Changes in Concurrent Meteorological Extremes of Rainfall and Heat under Divergent Climatic Trajectories in the Guangdong–Hong Kong–Macao Greater Bay Area
Abstract
1. Introduction
2. Materials and Methods
2.1. Study Locale
2.2. Data Provenance
2.3. Probability Density of Extreme Events
2.4. Prediction of RP in CME
2.5. Sensitivity Analysis
3. Results and Discussion
3.1. Single Events
3.1.1. UER/UEH Dynamics
3.1.2. Cumulative Probability Density Distribution of Extreme Events
3.2. Assessment of the CME Hazards
3.2.1. Shift in CME Frequency
3.2.2. Proportion of CMEs in Total UER Events and UEH Events
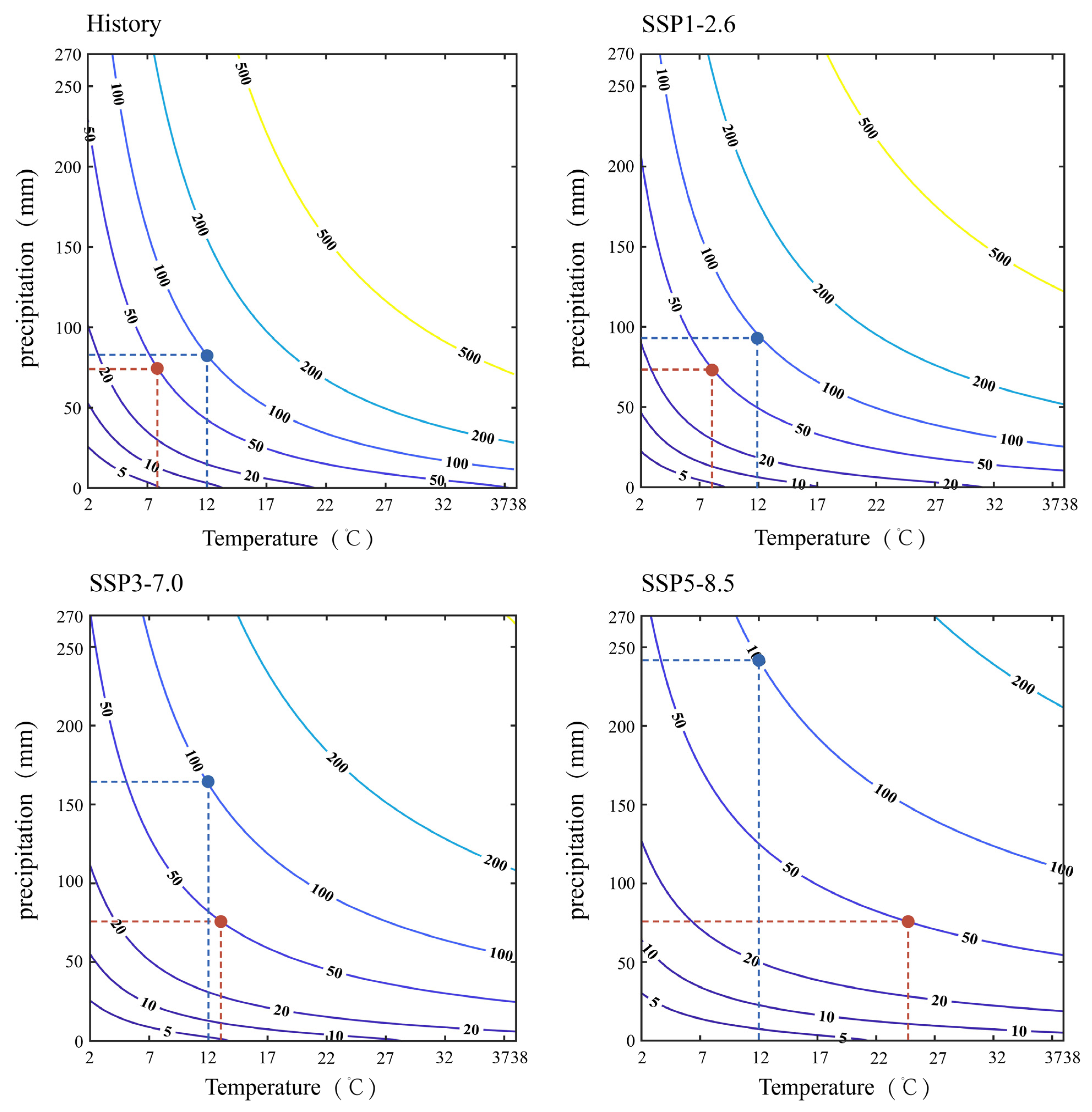
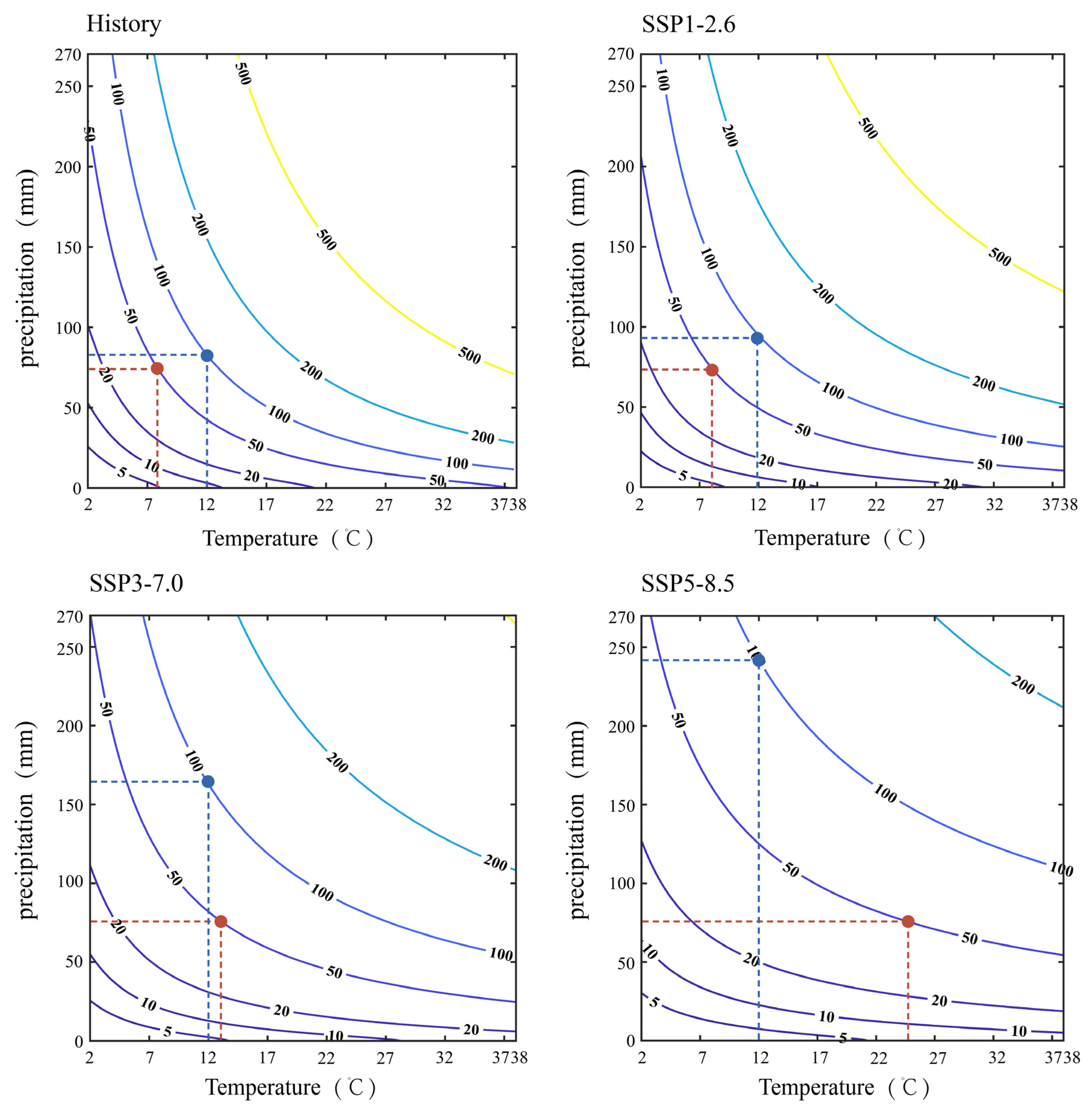
3.2.3. Projection of the Changes in CME Risk
3.2.4. Sensitivity Analysis on CMEs
3.2.5. Limitations and Recommendations
4. Conclusions
Supplementary Materials
Author Contributions
Funding
Institutional Review Board Statement
Informed Consent Statement
Data Availability Statement
Conflicts of Interest
Abbreviations
References
- Allan, R.P.; Hawkins, E.; Bellouin, N.; Collins, B. 2021: Summary for Policymakers; IPCC: Geneva, Switzerland, 2021. [Google Scholar]
- Cai, W.; McPhaden, M.J.; Grimm, A.M.; Rodrigues, R.R.; Taschetto, A.S.; Garreaud, R.D.; Dewitte, B.; Poveda, G.; Ham, Y.-G.; Santoso, A.; et al. Climate impacts of the El Nino-Southern Oscillation on South America. Nat. Rev. Earth Environ. 2020, 1, 215–231. [Google Scholar] [CrossRef]
- Bras, T.A.; Seixas, J.; Carvalhais, N.; Jagermeyr, J. Severity of drought and heatwave crop losses tripled over the last five decades in Europe. Environ. Res. Lett. 2021, 16, 065012. [Google Scholar] [CrossRef]
- Forzieri, G.; Bianchi, A.; Silva, F.B.E.; Herrera, M.A.M.; Leblois, A.; Lavalle, C.; Aerts, J.; Feyen, L. Escalating impacts of climate extremes on critical infrastructures in Europe. Glob. Environ. Chang. 2018, 48, 97–107. [Google Scholar] [CrossRef] [PubMed]
- Garuma, G.F. Tropical surface urban heat islands in east Africa. Sci. Rep. 2023, 13, 4509. [Google Scholar] [CrossRef] [PubMed]
- Harrington, L.J. Rethinking extreme heat in a cool climate: A New Zealand case study. Environ. Res. Lett. 2021, 16, 034030. [Google Scholar] [CrossRef]
- Chen, Y.; Liao, Z.; Shi, Y.; Tian, Y.; Zhai, P. Detectable Increases in Sequential Flood-Heatwave Events Across China During 1961–2018. Geophys. Res. Lett. 2021, 6, e2021GL092549. [Google Scholar] [CrossRef]
- Liao, Z.; Chen, Y.; Li, W.; Zhai, P. Growing Threats From Unprecedented Sequential Flood-Hot Extremes Across China. Geophys. Res. Lett. 2021, 18, e2021GL094505. [Google Scholar] [CrossRef]
- Deng, Z.; Wang, Z.; Wu, X.; Lai, C.; Zeng, Z. Strengthened tropical cyclones and higher flood risk under compound effect of climate change and urbanization across China’s Greater Bay Area. Urban Clim. 2022, 44, 101224. [Google Scholar] [CrossRef]
- Raghavendra, A.; Dai, A.; Milrad, S.M.; Cloutier-Bisbee, S.R. Floridian heatwaves and extreme precipitation: Future climate projections. Clim. Dynam. 2019, 52, 495–508. [Google Scholar] [CrossRef]
- Fowler, H.J.; Lenderink, G.; Prein, A.F.; Westra, S.; Allan, R.P.; Ban, N.; Barbero, R.; Berg, P.; Blenkinsop, S.; Do, H.X.; et al. Anthropogenic intensification of short-duration rainfall extremes. Nat. Rev. Earth. Environ. 2021, 2, 107–122. [Google Scholar] [CrossRef]
- You, J.; Wang, S. Higher Probability of Occurrence of Hotter and Shorter Heat Waves Followed by Heavy Rainfall. Geophys. Res. Lett. 2021, 17, e2021GL094831. [Google Scholar] [CrossRef]
- Matthews, T.; Wilby, R.L.; Murphy, C. An emerging tropical cyclone-deadly heat compound hazard. Nat. Clim. Chang. 2019, 9, 602–606. [Google Scholar] [CrossRef]
- Parker, T.J.; Berry, G.J.; Reeder, M.J. The influence of tropical cyclones on heat waves in Southeastern Australia. Geophys. Res. Lett. 2013, 23, 6264–6270. [Google Scholar] [CrossRef]
- Cappucci, M. Storms Deluge New York City, Abruptly Ending Sweltering Heat Wave. Washington Post. 2019. Available online: https://www.washingtonpost.com/weather/2019/07/23/flooding-rain-deluges-new-york-city-abruptly-ending-sweltering-heat-wave/ (accessed on 2 January 2024).
- Zhang, W.; Villarini, G. Deadly Compound Heat Stress-Flooding Hazard Across the Central United States. Geophys. Res. Lett. 2020, 15, e2020GL089185. [Google Scholar] [CrossRef]
- Sharma, S.; Mujumdar, P.P. On the relationship of daily rainfall extremes and local mean temperature. J. Hydrol. 2019, 572, 179–191. [Google Scholar] [CrossRef]
- Sim, I.; Lee, O.; Kim, S. Sensitivity Analysis of Extreme Daily Rainfall Depth in Summer Season on Surface Air Temperature and Dew-Point Temperature. Water 2019, 4, 771. [Google Scholar] [CrossRef]
- Chen, H.; Wang, S.; Wang, Y. Exploring Abrupt Alternations Between Wet and Dry Conditions on the Basis of Historical Observations and Convection-Permitting Climate Model Simulations. J. Geophys. Res. Atmos. 2020, 125, e2019JD031982. [Google Scholar] [CrossRef]
- Mukherjee, S.; Mishra, A.K. Increase in Compound Drought and Heatwaves in a Warming World. Geophys. Res. Lett. 2021, 1, e2020GL090617. [Google Scholar] [CrossRef]
- Ridder, N.N.; Pitman, A.J.; Westra, S.; Ukkola, A.; Hong, X.D.; Bador, M.; Hirsch, A.L.; Evans, J.P.; Di Luca, A.; Zscheischler, J. Global hotspots for the occurrence of compound events. Nat. Commun. 2020, 11, 5956. [Google Scholar] [CrossRef]
- Zhou, S.; Williams, A.P.; Berg, A.M.; Cook, B.I.; Zhang, Y.; Hagemann, S.; Lorenz, R.; Seneviratne, S.I.; Gentine, P. Land-atmosphere feedbacks exacerbate concurrent soil drought and atmospheric aridity. Proc. Natl. Acad. Sci. USA 2019, 38, 18848–18853. [Google Scholar] [CrossRef]
- Zscheischler, J.; Seneviratne, S.I. Dependence of drivers affects risks associated with compound events. Sci. Adv. 2017, 6, e1700263. [Google Scholar] [CrossRef]
- Li, C.; Wang, J.; Liu, M.; Ayal, D.Y.; Gong, Q.; Hu, R.; Yin, S.; Bao, Y. Scenario-based hazard analysis of extreme high-temperatures experienced between 1959 and 2014 in Hulunbuir, China. Int. J. Clim. Chang. Str. 2018, 11, 2–17. [Google Scholar] [CrossRef]
- Thompson, V.; Kennedy-Asser, A.T.; Vosper, E.; Lo, Y.T.E.; Huntingford, C.; Andrews, O.; Collins, M.; Hegerl, G.C.; Mitchell, D. The 2021 western North America heat wave among the most extreme events ever recorded globally. Sci. Adv. 2022, 18, eabm6860. [Google Scholar] [CrossRef]
- Moghim, S.; Jahangir, M.S. Reliability framework for characterizing heat wave and cold spell events. Nat. Hazards 2022, 2, 1503–1525. [Google Scholar] [CrossRef]
- Abeysingha, N.S.; Kularathna, K.M.; Bandara, A.; Ray, R.L. Assessment of extreme rainfall through statistical process control-I chart. J. Earth. Syst. Sci. 2023, 132, 15. [Google Scholar] [CrossRef]
- Chen, H.; Xu, Z.; Chen, J.; Liu, Y.; Li, P. Joint Risk Analysis of Extreme Rainfall and High Tide Level Based on Extreme Value Theory in Coastal Area. Int. J. Environ. Res. Public Health 2023, 4, 3605. [Google Scholar] [CrossRef] [PubMed]
- Qing, Y.M.; Wang, S. Multi-decadal convection-permitting climate projections for China’s Greater Bay Area and surroundings. Clim. Dynam. 2021, 57, 415–434. [Google Scholar] [CrossRef]
- Pandey, P.K.; Das, L.; Jhajharia, D.; Pandey, V. Modelling of interdependence between rainfall and temperature using copula. Model. Earth Syst. Environ. 2018, 4, 867–879. [Google Scholar] [CrossRef]
- Pumo, D.; Carlino, G.; Blenkinsop, S.; Arnon, E.; Fowler, H.; Noto, L.V. Sensitivity of extreme rainfall to temperature in semi-arid Mediterranean regions. Atmos. Res. 2019, 225, 30–44. [Google Scholar] [CrossRef]
- Chowdhury, M.A.; Zzaman, R.U.; Tarin, N.J.; Hossain, M.J. Spatial variability of climatic hazards in Bangladesh. Nat. Hazards 2022, 3, 2329–2351. [Google Scholar] [CrossRef]
- World Bank. East Asia’s Changing Urban Landscape: Measuring a Decade of Spatial Growth; World Bank: Washington, DC, USA, 2015. [Google Scholar]
- Yang, C.; Li, Q.; Zhao, T.; Liu, H.; Gao, W.; Shi, T.; Guan, M.; Wu, G. Detecting Spatiotemporal Features and Rationalities of Urban Expansions within the Guangdong-Hong Kong-Macau Greater Bay Area of China from 1987 to 2017 Using Time-Series Landsat Images and Socioeconomic Data. Remote Sens. 2019, 11, 2215. [Google Scholar] [CrossRef]
- Wang, Y.; Han, Z.; Gao, R. Changes of extreme high temperature and heavy precipitation in the Guangdong-Hong Kong-Macao Greater Bay Area. Geomat. Nat. Hazards Risk 2021, 12, 1101–1126. [Google Scholar] [CrossRef]
- Wang, J.; Chen, Y.; Liao, W.; He, G.; Tett, S.F.B.; Yan, Z.; Zhai, P.; Feng, J.; Ma, W.; Huang, C.; et al. Anthropogenic emissions and urbanization increase risk of compound hot extremes in cities. Nat. Clim. Chang. 2021, 11, 1084–1089. [Google Scholar] [CrossRef]
- Ye, H.Y.; Huang, Z.Q.; Huang, L.L.; Lin, L.J.; Luo, M. Effects of urbanization on increasing heat risks in South China. Int. J. Climatol. 2018, 38, 5551–5562. [Google Scholar] [CrossRef]
- Du, J.; Wang, K.; Wang, J.; Jiang, S.; Zhou, C. Diurnal Cycle of Surface Air Temperature within China in Current Reanalyses: Evaluation and Diagnostics. J. Clim. 2018, 31, 4585–4603. [Google Scholar] [CrossRef]
- Gelaro, R.; McCarty, W.; Suarez, M.J.; Todling, R.; Molod, A.; Takacs, L.; Randles, C.A.; Darmenov, A.; Bosilovich, M.G.; Reichle, R.; et al. The Modern-Era Retrospective Analysis for Research and Applications, Version 2 (MERRA-2). J. Clim. 2017, 30, 5419–5454. [Google Scholar] [CrossRef]
- Zhang, H.; Immerzeel, W.W.; Zhang, F.; de Kok, R.J.; Gorrie, S.J.; Ye, M. Creating 1-km long-term (1980–2014) daily average air temperatures over the Tibetan Plateau by integrating eight types of reanalysis and land data assimilation products downscaled with MODIS-estimated temperature lapse rates based on machine learning. Int. J. Appl. Earth Obs. 2021, 97, 102295. [Google Scholar] [CrossRef]
- Gueymard, C.A.; Yang, D. Worldwide validation of CAMS and MERRA-2 reanalysis aerosol optical depth products using 15 years of AERONET observations. Atmos. Environ. 2020, 225, 117216. [Google Scholar] [CrossRef]
- Jiang, J.; Zhou, T.; Zhang, W. Evaluation of Satellite and Reanalysis Precipitable Water Vapor Data Sets Against Radiosonde Observations in Central Asia. Earth Space Sci. 2019, 6, 1129–1148. [Google Scholar] [CrossRef]
- Song, Y.; Wei, J. Diurnal cycle of summer precipitation over the North China Plain and associated land-atmosphere interactions: Evaluation of ERA5 and MERRA-2. Int. J. Climatol. 2021, 41, 6031–6046. [Google Scholar] [CrossRef]
- Yang, D.; Bright, J.M. Worldwide validation of 8 satellite-derived and reanalysis solar radiation products: A preliminary evaluation and overall metrics for hourly data over 27 years. Sol. Energy 2020, 210, 3–19. [Google Scholar] [CrossRef]
- Thrasher, B.; Wang, W.L.; Michaelis, A.; Melton, F.; Lee, T.; Nemani, R. NASA Global Daily Downscaled Projections, CMIP6. Sci. Data 2022, 9, 262. [Google Scholar] [CrossRef] [PubMed]
- Xie, W.; Wang, S.; Yan, X. Evaluation and Projection of Diurnal Temperature Range in Maize Cultivation Areas in China Based on CMIP6 Models. Sustainability 2022, 14, 1660. [Google Scholar] [CrossRef]
- Lu, K.; Arshad, M.; Ma, X.; Ullah, I.; Wang, J.; Shao, W. Evaluating observed and future spatiotemporal changes in precipitation and temperature across China based on CMIP6-GCMs. Int. J. Climatol. 2022, 42, 7703–7729. [Google Scholar] [CrossRef]
- Patel, G.; Das, S.; Das, R. Identification of Best CMIP6 Global Climate Model for Rainfall by Ensemble Implementation of MCDM Methods and Statistical Inference. Water Resour. Manag. 2023, 37, 5147–5170. [Google Scholar] [CrossRef]
- Xiao, H.; Zhuo, Y.; Sun, H.; Pang, K.; An, Z. Evaluation and Projection of Climate Change in the Second Songhua River Basin Using CMIP6 Model Simulations. Atmosphere 2023, 14, 1429. [Google Scholar] [CrossRef]
- O’Neill, B.C.; Tebaldi, C.; van Vuuren, D.P.; Eyring, V.; Friedlingstein, P.; Hurtt, G.; Knutti, R.; Kriegler, E.; Lamarque, J.-F.; Lowe, J.; et al. The Scenario Model Intercomparison Project (ScenarioMIP) for CMIP6. Geosci. Model Dev. 2016, 9, 3461–3482. [Google Scholar] [CrossRef]
- Rhoades, A.M.; Jones, A.D.; Srivastava, A.; Huang, H.; O’Brien, T.A.; Patricola, C.M.; Ullrich, P.A.; Wehner, M.; Zhou, Y. The Shifting Scales of Western US Landfalling Atmospheric Rivers Under Climate Change. Geophys. Res. Lett. 2020, 17, e2020GL089096. [Google Scholar] [CrossRef]
- Shi, H.; Garcia-Reyes, M.; Jacox, M.G.; Rykaczewski, R.R.; Black, B.A.; Bograd, S.J.; Sydeman, W.J. Co-occurrence of California Drought and Northeast Pacific Marine Heatwaves Under Climate Change. Geophys. Res. Lett. 2021, 17, e2021GL092765. [Google Scholar] [CrossRef]
- Cheng, J.; Xu, Z.; Zhao, D.; Xie, M.; Zhang, H.; Wang, S.; Su, H. The burden of extreme heat and heatwave on emergency ambulance dispatches: A time-series study in Huainan, China. Sci. Total Environ. 2016, 571, 27–33. [Google Scholar] [CrossRef]
- Urban, A.; Hanzlikova, H.; Kysely, J.; Plavcova, E. Impacts of the 2015 Heat Waves on Mortality in the Czech Republic-A Comparison with Previous Heat Waves. Int. J. Environ. Res. Public. Health 2017, 14, 1562. [Google Scholar] [CrossRef]
- Yin, J.; Guo, S.; Gentine, P.; Sullivan, S.C.; Gu, L.; He, S.; Chen, J.; Liu, P. Does the Hook Structure Constrain Future Flood Intensification Under Anthropogenic Climate Warming? Water Resour. Res. 2021, 2, e2020WR028491. [Google Scholar] [CrossRef]
- Chapman, T.G. Stochastic models for daily rainfall in the Western Pacific. Math. Comput. Simulat. 1997, 43, 351–358. [Google Scholar] [CrossRef]
- Yu, Y.; Chen, L.; Xiao, Y.; Chang, C.-C.; Zhi, X.; Shen, Z. New framework for assessing urban stormwater management measures in the context of climate change. Sci. Total Environ. 2022, 813, 151901. [Google Scholar] [CrossRef]
- Bevacqua, E.; Maraun, D.; Vousdoukas, M.I.; Voukouvalas, E.; Vrac, M.; Mentaschi, L.; Widmann, M. Higher probability of compound flooding from precipitation and storm surge in Europe under anthropogenic climate change. Sci. Adv. 2019, 9, eaaw5531. [Google Scholar] [CrossRef] [PubMed]
- Arias, P.; Bellouin, N.; Coppola, E.; Jones, R.; Krinner, G.; Marotzke, J.; Naik, V.; Palmer, M.; Plattner, G.-K.; Rogelj, J. Climate Change 2021: The Physical Science Basis. Contribution of Working Group I to the Sixth Assessment Report of the Intergovernmental Panel on Climate Change; Technical Summary; IPCC: Montreal, QC, Canada, 2021. [Google Scholar]
- Zscheischler, J.; Westra, S.; Van Den Hurk, B.J.; Seneviratne, S.I.; Ward, P.J.; Pitman, A.; AghaKouchak, A.; Bresch, D.N.; Leonard, M.; Wahl, T. Future climate risk from compound events. Nat. Clim. Chang. 2018, 6, 469–477. [Google Scholar] [CrossRef]
- Zscheischler, J.; Martius, O.; Westra, S.; Bevacqua, E.; Raymond, C.; Horton, R.M.; van den Hurk, B.; AghaKouchak, A.; Jézéquel, A.; Mahecha, M.D. A typology of compound weather and climate events. Nat. Rev. Earth Environ. 2020, 7, 333–347. [Google Scholar] [CrossRef]
- Giorgi, F.; Raffaele, F. On the dependency of GCM-based regional surface climate change projections on model biases, resolution and climate sensitivity. Clim. Dynam. 2022, 58, 2843–2862. [Google Scholar] [CrossRef]
- Su, X.; Shao, W.; Liu, J.; Jiang, Y. Multi-Site Statistical Downscaling Method Using GCM-Based Monthly Data for Daily Precipitation Generation. Water 2020, 12, 904. [Google Scholar] [CrossRef]
- Gutmann, E.; Pruitt, T.; Clark, M.P.; Brekke, L.; Arnold, J.R.; Raff, D.A.; Rasmussen, R.M. An intercomparison of statistical downscaling methods used for water resource assessments in the United States. Water Resour. Res. 2014, 50, 7167–7186. [Google Scholar] [CrossRef]
- Hwang, S.; Graham, W.D. Assessment of alternative methods for statistically downscaling daily GCM precipitation outputs to simulate regional streamflow. J. Am. Water Resour. Assoc. 2014, 50, 1010–1032. [Google Scholar] [CrossRef]
- Alfieri, L.; Bisselink, B.; Dottori, F.; Naumann, G.; de Roo, A.; Salamon, P.; Wyser, K.; Feyen, L. Global projections of river flood risk in a warmer world. Earth’s Future 2017, 2, 171–182. [Google Scholar] [CrossRef]








| Marginal Distribution | Probability Density Function | Parameters |
|---|---|---|
| P-III | a and b are shape and location parameters. | |
| Gamma | a and b are shape and scale parameters. | |
| Normal | a and b are mean and standard deviations. | |
| Weibull | a and b are mean and standard deviations. |
| Type | Function | Parameters |
|---|---|---|
| Frank | is associated parameter. | |
| Gumbel | ||
| Clayton |
| Mean Daily Precipitation Accumulation of UER Events within CME (mm) | Mean Daily Temperature Magnitude of UEH Events within CME (°C) | |||||
|---|---|---|---|---|---|---|
| Duration (Day) | 1 | 3 | 7 | 3 | 7 | 14 |
| History period | 34.9 | 44.2 | 40.0 | 33.0 | 33.4 | 34.1 |
| SSP1-2.6 | 28.9 | 31.8 | 41.4 | 31.1 | 31.4 | 32.2 |
| SSP3-7.0 | 30.6 | 37.1 | 38.6 | 33.1 | 33.4 | 33.7 |
| SSP5-8.5 | 32.4 | 40.2 | 47.5 | 33.9 | 34.4 | 35.2 |
Disclaimer/Publisher’s Note: The statements, opinions and data contained in all publications are solely those of the individual author(s) and contributor(s) and not of MDPI and/or the editor(s). MDPI and/or the editor(s) disclaim responsibility for any injury to people or property resulting from any ideas, methods, instructions or products referred to in the content. |
© 2024 by the authors. Licensee MDPI, Basel, Switzerland. This article is an open access article distributed under the terms and conditions of the Creative Commons Attribution (CC BY) license (https://creativecommons.org/licenses/by/4.0/).
Share and Cite
Wang, M.; Chen, Z.; Zhang, D.; Liu, M.; Yuan, H.; Chen, B.; Rao, Q.; Zhou, S.; Wang, Y.; Li, J.; et al. Changes in Concurrent Meteorological Extremes of Rainfall and Heat under Divergent Climatic Trajectories in the Guangdong–Hong Kong–Macao Greater Bay Area. Sustainability 2024, 16, 2153. https://doi.org/10.3390/su16052153
Wang M, Chen Z, Zhang D, Liu M, Yuan H, Chen B, Rao Q, Zhou S, Wang Y, Li J, et al. Changes in Concurrent Meteorological Extremes of Rainfall and Heat under Divergent Climatic Trajectories in the Guangdong–Hong Kong–Macao Greater Bay Area. Sustainability. 2024; 16(5):2153. https://doi.org/10.3390/su16052153
Chicago/Turabian StyleWang, Mo, Zijing Chen, Dongqing Zhang, Ming Liu, Haojun Yuan, Biyi Chen, Qiuyi Rao, Shiqi Zhou, Yuankai Wang, Jianjun Li, and et al. 2024. "Changes in Concurrent Meteorological Extremes of Rainfall and Heat under Divergent Climatic Trajectories in the Guangdong–Hong Kong–Macao Greater Bay Area" Sustainability 16, no. 5: 2153. https://doi.org/10.3390/su16052153
APA StyleWang, M., Chen, Z., Zhang, D., Liu, M., Yuan, H., Chen, B., Rao, Q., Zhou, S., Wang, Y., Li, J., Fan, C., & Tan, S. K. (2024). Changes in Concurrent Meteorological Extremes of Rainfall and Heat under Divergent Climatic Trajectories in the Guangdong–Hong Kong–Macao Greater Bay Area. Sustainability, 16(5), 2153. https://doi.org/10.3390/su16052153

