Sign in to use this feature.

Years

Between: -

Subjects

remove_circle_outline
remove_circle_outline
remove_circle_outline
remove_circle_outline
remove_circle_outline
remove_circle_outline
remove_circle_outline
remove_circle_outline
remove_circle_outline

Journals

remove_circle_outline
remove_circle_outline
remove_circle_outline
remove_circle_outline
remove_circle_outline
remove_circle_outline
remove_circle_outline
remove_circle_outline
remove_circle_outline

Article Types

Countries / Regions

remove_circle_outline
remove_circle_outline
remove_circle_outline
remove_circle_outline

Search Results (1,154)

Search Parameters:
Keywords = ceramide

Order results
Result details
Results per page
Select all
Export citation of selected articles as:
23 pages, 994 KB  
Review
Function and Modulation of Sphingosine-1-Phosphate Receptors in the Central Nervous System
by Elizabeth Gulliksen, Sriya Darsi, Ladan Haidarbaigi, Lucas J. Codispoti, Devam Purohit, Ashley Jung, Aishwarya Chilamula and Jason Newton
Receptors 2026, 5(1), 9; https://doi.org/10.3390/receptors5010009 - 17 Mar 2026
Abstract
Sphingolipids, first discovered in 1874 by Johann Thudicum, are among the eight recognized classes of lipids and are present in essentially all plants, animals, and fungi, as well as some viruses and prokaryotes. In mammals, sphingolipids are enriched in the central nervous system [...] Read more.
Sphingolipids, first discovered in 1874 by Johann Thudicum, are among the eight recognized classes of lipids and are present in essentially all plants, animals, and fungi, as well as some viruses and prokaryotes. In mammals, sphingolipids are enriched in the central nervous system (CNS), where they play vital roles in tissue development; membrane structure; cell adhesion and recognition; and, importantly, signaling. A subset of sphingolipids including ceramide, glucosylceramide, and sphingosine has been shown to have bioactive properties, but two sphingolipids in particular (ceramide-1-phosphate and sphingosine-1-phosphate) have been shown to exert their effects at least in part due to the activation of cell surface-expressed G protein-coupled receptors. In the CNS, sphingosine-1-phosphate signaling has specifically emerged as a productive therapeutic target for the treatment of neurodegenerative disease, with the first small molecule targeting sphingosine-1-phosphate receptors approved roughly 15 years ago for the treatment of multiple sclerosis. As more specific activators and inhibitors of these receptors have been developed and entered the clinical trial pipeline, now is an appropriate time to examine the current state of our knowledge of the role that these receptors play in the CNS and highlight the current landscape of available modulators targeting these pathways. Full article
Show Figures

Figure 1

16 pages, 1311 KB  
Review
Bioactive Nutritional Macromolecules Supporting Hair Structure, Density, and Growth: A Comprehensive Review
by Johannes-Paul Fladerer-Grollitsch and Selina Fladerer-Grollitsch
Cosmetics 2026, 13(2), 72; https://doi.org/10.3390/cosmetics13020072 - 17 Mar 2026
Abstract
Hair loss affects over half of adults by age 70 and represents a major determinant of overall hair health, imposing significant psychosocial burden across genders. Nutritional factors play a critical role in follicle biology, yet targeted strategies remain underexplored. This comprehensive review examines [...] Read more.
Hair loss affects over half of adults by age 70 and represents a major determinant of overall hair health, imposing significant psychosocial burden across genders. Nutritional factors play a critical role in follicle biology, yet targeted strategies remain underexplored. This comprehensive review examines five key hair-constituent macromolecules—type I collagen, elastin, keratin, ceramides, and melanin—and their physiological and clinical impacts on hair structure, density, shining, and growth. We conducted a structured literature search in PubMed and Google Scholar through January 2025, selecting in vitro studies, animal experiments, and human clinical trials that evaluated each macromolecule’s effects on follicular function and hair fiber integrity. Type I collagen enhances dermal papilla cell proliferation, upregulates Wnt/β-catenin and growth factors, and improves hair thickness and breakage resistance in randomized controlled trials. Keratin hydrolysates replenish cortical protein, reinforce disulfide cross-links, and reduce telogen shedding, with clinical studies demonstrating 30–50% decreases in hair loss and gains in tensile strength. Oral ceramide formulations restore the cuticular lipid barrier, shift follicles toward anagen, and increase hair density in double-blind trials. Although direct clinical data on melanin supplementation are lacking, ex vivo and animal models confirm its role as a UV-protective pigment, preserving keratin integrity and color fastness. Together, these macromolecules constitute a coherent framework for hair health, and clinical studies increasingly provide evidence that their combined or parallel application can meaningfully enhance hair density, strength, shine, and resilience. Full article
(This article belongs to the Section Cosmetic Formulations)
Show Figures

Figure 1

14 pages, 2261 KB  
Article
Identification and Functional Analysis of Potato Receptor Kinase RDA2 Proteins
by Xuefeng Fan, Yue Han, Xiaoyu Sun and Tongjun Sun
Plants 2026, 15(6), 906; https://doi.org/10.3390/plants15060906 - 14 Mar 2026
Abstract
Plants utilize cell surface pattern recognition receptors to recognize pathogen-associated molecular patterns (PAMPs) and activate pattern-triggered immunity (PTI) responses. Late blight, caused by the oomycete plant pathogen Phytophthora infestans, poses a major threat to global potato production. The oomycete PAMP, P. infestans [...] Read more.
Plants utilize cell surface pattern recognition receptors to recognize pathogen-associated molecular patterns (PAMPs) and activate pattern-triggered immunity (PTI) responses. Late blight, caused by the oomycete plant pathogen Phytophthora infestans, poses a major threat to global potato production. The oomycete PAMP, P. infestans cell wall ceramide D, triggers reactive oxygen species (ROS) production in potato and Arabidopsis. It is specifically recognized by the lectin receptor-like kinase RESISTANT TO DFPM-INHIBITION OF ABSCISIC ACID SIGNALING 2 (RDA2) in Arabidopsis. Treatment with P. infestans ceramide D enhances potato resistance against P. infestans. However, the function of RDA2 homologs in potato remains uncharacterized. Herein, potato RDA2 genes were identified through sequence alignment analysis. Their expression levels were subsequently measured in a potato inbred line infected with P. infestans. Notably, transient expression of StRDA2A, but not its kinase-dead mutant StRDA2AK543M, caused cell death and enhanced disease resistance in Nicotiana benthamiana. Additionally, two RXLR-type effector proteins significantly inhibited StRDA2A-induced cell death. The findings of this study suggest that potato receptor kinase RDA2 proteins confer disease resistance, which is attenuated by RXLR effectors secreted by P. infestans. Full article
Show Figures

Figure 1

16 pages, 2918 KB  
Article
Effects of Galacto-Oligosaccharide Supplementation on Cecal Microbiota, Phospholipid and Aromatic Amino Acid Metabolism in Mice
by Zisong Gao, Jue Wang, Zhiheng Cheng, Ziyang Zha, Ting Xu, Ke Yang, Tiantian Zhao, Jinglun Jiang, Pengchao Zheng, Yu Pi and Shiyi Tian
Microorganisms 2026, 14(3), 652; https://doi.org/10.3390/microorganisms14030652 - 13 Mar 2026
Viewed by 109
Abstract
Galacto-oligosaccharides (GOSs) are well-recognized for their beneficial effects on intestinal health, yet their regulatory impacts on the metabolic dynamics of other intestinal metabolites remain elusive. In this study, 24 male C57BL/6 mice were assigned to three groups: control (CON), low-dose GOS (L-GOS; 500 [...] Read more.
Galacto-oligosaccharides (GOSs) are well-recognized for their beneficial effects on intestinal health, yet their regulatory impacts on the metabolic dynamics of other intestinal metabolites remain elusive. In this study, 24 male C57BL/6 mice were assigned to three groups: control (CON), low-dose GOS (L-GOS; 500 mg/kg body weight), and high-dose GOS (H-GOS; 800 mg/kg body weight). Following a 4-week intervention, the cecal contents were analyzed to characterize the bacterial community structure and metabolic profiles. Results indicated that GOS supplementation significantly increased the ACE and Chao1 indices of cecal bacteria. Specifically, L-GOS led to notable enrichment of the [Eubacterium] brachy group, Coriobacteriaceae UCG-002, Faecalimonas, and the [Eubacterium] siraeum group, whereas H-GOS significantly increased the abundance of Clostridium, Ruminiclostridium, Thomasclavelia, Adlercreutzia, and Faecalimonas. Metabolomic profiling revealed that L-GOS profoundly reduced levels of phosphatidylethanolamine, phosphatidylcholine and their downstream metabolites, while inhibiting the conversion of sphingolipids to ceramides. The changes in phospholipid derivatives imply enhanced intestinal epithelial integrity, supporting intestinal homeostasis. GOS intervention also decreased phenylacetic acid content. L-GOS increased the 4-hydroxyphenylpyruvic acid content, whereas H-GOS reduced 4-hydroxyphenyllactic acid levels. Notably, H-GOS significantly up-regulated the production of indole-3-acetic acid, a tryptophan-derived microbial metabolite with multiple biological activities. Collectively, these findings provide insights and potential targets for future research on GOS application in intestinal health interventions. Full article
(This article belongs to the Special Issue Dietary and Animal Gut Microbiota)
Show Figures

Figure 1

16 pages, 2112 KB  
Article
Enhanced Untargeted Metabolomics Based on High-Resolution Mass Spectrometry Reveals Global Rewiring Due to Mitochondrial Dysfunction in Yeast
by Fabrizio Mastrorocco, Luca De Martino, Igor Fochi, Graziano Pesole, Ernesto Picardi, Clara Musicco and Sergio Giannattasio
Int. J. Mol. Sci. 2026, 27(6), 2624; https://doi.org/10.3390/ijms27062624 - 13 Mar 2026
Viewed by 75
Abstract
Mitochondrial dysfunction profoundly alters cellular metabolism, yet its systems-level consequences remain incompletely characterized. Here, we present a comprehensive untargeted metabolomics analysis of respiratory-deficient (ρ0) and competent (ρ+) Saccharomyces cerevisiae prototrophic cells using ultra-high-performance liquid chromatography coupled to Orbitrap Fusion™ [...] Read more.
Mitochondrial dysfunction profoundly alters cellular metabolism, yet its systems-level consequences remain incompletely characterized. Here, we present a comprehensive untargeted metabolomics analysis of respiratory-deficient (ρ0) and competent (ρ+) Saccharomyces cerevisiae prototrophic cells using ultra-high-performance liquid chromatography coupled to Orbitrap Fusion™ Tribrid™ high-resolution mass spectrometry. By integrating hydrophilic interaction and reversed-phase chromatography in both ionization modes, we detected ~7000 features per chromatographic condition, of which ~12% were structurally annotated through MSn fragmentation and in silico spectral matching. Principal component analysis revealed distinct metabolic signatures between ρ0 and ρ+ cells, with ~73% of total variance explained by the first two components. Volcano plot and hierarchical clustering analyses identified a marked accumulation of phosphate-containing metabolites, sphingolipids, ceramides, and fatty acid residues in ρ0 cells, whereas amino acids, excluding arginine, cysteine, and aromatics, were enriched in ρ+ cells. Notably, branched-chain amino acid depletion in ρ0 cells correlated with impaired growth and mitochondrial stress. Pathway enrichment analysis, supported by transcriptomic integration, prompted us to further investigate reprogramming of polyamine biosynthesis and aromatic amino acid metabolism. Calibration curves constructed from certified standards validated the accuracy of the LC–MS platform and reinforced annotation confidence. Our findings demonstrate that advanced untargeted metabolomics, coupled with MS3 fragmentation and multi-omics integration, enables high-resolution mapping of metabolic reconfiguration under mitochondrial dysfunction, offering mechanistic insights into mitochondrial retrograde signaling and adaptation. Full article
(This article belongs to the Special Issue Big Data in Multi-Omics)
Show Figures

Figure 1

14 pages, 4844 KB  
Article
Influenza A Virus Infection Induces Preferential Increases in Long-Chain Ceramides
by Savannah McKenna, Kwang Il Jung, Barbara Sumner, Jennifer J. Wolf, Lloyd W. Sumner and Bumsuk Hahm
Viruses 2026, 18(3), 339; https://doi.org/10.3390/v18030339 - 10 Mar 2026
Viewed by 175
Abstract
Influenza is a persistent public health concern worldwide. The elucidation of influenza A virus (IAV)–host interactions and the identification of host factors that regulate IAV infection would be beneficial for combating and treating the disease. Ceramides, comprising a host sphingolipid family, have been [...] Read more.
Influenza is a persistent public health concern worldwide. The elucidation of influenza A virus (IAV)–host interactions and the identification of host factors that regulate IAV infection would be beneficial for combating and treating the disease. Ceramides, comprising a host sphingolipid family, have been shown to regulate virus infections. However, the effect of IAV on individual ceramides remains unknown. This study aimed to investigate the changes in ceramide species during the infection of human lung epithelial A549 cells and human primary tracheal epithelial cells with IAV. We established a method utilizing UHPLC-MS analysis to measure individual ceramides (C14- to C26-ceramide). The results indicate that two main ceramide species, C16- and C24-ceramide, constitute approximately 80% of the ceramide population in human respiratory epithelial cells. Following IAV infection, these ceramides were found to undergo a shift in abundance, with a reduction in C16-ceramide and an increase in C24-ceramide, under various infection conditions. Primarily, IAV infection led to an increase in multiple long-chain ceramides. These findings could provide details for understanding how the ceramide system is disrupted during influenza virus infection and to further support the ongoing efforts to understand influenza–host interactions. Full article
Show Figures

Figure 1

40 pages, 11475 KB  
Article
Next-Generation Minimally Invasive Anti-Aging Therapy: Incorporation of Resveratrol-Nicotinamide Cerosomes into PLGA Microneedles for Enhanced Skin Permeation
by Sammar Fathy Elhabal, Mai S. Shoela, Fatma E. Hassan, Suzan Awad AbdelGhany Morsy, Amal M. Elsharkawy, Amany Ali Khalil Nawar, Mona Mohamed Ahmed, Shady Allam, Marwa A. Fouad, Amal Anwar Taha, Ahmed Mohsen Faheem, Hanan Mohamed Abd Elmoneim and Ahmed Mohsen Elsaid Hamdan
Pharmaceutics 2026, 18(3), 326; https://doi.org/10.3390/pharmaceutics18030326 - 4 Mar 2026
Viewed by 593
Abstract
Background/Objectives: Skin aging and wrinkle formation are primarily driven by ultraviolet (UV)-induced oxidative stress and inflammation. Resveratrol (RSV) and nicotinamide (NCT) possess potent anti-aging properties but suffer from poor skin penetration. This study aimed to develop an advanced transdermal delivery system incorporating [...] Read more.
Background/Objectives: Skin aging and wrinkle formation are primarily driven by ultraviolet (UV)-induced oxidative stress and inflammation. Resveratrol (RSV) and nicotinamide (NCT) possess potent anti-aging properties but suffer from poor skin penetration. This study aimed to develop an advanced transdermal delivery system incorporating RSV/NCT-loaded cerosomes within poly(lactic-co-glycolic acid) (PLGA) microneedles to enhance skin permeation and anti-aging performance. Methods: RSV/NCT-loaded cerosomes were formulated using thin-film hydration of phosphatidylcholine, ceramides (III, IIIB, and VI), and poloxamer surfactants, subsequently optimized via a D-optimal mixture design. PLGA microneedles with optimized cerosomes were tested for their mechanical strength, penetration, drug loading, and release. Ex vivo permeation and in vivo evaluations were performed using a UVA-induced skin wrinkling model. Results: Optimized cerosomes exhibited high entrapment efficiency for RSV and NCT (91 ± 0.56% and 85 ± 0.56%, respectively), nanoscale size (195 ± 0.78 nm), low polydispersity (0.23 ± 0.01), and a negative zeta potential (−22 ± 0.45 mV). PLGA microneedles exhibited sufficient mechanical integrity and effective penetrability through Parafilm® layers. Microneedle-loaded cerosomes enabled sustained drug release (approximately 65–70% over 48 h) and enhanced ex vivo permeation, approximately for NCT and RSV (1450 μg/cm2 and 1000 μg/cm2, respectively). In vivo investigations revealed improved skin appearance, restoration of epidermal thickness and collagen architecture, reduced levels of inflammatory cytokines (TNF-α, IL-1β, IL-6, NLRP3), reduced oxidative stress biomarkers (GSH, GPx, MDA, SOD), and genetic upregulation of VEGF, TGF-β1, and β-Catenin. Conclusions: The RSV/NCT cerosome-encapsulated PLGA microneedle system offers a promising, minimally invasive approach with superior transdermal delivery, sustained efficacy, and significant anti-aging benefits. Full article
(This article belongs to the Special Issue Recent Advances in Drug Delivery Through Microneedle-Based Systems)
Show Figures

Graphical abstract

17 pages, 3842 KB  
Article
Fluoxetine Reshapes Macrophage Membrane Sphingolipids and Inflammatory Response Without Affecting Extracellular Vesicle Biogenesis upon Inactivated SARS-CoV-2 Stimulation
by Jonatan C. S. de Carvalho, Pedro Nobre-Azevedo, Pedro V. da Silva-Neto, Bianca T. M. Oliveira, Lucas A. Tavares, Diana M. Toro, Andrews O. Borges, Murillo A. Nascimento, Eurico Arruda, Ronaldo B. Martins, Fausto Almeida and Carlos A. Sorgi
Membranes 2026, 16(3), 98; https://doi.org/10.3390/membranes16030098 - 4 Mar 2026
Viewed by 352
Abstract
Sphingolipids (SL) are essential structural and bioactive components of cell membranes, remarkably involved in inflammatory signaling and membrane dynamics. Dysregulation of SL metabolism contributes to pathological inflammation and cellular stress. Selective serotonin reuptake inhibitors (SSRIs), such as fluoxetine (FXT), are known inhibitors of [...] Read more.
Sphingolipids (SL) are essential structural and bioactive components of cell membranes, remarkably involved in inflammatory signaling and membrane dynamics. Dysregulation of SL metabolism contributes to pathological inflammation and cellular stress. Selective serotonin reuptake inhibitors (SSRIs), such as fluoxetine (FXT), are known inhibitors of acid sphingomyelinase (aSMase), although their impact on macrophage SL remodeling and inflammatory responses remains unclear. Here, we investigated the modulation of FXT on SL species composition and inflammatory activation in THP-1-derived macrophages stimulated with inactivated SARS-CoV-2 particles, which is a model of viral-induced inflammation. Sphingolipidomic profiling revealed that FXT pre-treatment markedly reduced ceramide (Cer) species while increasing sphingomyelin (SM) and sphingosine-1-phosphate (S1P) levels, consistent with inhibition of the aSMase-Cer axis. These changes were accompanied by attenuation of proinflammatory components, including interleucin (IL)-6, IL-1β, and matrix metalloproteinase (MMP)-9, indicating that SL remodeling correlates with reduced macrophage activation. Despite pronounced alterations in membrane lipid composition, the quantification of extracellular vesicles (EVs) released by FXT-treated macrophages remained unchanged, however the EVs size distribution was smaller compared to non-treated cells. Altogether, our findings demonstrate that FXT reshapes SL metabolism and lipid membrane composition, thereby diminishing macrophage activation without affecting EVs biogenesis. This study emphasizes the immunometabolic role of SL on membrane reprogramming as a mechanism by which pharmacological aSMase inhibition modulates viral inflammation responses. Full article
(This article belongs to the Special Issue Composition and Biophysical Properties of Lipid Membranes)
Show Figures

Graphical abstract

17 pages, 7250 KB  
Article
Comparative Metabolomics and Lipidomics of Meat from Duroc × Guangdong Small-Eared Spotted Pigs and Commercial Duroc × (Landrace × Yorkshire) Pigs
by Wenwen Liu, Shuilian Liang, Lu Xiao, Qiwei Guan, Jie Zhao, Xue Li, Yan Chen and Xu Wang
Foods 2026, 15(5), 830; https://doi.org/10.3390/foods15050830 - 2 Mar 2026
Viewed by 173
Abstract
Crossbreeding with indigenous breeds is an important approach for improving pork quality. In this study, untargeted metabolomics and targeted lipidomics were applied to comprehensively characterize meat quality, metabolites, and lipids in Duroc × Guangdong small-ear spotted (DG) and commercial Duroc × (Landrace × [...] Read more.
Crossbreeding with indigenous breeds is an important approach for improving pork quality. In this study, untargeted metabolomics and targeted lipidomics were applied to comprehensively characterize meat quality, metabolites, and lipids in Duroc × Guangdong small-ear spotted (DG) and commercial Duroc × (Landrace × Yorkshire) (DLY) pigs. Multivariate statistical analysis was used for differential comparison, compound screening, and breed discrimination. DG pigs presented better tenderness than DLY pigs, although their meat color and marbling scores were lower. Protein, amino acid, and fatty acid contents did not differ significantly between breeds (p > 0.05), but their metabolomic and lipidomic profiles showed marked differences. Metabolomics identified 13 differential metabolites, such as L-norleucine and L-phenylalanine. Lipidomics revealed 77 lipids with differential abundance between the two breeds, predominantly triglycerides and ceramides, with 76 being more abundant in DG pigs. KEGG enrichment analysis showed that amino acid metabolism was the main pathway enriched by the differential metabolites, whereas the differential lipids were primarily involved in glycerolipid metabolism and other related pathways. Correlation analysis indicated that breed influenced relationships among meat quality traits, metabolites, and lipids. These findings offer molecular insights into the meat quality characteristics of indigenous crossbred pigs. Full article
(This article belongs to the Section Meat)
Show Figures

Figure 1

29 pages, 15785 KB  
Article
Association Between Human Milk-Targeted Metabolites and Maternal Characteristics: Targeted Metabolomic Profiling of Human Milk in Low-Income Settings
by Sadia Parkar, Nadia Mazhar, Sumera Sharafat, Hamna Ganny, Gul Afshan, Samreen Memon, Khalid Wahab, Aneeta Hotwani, Daniela Hampel and Sidra Kaleem Jafri
Metabolites 2026, 16(3), 162; https://doi.org/10.3390/metabo16030162 - 28 Feb 2026
Viewed by 266
Abstract
Background/Objectives: Human milk (HM) is recognized as the optimal source of infant nutrition, particularly during the first six months of life. While its nutritional aspects and bioactive components are well studied, the HM metabolome remains less understood, particularly in low- and middle-income [...] Read more.
Background/Objectives: Human milk (HM) is recognized as the optimal source of infant nutrition, particularly during the first six months of life. While its nutritional aspects and bioactive components are well studied, the HM metabolome remains less understood, particularly in low- and middle-income countries. This study utilized targeted metabolomics for HM profiling and investigated associations of the HM metabolome with maternal and infant characteristics. Methods: In total, 267 HM samples and demographic data from mothers participating in the Maternal and environmental Impact assessment on Neurodevelopment in Early childhood years (MINE) study were collected during enrolment (up to 6-months postpartum) and analyzed using the MxP® Quant 500 targeted metabolomics kit from Biocrates. Results: A total of 440 metabolites were quantified, mostly lipids such as triglycerides (59.73%), phosphatidylcholines (14.25%), and diglycerides (8.49%), and small molecules including amino acids (26.67%), amino acid-related compounds (21.33%), hexosylceramides (17.33%), and fatty acids (14.67%). Maternal age was positively correlated with a wide range of metabolites, mainly cholesteryl esters, sphingomyelins, triglycerides, and acylcarnitines, while child age was associated with metabolites belonging to acylcarnitine, phosphatidyl-choline, ceramide, diacylglycerol, sphingomyelin, and triglyceride classes. Child’s gender was associated with metabolites, including ceramides, phosphatidylcholines, and sphingomyelins. Pathway enrichment analysis revealed that the metabolites were significantly enriched in valine, leucine, and isoleucine biosynthesis; arginine biosynthesis; phenylalanine, tyrosine, and tryptophan biosynthesis; and glutathione metabolism; however, these reflect annotation-based clustering rather than evidence of active metabolic processes in HM. Conclusions: The HM metabolome varies with maternal and infant characteristics, particularly infant age, reflecting cross-sectional differences in milk composition among mother–infant dyads. Enrichment of metabolites annotated to amino acid and antioxidant-related pathways highlights coordinated representation of nutritionally relevant compounds. These findings provide new insight into the factors shaping HM composition in a low- and middle-income populations. Full article
(This article belongs to the Section Endocrinology and Clinical Metabolic Research)
Show Figures

Figure 1

26 pages, 6045 KB  
Article
Screening of Heat-Resistant Morchella Strains and Elucidation of Their Heat-Tolerance Mechanisms
by Qilong Wu, Xiaoxuan You, Lihong Zheng, Zhen Li, Dingbang Da, Hongyu Chen, Yicheng Cao, Yuping Fan, Minglei Li and Wenqiang Li
Biology 2026, 15(5), 386; https://doi.org/10.3390/biology15050386 - 27 Feb 2026
Viewed by 342
Abstract
Morchella is a nutritious and artificially cultivable rare ascomycete, and its growth and development regulation mechanisms are a current research hotspot. High-temperature stress severely limits the annual yield of Morchella, and this challenge is intensifying with global warming. However, previous studies have [...] Read more.
Morchella is a nutritious and artificially cultivable rare ascomycete, and its growth and development regulation mechanisms are a current research hotspot. High-temperature stress severely limits the annual yield of Morchella, and this challenge is intensifying with global warming. However, previous studies have lacked systematic screening for heat-tolerant Morchella strains, and their molecular response mechanisms to heat stress remain unclear. In this study, we conducted a comprehensive analysis of phenotypic characteristics, physiological metabolism, and transcriptomics on 19 Morchella strains under normal (25 °C) and high-temperature (30 °C) conditions. The heat-tolerant strain HLM exhibited superior performance in mycelial growth, morphology, and field cultivation. It maintained cell homeostasis under heat stress through mild osmotic regulation (elevated levels of proline, soluble sugars, and proteins), a robust antioxidant system (increased activities of CAT, POD, and SOD), and reduced malondialdehyde accumulation. Transcriptomic analysis identified a novel regulatory model of “stress perception—metabolic preparation—terminal detoxification” in the heat-tolerant strain HLM under heat stress. The rapid upregulation of the SMPD1 gene may mediate ceramide signal generation, promoting G6PDH expression to drive carbon flow into the pentose phosphate pathway, thereby increasing NADPH output. As the detoxification terminal, AKR4C uses this reducing power to eliminate toxic carbonyl end products like malondialdehyde, completing the defense loop. These findings offer new insights into the heat-tolerance mechanisms of large ascomycetes, provide a theoretical foundation for stress-resistant Morchella breeding and cultivation in high-temperature areas, and serve as valuable resources for exploring heat-tolerance mechanisms and molecular breeding in other edible fungi. Full article
(This article belongs to the Special Issue Exploring the Biodiversity, Taxonomy, Ecology and Genomics of Fungi)
Show Figures

Figure 1

14 pages, 3214 KB  
Article
Lipidome Disturbances of Vibrio alginolyticus Associated with Citral Exposure
by Yanni Zhao, Zi Wang, Jie Han, Yi Wang, Jiamin Ren, Ting Shao, Hua Li and Huan Liu
Microorganisms 2026, 14(2), 509; https://doi.org/10.3390/microorganisms14020509 - 22 Feb 2026
Viewed by 293
Abstract
Vibrio alginolyticus is an important antibiotic-resistant pathogen in aquaculture that can cause mortality in a wide range of aquatic animals and infect humans. It is urgently necessary to discover and develop effective antibiotic alternatives. Citral, a key antibacterial component of lemongrass oil, can [...] Read more.
Vibrio alginolyticus is an important antibiotic-resistant pathogen in aquaculture that can cause mortality in a wide range of aquatic animals and infect humans. It is urgently necessary to discover and develop effective antibiotic alternatives. Citral, a key antibacterial component of lemongrass oil, can be used as a food flavoring and additive. Although the antimicrobial activity and antibiofilm effect of citral against V. alginolyticus have been noted in our previous study, the potential lipidome influence of citral remains unclear. Accordingly, a non-targeted lipidomics approach was employed to investigate citral-induced lipidome disturbances and reveal potential regulated targets of citral against V. alginolyticus. We found that the citral exposure triggered substantial lipidome alterations (i.e., composition, contents, and structure) in V. alginolyticus. Specifically, the content of most phospholipids (e.g., phosphatidylcholines (PCs), phosphatidylethanolamines (PEs), phosphatidylserines (PSs), phosphatidylinositols (PIs), and phosphatidylglycerols (PGs)) decreased with the increase in citral concentration, while ceramides (Cers) and lysophospholipids (LPLs) (e.g., lyso-PAs, lyso-PCs, lyso-PEs, and lyso-PGs) showed concentration-dependent accumulation under citral treatment. Notably, the critical lipid remodeling in response to citral exposure mainly involved the phospholipid and sphingolipid metabolic pathways. Collectively, our study reveals the bacterial lipidome response to citral exposure and highlights pivotal metabolic pathways, potentially offering a novel perspective for future investigations into lipid-centric antibacterial targets. Full article
(This article belongs to the Section Biofilm)
Show Figures

Figure 1

18 pages, 3579 KB  
Article
Aromatase Inhibitor Therapy Is Associated with Distinct Plasma Lipidomic Profiles in Postmenopausal Breast Cancer Patients
by Aleksandra Arsic, Ales Kvasnicka, David Friedecky, Nebojsa Ivanovic, Maja Milosevic and Vesna Vucic
Int. J. Mol. Sci. 2026, 27(4), 1926; https://doi.org/10.3390/ijms27041926 - 17 Feb 2026
Viewed by 438
Abstract
Aromatase inhibitors (AIs) are the standard adjuvant endocrine therapy for postmenopausal women with hormone receptor-positive breast cancer; however, their effects on lipid metabolism remain incompletely characterized. In this study, we investigated AI-associated alterations in the plasma lipidome using mass spectrometry-based lipidomics. Plasma samples [...] Read more.
Aromatase inhibitors (AIs) are the standard adjuvant endocrine therapy for postmenopausal women with hormone receptor-positive breast cancer; however, their effects on lipid metabolism remain incompletely characterized. In this study, we investigated AI-associated alterations in the plasma lipidome using mass spectrometry-based lipidomics. Plasma samples were collected from 30 patients prior to AI initiation and 29 patients receiving non-steroidal AI therapy for at least 24 months. Ultra-high-performance liquid chromatography–tandem mass spectrometry identified and relatively quantified 649 lipid species across 23 lipid classes and subclasses. Lipidomic analysis revealed significant differences in specific lipid species. Several phosphatidylcholine, sphingomyelin, and lysophosphatidylethanolamine species were significantly more abundant in patient plasma prior to AI therapy, whereas higher levels of selected ceramides, hexosylceramides, phosphatidylinositol (PI 16:0_16:0), and a polyunsaturated diacylglycerol species were observed in patients receiving AI therapy. Multivariate analyses revealed patient group separation, and a Naive Bayes classification model based on lipid-class levels achieved an area under the curve of 0.79. Additionally, lipid network and hierarchical clustering analyses identified systematic lipid-class trends. Protein–protein interaction network analysis based on lipidomic profiles highlighted enzymes associated with sphingolipid metabolism pathways. These findings demonstrate that long-term AI therapy is associated with specific alterations in the plasma lipidome, consistent with estrogen-deprivation-related metabolic differences. Targeted lipidomic profiling may provide mechanistic insights into therapy-associated metabolic effects and support future efforts to optimize long-term management of breast cancer survivors. Full article
(This article belongs to the Special Issue Molecular Advances in Cancer and Cell Metabolism—2nd Edition)
Show Figures

Graphical abstract

16 pages, 1035 KB  
Review
Palmitoleic (16:1 n−7) Acid and Skin Health: Functional Roles and Opportunities for Topical and Oral Product Applications
by Manuel Oliveira, Xiaoying Zhou, Mona Correa, Dino Athanasiadis, Casey Lippmeier, Leon Parker, Walter Rakitsky and Frédéric Destaillats
Cosmetics 2026, 13(1), 45; https://doi.org/10.3390/cosmetics13010045 - 17 Feb 2026
Viewed by 656
Abstract
Human skin lipids form interconnected pools that support barrier integrity, immune balance, and interactions with the environment. The stratum corneum barrier is built from an ordered mix of ceramides, cholesterol, and long-chain free fatty acids, while sebaceous lipids and their breakdown products shape [...] Read more.
Human skin lipids form interconnected pools that support barrier integrity, immune balance, and interactions with the environment. The stratum corneum barrier is built from an ordered mix of ceramides, cholesterol, and long-chain free fatty acids, while sebaceous lipids and their breakdown products shape surface properties and the skin microbiome. Hexadecenoic fatty acids are key at this interface. Palmitoleic acid (cis-9 16:1; 16:1 n−7, POA) is enriched in viable epidermis and remains detectable in stratum corneum lipids, whereas its isomer sapienic acid (cis-6 16:1; 16:1 n−10) predominates in human sebum. Together, they influence membrane organization, lipid fluidity, and antimicrobial defense. This mini-review outlines skin lipid composition and function with a focus on POA and then summarizes experimental and preclinical topical evidence suggesting antimicrobial effects, enhanced lubrication properties, protection from oxidative and ultraviolet B (UVB) injury, and enhanced wound repair. It also reviews early clinical findings from oral POA supplementation trials reporting improved hydration, barrier function, and markers of photo-oxidative aging, with exploratory signals for acne in a multi-nutrient regimen. Major POA sources include sea buckthorn pulp oil, macadamia and avocado oils, selected marine oils, ruminant fats, and emerging fermentation-derived products. Robust mechanistic human studies are still needed to define optimal dosing, formulations, and indications. Full article
(This article belongs to the Special Issue Lipids in Cosmetics)
Show Figures

Figure 1

19 pages, 2520 KB  
Article
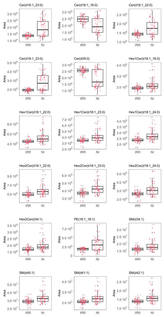
High-Resolution Mass Spectrometry for Detailed Lipid Profile and Chemometric Discrimination of X-Ray Irradiated Mozzarella Cheese
by Maria Campaniello, Valeria Nardelli, Rosalia Zianni, Andrea Chiappinelli, Oto Miedico, Michele Tomaiuolo and Annalisa Mentana
Int. J. Mol. Sci. 2026, 27(4), 1916; https://doi.org/10.3390/ijms27041916 - 17 Feb 2026
Viewed by 271
Abstract
Ionizing radiation is a non-thermal sanitization technique used in the food field to eliminate bacteria, molds, insects and other microbes, resulting in delayed spoilage and extended shelf life. In this work, mozzarella cheese was irradiated with X-rays at a dose of 3.0 kGy, [...] Read more.
Ionizing radiation is a non-thermal sanitization technique used in the food field to eliminate bacteria, molds, insects and other microbes, resulting in delayed spoilage and extended shelf life. In this work, mozzarella cheese was irradiated with X-rays at a dose of 3.0 kGy, and irradiation-induced lipid modifications were evaluated through a comprehensive analysis of the mozzarella lipid fingerprint. To this aim, an optimized microwave-assisted extraction method associated with UHPLC-Q-Orbitrap-MS analysis was used for reliable and accurate lipid identification in the controls and in irradiated samples. The outcomes demonstrated that the X-ray dose employed in this investigation did not cause the formation of new lipid molecules. However, lipidomic chemometric modeling, including partial least squares-discriminant analysis, enabled the discrimination of irradiated versus non-irradiated samples and the selection of five ceramides, eight hexosyl ceramides, four sphingomyelins, one phosphatidylethanolamine, one cholesterol ester, ten oxidized triacylglycerols, and one oxidized diacylglycerol as potential markers of treatment. Finally, an artificial neural network was developed to accurately model the entire pattern in omics data in relation to the treatment. This developed analytical workflow allows for expanding knowledge on the effects of this technology and could have interesting applications in food safety traceability and control plans. Full article
Show Figures

Graphical abstract

Back to TopTop