Sign in to use this feature.

Years

Between: -

Subjects

remove_circle_outline
remove_circle_outline
remove_circle_outline

Journals

Article Types

Countries / Regions

Search Results (2)

Search Parameters:
Keywords = chrysin-7-sulfate

Order results
Result details
Results per page
Select all
Export citation of selected articles as:
10 pages, 2454 KB  
Article
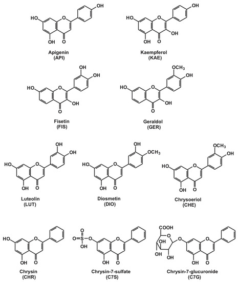
Inhibition of Xanthine Oxidase-Catalyzed Xanthine and 6-Mercaptopurine Oxidation by Flavonoid Aglycones and Some of Their Conjugates
by Violetta Mohos, Eszter Fliszár-Nyúl and Miklós Poór
Int. J. Mol. Sci. 2020, 21(9), 3256; https://doi.org/10.3390/ijms21093256 - 5 May 2020
Cited by 31 | Viewed by 7261
Abstract
Flavonoids are natural phenolic compounds, which are the active ingredients in several dietary supplements. It is well-known that some flavonoid aglycones are potent inhibitors of the xanthine oxidase (XO)-catalyzed uric acid formation in vitro. However, the effects of conjugated flavonoid metabolites are [...] Read more.
Flavonoids are natural phenolic compounds, which are the active ingredients in several dietary supplements. It is well-known that some flavonoid aglycones are potent inhibitors of the xanthine oxidase (XO)-catalyzed uric acid formation in vitro. However, the effects of conjugated flavonoid metabolites are poorly characterized. Furthermore, the inhibition of XO-catalyzed 6-mercaptopurine oxidation is an important reaction in the pharmacokinetics of this antitumor drug. The inhibitory effects of some compounds on xanthine vs. 6-mercaptopurine oxidation showed large differences. Nevertheless, we have only limited information regarding the impact of flavonoids on 6-mercaptopurine oxidation. In this study, we examined the interactions of flavonoid aglycones and some of their conjugates with XO-catalyzed xanthine and 6-mercaptopurine oxidation in vitro. Diosmetin was the strongest inhibitor of uric acid formation, while apigenin showed the highest effect on 6-thiouric acid production. Kaempferol, fisetin, geraldol, luteolin, diosmetin, and chrysoeriol proved to be similarly strong inhibitors of xanthine and 6-mercaptopurine oxidation. While apigenin, chrysin, and chrysin-7-sulfate were more potent inhibitors of 6-mercaptopurine than xanthine oxidation. Many flavonoids showed similar or stronger (even 5- to 40-fold) inhibition of XO than the positive control allopurinol. Based on these observations, the extremely high intake of flavonoids may interfere with the elimination of 6-mercaptopurine. Full article
(This article belongs to the Section Bioactives and Nutraceuticals)
Show Figures

Figure 1

15 pages, 2919 KB  
Article
Interaction of Chrysin and Its Main Conjugated Metabolites Chrysin-7-Sulfate and Chrysin-7-Glucuronide with Serum Albumin
by Violetta Mohos, Eszter Fliszár-Nyúl, Gabriella Schilli, Csaba Hetényi, Beáta Lemli, Sándor Kunsági-Máté, Balázs Bognár and Miklós Poór
Int. J. Mol. Sci. 2018, 19(12), 4073; https://doi.org/10.3390/ijms19124073 - 17 Dec 2018
Cited by 35 | Viewed by 6123
Abstract
Chrysin (5,7-dihydroxyflavone) is a flavonoid aglycone, which is found in nature and in several dietary supplements. During the biotransformation of chrysin, its conjugated metabolites chrysin-7-sulfate (C7S) and chrysin-7-glucuronide (C7G) are formed. Despite the fact that these conjugates appear in the circulation at much [...] Read more.
Chrysin (5,7-dihydroxyflavone) is a flavonoid aglycone, which is found in nature and in several dietary supplements. During the biotransformation of chrysin, its conjugated metabolites chrysin-7-sulfate (C7S) and chrysin-7-glucuronide (C7G) are formed. Despite the fact that these conjugates appear in the circulation at much higher concentrations than chrysin, their interactions with serum albumin have not been reported. In this study, the complex formation of chrysin, C7S, and C7G with human (HSA) and bovine (BSA) serum albumins was investigated employing fluorescence spectroscopic, ultrafiltration, and modeling studies. Our major observations/conclusions are as follows: (1) Compared to chrysin, C7S binds with a threefold higher affinity to HSA, while C7G binds with a threefold lower affinity; (2) the albumin-binding of chrysin, C7S, and C7G did not show any large species differences regarding HSA and BSA; (3) tested flavonoids likely occupy Sudlow’s Site I in HSA; (4) C7S causes significant displacement of Sudlow’s Site I ligands, exerting an even stronger displacing ability than the parent compound chrysin. Considering the above-listed observations, the high intake of chrysin (e.g., through the consumption of dietary supplements with high chrysin contents) may interfere with the albumin-binding of several drugs, mainly due to the strong interaction of C7S with HSA. Full article
(This article belongs to the Special Issue Polyphenols: Nutrition, Physiology, Metabolism and Health Benefits)
Show Figures

Figure 1

Back to TopTop