Sign in to use this feature.

Years

Between: -

Subjects

remove_circle_outline
remove_circle_outline
remove_circle_outline

Journals

Article Types

Countries / Regions

Search Results (9)

Search Parameters:
Keywords = bristle robot

Order results
Result details
Results per page
Select all
Export citation of selected articles as:
18 pages, 12177 KB  
Article
Multimodal Resonances of a Rectangular Planar Dielectric Elastomer Actuator and Its Application in a Robot with Soft Bristles
by Yangyang Du, Xiaojun Wu, Dan Wang, Futeng Zhao and Hua Hu
Biomimetics 2024, 9(8), 488; https://doi.org/10.3390/biomimetics9080488 - 13 Aug 2024
Cited by 2 | Viewed by 1789
Abstract
Inspired by the fact that flying insects improve their power conversion efficiency through resonance, many soft robots driven by dielectric elastomer actuators (DEAs) have achieved optimal performance via first-order modal resonance. Besides first-order resonance, DEAs contribute to multiple innovative functions such as pumps [...] Read more.
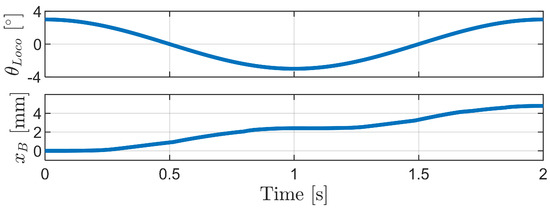
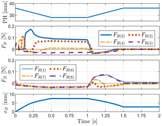
Inspired by the fact that flying insects improve their power conversion efficiency through resonance, many soft robots driven by dielectric elastomer actuators (DEAs) have achieved optimal performance via first-order modal resonance. Besides first-order resonance, DEAs contribute to multiple innovative functions such as pumps that can make sounds when using multimodal resonances. This study presents the multimodal resonance of a rectangular planar DEA (RPDEA) with a central mass bias. Using a combination of experiments and finite element modeling (FEM), it was discerned that under a prestretch of 1.0 × 1.1, the first-, second-, and third-order resonances corresponded to vertical vibration, rotation along the long axis, and rotation along the short axis, respectively. In first-order resonance, superharmonic, harmonic, and subharmonic responses were activated, while only harmonic and subharmonic responses were observed in the second- and third-order resonances. Further investigations revealed that prestretching tended to inhibit third-order resonance but could elevate the resonance frequencies of the first and second orders. Conveniently, both the experimental and FEM results showed that the frequencies and amplitudes of the multimodal resonances could be tuned by adjusting the amplitudes of the excitation signals, referring to the direct current (DC) amplitude and alternating current (AC) amplitude, respectively. Moreover, instead of linear vibration, we found another novel approach that used rotation vibration to drive a robot with soft bristles via hopping locomotion, showcasing a higher speed compared to the first-order resonance in our robot. Full article
(This article belongs to the Special Issue Biologically Inspired Design and Control of Robots: Second Edition)
Show Figures

Figure 1

26 pages, 19177 KB  
Article
Dynamic Analysis of the Locomotion Mechanism in Foxtail Robots: Frictional Anisotropy and Bristle Diversity
by Jaegak Lee, Hyemi Jeong, Taehyun Kim and Hyunseok Yang
Biomimetics 2024, 9(6), 311; https://doi.org/10.3390/biomimetics9060311 - 22 May 2024
Cited by 1 | Viewed by 2372
Abstract
This study investigated the locomotion mechanism of foxtail robots, focusing on the frictional anisotropy of tilted bristles under the same friction coefficient and propulsion strategy using bristle diversity. Through dynamic analysis and simulations, we confirmed the frictional anisotropy of tilted bristles and elucidated [...] Read more.
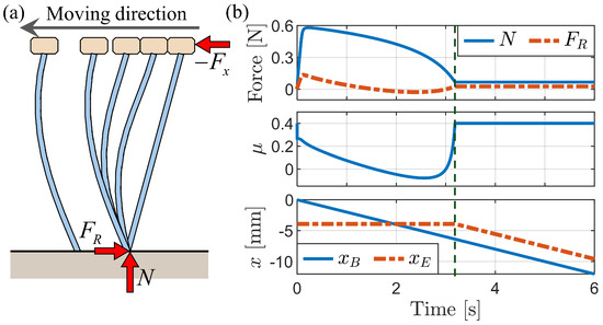
This study investigated the locomotion mechanism of foxtail robots, focusing on the frictional anisotropy of tilted bristles under the same friction coefficient and propulsion strategy using bristle diversity. Through dynamic analysis and simulations, we confirmed the frictional anisotropy of tilted bristles and elucidated the role of bristle diversity in generating propulsive force. The interaction between contact nonuniformity and frictional anisotropy was identified as the core principle enabling foxtail locomotion. Simulations of foxtail robots with multiple bristles demonstrated that variations in bristle length, angle, and deformation contribute to propulsive force generation and environmental adaptability. In addition, this study analyzed the influence of major design parameters on frictional anisotropy, highlighting the critical roles of body height, bristle length, stiffness, reference angle, and friction coefficient. The proposed guidelines for designing foxtail robots emphasize securing bristle nonuniformity and inducing contact nonuniformity. The simulation framework presented enables the quantitative prediction and optimization of foxtail robot performance. This research provides valuable insights into foxtail robot locomotion and lays a foundation for the development of efficient and adaptive next-generation robots for diverse environments. Full article
(This article belongs to the Section Locomotion and Bioinspired Robotics)
Show Figures

Graphical abstract

28 pages, 25528 KB  
Article
MARSBot: A Bristle-Bot Microrobot with Augmented Reality Steering Control for Wireless Structural Health Monitoring
by Alireza Fath, Yi Liu, Tian Xia and Dryver Huston
Micromachines 2024, 15(2), 202; https://doi.org/10.3390/mi15020202 - 29 Jan 2024
Cited by 6 | Viewed by 2806
Abstract
Microrobots are effective for monitoring infrastructure in narrow spaces. However, they have limited computing power, and most of them are not wireless and stable enough for accessing infrastructure in difficult-to-reach areas. In this paper, we describe the fabrication of a microrobot with bristle-bot [...] Read more.
Microrobots are effective for monitoring infrastructure in narrow spaces. However, they have limited computing power, and most of them are not wireless and stable enough for accessing infrastructure in difficult-to-reach areas. In this paper, we describe the fabrication of a microrobot with bristle-bot locomotion using a novel centrifugal yaw-steering control scheme. The microrobot operates in a network consisting of an augmented reality headset and an access point to monitor infrastructures using augmented reality (AR) haptic controllers for human–robot collaboration. For the development of the microrobot, the dynamics of bristle-bots in several conditions were studied, and multiple additive manufacturing processes were investigated to develop the most suitable prototype for structural health monitoring. Using the proposed network, visual data are sent in real time to a hub connected to an AR headset upon request, which can be utilized by the operator to monitor and make decisions in the field. This allows the operators wearing an AR headset to inspect the exterior of a structure with their eyes, while controlling the surveying robot to monitor the interior side of the structure. Full article
(This article belongs to the Special Issue Recent Advances in Microrobotics)
Show Figures

Figure 1

16 pages, 5851 KB  
Article
Numerical and Machine-Aided Experimental Models for Simulating the 3D Compliance of a Toothbrush
by Marco Cirelli, Alessio Cellupica, Luca D’Angelo, Marta Mazur and Pier Paolo Valentini
Machines 2023, 11(8), 783; https://doi.org/10.3390/machines11080783 - 28 Jul 2023
Cited by 1 | Viewed by 2389
Abstract
One of the most discussed topics in toothbrush design is identifying the contact force exerted by the bristles on the teeth. Each bristle must generate a contact force to ensure tooth cleaning without damaging it. Numerical simulation is a very powerful tool for [...] Read more.
One of the most discussed topics in toothbrush design is identifying the contact force exerted by the bristles on the teeth. Each bristle must generate a contact force to ensure tooth cleaning without damaging it. Numerical simulation is a very powerful tool for understanding the influence of design parameters (bristle shape and materials). This paper proposes a flexible multibody model to efficiently simulate the 3D compliance of a toothbrush. Each bristle is modeled using a discrete, flexible approach. The contact between the bristles and the target surface is established using the penalty contact method. An experimental test bench with a Universal Robot and a flat, transparent surface is set up. Validation is provided by comparing the reaction forces of the toothbrush with the reaction forces acquired by the load cells mounted on the end effector of the Robot. The results demonstrate the accuracy of estimating normal and tangential forces in various operating situations. The discrete flexible multibody technique has also demonstrated its viability in evaluating the displacement of the bristles when the toothbrush’s base body is put through a specified motion, even when it is exposed to a sudden change in direction. As a result, the model can be effectively utilized to assess how well various brush classes remove dental plaque. Therefore, the suggested model could provide guidance for holistic modeling and advancements in toothbrush design to boost their effectiveness for thorough cleaning. Full article
(This article belongs to the Section Advanced Manufacturing)
Show Figures

Figure 1

18 pages, 53282 KB  
Article
A Soft Robot Driven by a Spring-Rolling Dielectric Elastomer Actuator with Two Bristles
by Yangyang Du, Xiaojun Wu, Jiasheng Xue, Xingyu Chen, Chongjing Cao and Xing Gao
Micromachines 2023, 14(3), 618; https://doi.org/10.3390/mi14030618 - 8 Mar 2023
Cited by 14 | Viewed by 4383
Abstract
Confined space searches such as pipeline inspections are widely demanded in various scenarios, where lightweight soft robots with inherent compliance to adapt to unstructured environments exhibit good potential. We proposed a tubular soft robot with a simple structure of a spring-rolled dielectric elastomer [...] Read more.
Confined space searches such as pipeline inspections are widely demanded in various scenarios, where lightweight soft robots with inherent compliance to adapt to unstructured environments exhibit good potential. We proposed a tubular soft robot with a simple structure of a spring-rolled dielectric elastomer (SRDE) and compliant passive bristles. Due to the compliance of the bristles, the proposed robots can work in pipelines with inner diameters both larger and smaller than the one of the bristles. Firstly, the nonlinear dynamic behaviors of the SRDE were investigated experimentally. Then, we fabricated the proposed robot with a bristle diameter of 19 mm and then studied its performance in pipelines on the ground with inner diameters of 18 mm and 20 mm. When the pipeline’s inner diameter was less than the outer diameter of the bristles, the bristles remained in the state of bending and the robot locomotion is mainly due to anisotropic friction (1.88 and 0.88 body lengths per second horizontally and vertically, respectively, in inner diameter of 18 mm and 0.06 body length per second in that of 16 mm). In the case of the pipeline with the larger inner diameter, the bristles were not fully constrained, and a small bending moment applied on the lower bristle legs contributed to the robot’s locomotion, leading to a high velocity (2.78 body lengths per second in 20 mm diameter acrylic pipe). In addition, the robot can work in varying geometries, such as curving pipes (curve radius ranges from 0.11 m to 0.31 m) at around two body lengths per second horizontally and on the ground at 3.52 body lengths per second, showing promise for pipeline or narrow space inspections. Full article
(This article belongs to the Special Issue Soft Actuators: Design, Fabrication and Applications)
Show Figures

Figure 1

17 pages, 4962 KB  
Article
A Dielectric Elastomer Actuator-Driven Vibro-Impact Crawling Robot
by Chuang Wu, Huan Yan, Anjiang Cai and Chongjing Cao
Micromachines 2022, 13(10), 1660; https://doi.org/10.3390/mi13101660 - 2 Oct 2022
Cited by 24 | Viewed by 4112
Abstract
Over the last decade, many bio-inspired crawling robots have been proposed by adopting the principle of two-anchor crawling or anisotropic friction-based vibrational crawling. However, these robots are complicated in structure and vulnerable to contamination, which seriously limits their practical application. Therefore, a novel [...] Read more.
Over the last decade, many bio-inspired crawling robots have been proposed by adopting the principle of two-anchor crawling or anisotropic friction-based vibrational crawling. However, these robots are complicated in structure and vulnerable to contamination, which seriously limits their practical application. Therefore, a novel vibro-impact crawling robot driven by a dielectric elastomer actuator (DEA) is proposed in this paper, which attempts to address the limitations of the existing crawling robots. The novelty of the proposed vibro-impact robot lies in the elimination of anchoring mechanisms or tilted bristles in conventional crawling robots, hence reducing the complexity of manufacturing and improving adaptability. A comprehensive experimental approach was adopted to characterize the performance of the robot. First, the dynamic response of the DEA-impact constraint system was characterized in experiments. Second, the performance of the robot was extensively studied and the fundamental mechanisms of the vibro-impact crawling locomotion were analyzed. In addition, effects of several key parameters on the robot’s velocity were investigated. It is demonstrated that our robot can realize bidirectional motion (both forward and backward) by simple tuning of the key control parameters. The robot demonstrates a maximum forward velocity of 21.4 mm/s (equivalent to 0.71 body-length/s), a backward velocity of 16.9 mm/s, and a load carrying capacity of 9.5 g (equivalent to its own weight). The outcomes of this paper can offer guidelines for high-performance crawling robot designs, and have potential applications in industrial pipeline inspections, capsule endoscopes, and disaster rescues. Full article
Show Figures

Graphical abstract

15 pages, 13222 KB  
Article
Efficiency and Aerodynamic Performance of Bristled Insect Wings Depending on Reynolds Number in Flapping Flight
by Felicity O’Callaghan, Amir Sarig, Gal Ribak and Fritz-Olaf Lehmann
Fluids 2022, 7(2), 75; https://doi.org/10.3390/fluids7020075 - 10 Feb 2022
Cited by 14 | Viewed by 5692
Abstract
Insect wings are generally constructed from veins and solid membranes. However, in the case of the smallest flying insects, the wing membrane is often replaced by hair-like bristles. In contrast to large insects, it is possible for both bristled and membranous wings to [...] Read more.
Insect wings are generally constructed from veins and solid membranes. However, in the case of the smallest flying insects, the wing membrane is often replaced by hair-like bristles. In contrast to large insects, it is possible for both bristled and membranous wings to be simultaneously present in small insect species. There is therefore a continuing debate about the advantages and disadvantages of bristled wings for flight. In this study, we experimentally tested bristled robotic wing models on their ability to generate vertical forces and scored aerodynamic efficiency at Reynolds numbers that are typical for flight in miniature insects. The tested wings ranged from a solid membrane to a few bristles. A generic lift-based wing kinematic pattern moved the wings around their root. The results show that the lift coefficients, power coefficients and Froude efficiency decreased with increasing bristle spacing. Skin friction significantly attenuates lift production, which may even result in negative coefficients at elevated bristle spacing and low Reynolds numbers. The experimental data confirm previous findings from numerical simulations. These had suggested that for small insects, flying with bristled instead of membranous wings involved less change in energetic costs than for large insects. In sum, our findings highlight the aerodynamic changes associated with bristled wing designs and are thus significant for assessing the biological fitness and dispersal of flying insects. Full article
(This article belongs to the Special Issue Advances in Biological Flows and Biomimetics, Volume II)
Show Figures

Figure 1

25 pages, 76358 KB  
Article
Design and Experimental Investigations of Shape and Attitude Carding System for the Wires of Micro Coreless Motor Winding
by Yuezong Wang, Liuqian Wang and Jiqiang Chen
Micromachines 2021, 12(10), 1140; https://doi.org/10.3390/mi12101140 - 23 Sep 2021
Viewed by 3045
Abstract
The shape and attitude (S&A) of the electrode wire are important characteristics of micro coreless motor winding. The purpose of this paper is to present the design of a robotic micro-manipulation system for micro wire carding with arbitrary S&A, which can be used [...] Read more.
The shape and attitude (S&A) of the electrode wire are important characteristics of micro coreless motor winding. The purpose of this paper is to present the design of a robotic micro-manipulation system for micro wire carding with arbitrary S&A, which can be used as the pretreatment system for wire micro-gripper systems. The system is based on the principle of flexible carding, and uses nylon, bristle, nanometer-silk and wool as materials for the brushing micro-manipulator. The trajectory of the brushing micro-manipulator is designed, and the S&A of the electrode wires are straightened through the combined motion mode of horizontal and vertical brushing micro-manipulators. The experimental results show that the material of the brushing micro-manipulator has a great impact on the carding quality. Nanometer-silk material is more suitable for horizontal brushing micro-manipulators, and wool material is more suitable for vertical brushing micro-manipulators. The geometric dimension of the brushing micro-manipulator also affects the carding quality. When the diameter is in the range of 1 mm, the carding effect of the horizontal brushing micro-manipulator with a length of 4.9–8 mm is better. The system can realize the automatic carding of flexible electrode wires with arbitrary S&A, and it will not damage the structure of wires in the process. Full article
(This article belongs to the Special Issue Feature Papers of Micromachines in Materials and Processing 2021)
Show Figures

Figure 1

39 pages, 9401 KB  
Article
Leaky Flow through Simplified Physical Models of Bristled Wings of Tiny Insects during Clap and Fling
by Vishwa T. Kasoju, Christopher L. Terrill, Mitchell P. Ford and Arvind Santhanakrishnan
Fluids 2018, 3(2), 44; https://doi.org/10.3390/fluids3020044 - 19 Jun 2018
Cited by 34 | Viewed by 7468
Abstract
In contrast to larger flight-capable insects such as hawk moths and fruit flies, miniature flying insects such as thrips show the obligatory use of wing–wing interaction via “clap and fling” during the end of upstroke and start of downstroke. Although fling can augment [...] Read more.
In contrast to larger flight-capable insects such as hawk moths and fruit flies, miniature flying insects such as thrips show the obligatory use of wing–wing interaction via “clap and fling” during the end of upstroke and start of downstroke. Although fling can augment lift generated during flapping flight at chord-based Reynolds number (Re) of 10 or lower, large drag forces are necessary to clap and fling the wings. In this context, bristles observed in the wings of most tiny insects have been shown to lower drag force generated in clap and fling. However, the fluid dynamic mechanism underlying drag reduction by bristled wings and the impact of bristles on lift generated via clap and fling remain unclear. We used a dynamically scaled robotic model to examine the forces and flow structures generated during clap and fling of: three bristled wing pairs with varying inter-bristle spacing, and a geometrically equivalent solid wing pair. In contrast to the solid wing pair, reverse flow through the gaps between the bristles was observed throughout clap and fling, resulting in: (a) drag reduction; and (b) weaker and diffuse leading edge vortices that lowered lift. Shear layers were formed around the bristles when interacting bristled wing pairs underwent clap and fling motion. These shear layers lowered leakiness of flow through the bristles and minimized loss of lift in bristled wings. Compared to the solid wing, peak drag coefficients were reduced by 50–90% in bristled wings. In contrast, peak lift coefficients of bristled wings were only reduced by 35–60% from those of the solid wing. Our results suggest that the bristled wings can provide unique aerodynamic benefits via increasing lift to drag ratio during clap and fling for Re between 5 and 15. Full article
(This article belongs to the Special Issue Bio-inspired Flow)
Show Figures

Figure 1

Back to TopTop