Radio with a Single Station
by Bo Sun, Bo Tan, Wenbo Wang and Elena Simona Lohan
Sensors 2021, 21(4), 1178; https://doi.org/10.3390/s21041178 - 8 Feb 2021
Cited by 32 | Viewed by 5702
Abstract
The 5G network is considered as the essential underpinning infrastructure of manned and unmanned autonomous machines, such as drones and vehicles. Besides aiming to achieve reliable and low-latency wireless connectivity, positioning is another function provided by the 5G network to support the autonomous [...] Read more.
The 5G network is considered as the essential underpinning infrastructure of manned and unmanned autonomous machines, such as drones and vehicles. Besides aiming to achieve reliable and low-latency wireless connectivity, positioning is another function provided by the 5G network to support the autonomous machines as the coexistence with the Global Navigation Satellite System (GNSS) is typically supported on smart 5G devices. This paper is a pilot study of using 5G uplink physical layer channel sounding reference signals (SRSs) for 3D user equipment (UE) positioning. The 3D positioning capability is backed by the uniform rectangular array (URA) on the base station and by the multiple subcarrier nature of the SRS. In this work, the subspace-based joint angle-time estimation and statistics-based expectation-maximization (EM) algorithms are investigated with the 3D signal manifold to prove the feasibility of using SRSs for 3D positioning. The positioning performance of both algorithms is evaluated by estimation of the root mean squared error (RMSE) versus the varying signal-to-noise-ratio (SNR), the bandwidth, the antenna array configuration, and multipath scenarios. The simulation results show that the uplink SRS works well for 3D UE positioning with a single base station, by providing a flexible resolution and accuracy for diverse application scenarios with the support of the phased array and signal estimation algorithms at the base station. Full article
Show Figures

Figure 1

34 pages, 1764 KB  
Article
A Study on Coexistence Capability Evaluations of the Enhanced Channel Hopping Mechanism in WBANs
by Zhongcheng Wei, Yongmei Sun and Yuefeng Ji
Sensors 2017, 17(1), 151; https://doi.org/10.3390/s17010151 - 14 Jan 2017
Cited by 4 | Viewed by 4451
Abstract
As an important coexistence technology, channel hopping can reduce the interference among Wireless Body Area Networks (WBANs). However, it simultaneously brings some issues, such as energy waste, long latency and communication interruptions, etc. In this paper, we propose an enhanced channel hopping mechanism [...] Read more.
As an important coexistence technology, channel hopping can reduce the interference among Wireless Body Area Networks (WBANs). However, it simultaneously brings some issues, such as energy waste, long latency and communication interruptions, etc. In this paper, we propose an enhanced channel hopping mechanism that allows multiple WBANs coexisted in the same channel. In order to evaluate the coexistence performance, some critical metrics are designed to reflect the possibility of channel conflict. Furthermore, by taking the queuing and non-queuing behaviors into consideration, we present a set of analysis approaches to evaluate the coexistence capability. On the one hand, we present both service-dependent and service-independent analysis models to estimate the number of coexisting WBANs. On the other hand, based on the uniform distribution assumption and the additive property of Possion-stream, we put forward two approximate methods to compute the number of occupied channels. Extensive simulation results demonstrate that our estimation approaches can provide an effective solution for coexistence capability estimation. Moreover, the enhanced channel hopping mechanism can significantly improve the coexistence capability and support a larger arrival rate of WBANs. Full article
(This article belongs to the Section Sensor Networks)
Show Figures

Figure 1

Back to TopTop