Sign in to use this feature.

Years

Between: -

Subjects

remove_circle_outline
remove_circle_outline
remove_circle_outline
remove_circle_outline
remove_circle_outline

Journals

Article Types

Countries / Regions

Search Results (5)

Search Parameters:
Keywords = blunt round blade edge

Order results
Result details
Results per page
Select all
Export citation of selected articles as:
19 pages, 8022 KB  
Article
Analysis of Surface Characteristics of Titanium Alloy Milling with Ball-End Milling Cutters Based on Mesoscopic Geometric Features
by Xin Tong, Shoumeng Wang, Xiyue Wang and Qiang Qu
Coatings 2024, 14(6), 670; https://doi.org/10.3390/coatings14060670 - 25 May 2024
Cited by 3 | Viewed by 1370
Abstract
In order to further reduce the height of burrs on the surface of the workpiece when milling titanium alloy with ball-end milling cutters and optimize the quality of the workpiece, this article takes the mesoscopic geometric feature of ball-end milling cutters as the [...] Read more.
In order to further reduce the height of burrs on the surface of the workpiece when milling titanium alloy with ball-end milling cutters and optimize the quality of the workpiece, this article takes the mesoscopic geometric feature of ball-end milling cutters as the research object and establishes the theoretical relationship between the mesoscopic geometric feature parameters and the height of titanium alloy burrs during milling. A milling test platform was built to explore the influence of micro-texture, blunt edge single factor, and their interaction with cutting parameters on the force-thermal characteristics and workpiece burr in the milling process. The influence mechanism was revealed, and the prediction model was established. The results show that the ball-end milling cutter with mesoscopic geometric features was able to suppress burrs, and the burr height was reduced by 21% compared with the non-textured milling cutter. The micro-texture reduced the contact area and improved the heat dissipation conditions, thereby reducing the force-thermal characteristics and thus inhibiting the formation of some burrs. The blunt edge can disperse the stress, diffuse the local heat in the tool–chip contact area, and reduce the burr height. In the interaction test considering cutting parameters, the interaction between R and ap was significant. The optimized parameters based on the simulated annealing algorithm were as follows: the radius of the blunt edge was 33.242 μm, the distance between the texture and the edge was 114.621 μm, the texture diameter was 59.820 μm, the texture spacing L1 was 131.410 μm, the cutting depth ap was 0.310 mm, the cutting speed V was 140.019 mm/min, and the feed f was 60 μm/z. This provides a basis for the study of strengthening the tool to suppress burr size. Full article
Show Figures

Figure 1

21 pages, 10354 KB  
Article
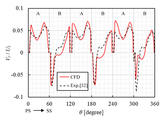
Influence of Blade Leading-Edge Shape on Rotating-Stalled Flow Characteristics in a Centrifugal Pump Impeller
by Hongying Luo, Ran Tao, Jiandong Yang and Zhengwei Wang
Appl. Sci. 2020, 10(16), 5635; https://doi.org/10.3390/app10165635 - 14 Aug 2020
Cited by 17 | Viewed by 7749
Abstract
Rotating stall, which is a common phenomenon in turbomachinery, strongly relates to the flow rate condition. In centrifugal impellers, rotating stall was induced by the incidence angle on blade leading-edge at partial-load. The blade leading-edge shape also influences the rotating stall because of [...] Read more.
Rotating stall, which is a common phenomenon in turbomachinery, strongly relates to the flow rate condition. In centrifugal impellers, rotating stall was induced by the incidence angle on blade leading-edge at partial-load. The blade leading-edge shape also influences the rotating stall because of the subtle change of local flow-field. In this study, the influence of blade leading-edge shape on rotating-stalled flow characteristics was studied in a six-blade centrifugal pump impeller. The stall pattern was “alternating”: Three passages were stalled, three passages were well-behaved, and the stalled and well-behaved passages occurred alternately. The stalled flow characteristics can be studied without the interruption of stall cell movement. Four types of blade leading-edge (blunt, sharp, ellipse, and round) were numerically compared based on the initial typical impeller and the numerical–experimental verification. The numerical comparison shows that the leading-edge shape has a strong influence on the stalled flow pattern, velocity, pressure, turbulence kinetic energy, and flow-induced noise inside impellers. The blunt and sharp leading-edge impellers had a similar internal pattern; the ellipse and round leading-edge impellers were also similar in the internal flow-field. Pressure pulsation analysis showed more obvious differences among these impellers. The main frequency and the pulsation peak–peak values were completely different because of the slight leading-edge shape differences. It revealed the impact of leading-edge geometry on the transient flow-field change under the same incidence angle conditions. It also provided reference for influencing or controlling the rotating stall by blade profile design. Full article
Show Figures

Figure 1

16 pages, 7119 KB  
Article
Influence of Blade Leading-Edge Shape on Cavitation in a Centrifugal Pump Impeller
by Ran Tao, Ruofu Xiao and Zhengwei Wang
Energies 2018, 11(10), 2588; https://doi.org/10.3390/en11102588 - 28 Sep 2018
Cited by 39 | Viewed by 9240
Abstract
Cavitation is an important issue in pumps and usually starts on the blade leading-edge. For fixed blades with constant rotational speeds and specific flow rates, the incident angle, which is between the flow direction and the blade installing direction, on the blade leading-edge [...] Read more.
Cavitation is an important issue in pumps and usually starts on the blade leading-edge. For fixed blades with constant rotational speeds and specific flow rates, the incident angle, which is between the flow direction and the blade installing direction, on the blade leading-edge plays the key role in the cavitation process. The leading-edge shape is crucial on the local flow separation, pressure distribution, and cavitation. Hence, the influence of the leading-edge shape on cavitation has been studied in the current work in a centrifugal pump impeller. The blunt, sharp, ellipse and round leading-edge cases were compared using numerical simulation and verified by experimental data. Results show different features of cavitation. The round and ellipse leading-edge impellers have higher inception cavitation coefficient. It was caused by the sudden pressure drop on leading-edge arc or elliptical arc. The sharp and blunt leading-edge impellers have a wide flow-separation region on leading-edge with a wide low-pressure region. This is because of the sudden turn in geometry on the leading-edge corner. Cavitation grew quickly after inception and caused rapid head-drop in the sharp and blunt leading-edge impellers. Results suggest the critical cavitation performance is dominated by the leading-edge low-pressure area while the inception cavitation is mostly affected by the minimum pressure value on the leading-edge. The critical cavitation performance can be evaluated by checking the leading-edge low-pressure area. The inception cavitation can be evaluated by checking the minimum pressure value on the leading-edge. These strategies can be used in the further leading-edge designs. Full article
(This article belongs to the Special Issue Computational Fluid Dynamics (CFD) 2018)
Show Figures

Figure 1

20 pages, 10917 KB  
Article
Experimental and Numerical Study of Transonic Cooled Turbine Blades
by Andrey Granovskiy, Vladimir Gribin and Nikolai Lomakin
Int. J. Turbomach. Propuls. Power 2018, 3(2), 16; https://doi.org/10.3390/ijtpp3020016 - 8 Jun 2018
Cited by 4 | Viewed by 4818
Abstract
State-of-the-art gas turbines (GT) operate at high temperatures that exceed the endurance limit of the material, and therefore the turbine components are cooled by the air taken from the compressor. The cooling provides a positive impact on the lifetime of GT but has [...] Read more.
State-of-the-art gas turbines (GT) operate at high temperatures that exceed the endurance limit of the material, and therefore the turbine components are cooled by the air taken from the compressor. The cooling provides a positive impact on the lifetime of GT but has a negative impact on its performance. In convection-cooled turbine blades the coolant is usually discharged through the trailing edge and leads to limitations on the minimal size of the trailing edge, thereby negatively affecting the losses. Moreover, the injection of cooling air in the turbine disturbs the main flow, and may lead to an additional increase in loss. Trailing edge loss is a significant part of the overall loss in modern gas turbines. This study comprises investigations of the unguided flow angle, the trailing edge shape, and cooling air injection through the trailing edge on the base pressure and profile losses in cooled blades. Some vane and blade cascades with different unguided turning angle and two shapes of trailing edges with and without coolant injection were studied both experimentally and numerically. This analysis provides a split of losses caused by different factors, and offers opportunities for efficiency and lifetime improvements of real engine designs/upgrades. In particular, it is shown that an increase in the unguided turning angle and the use of a round trailing edge result in a reduction of loss in case of a relatively thick trailing edge. Numerical investigation showed that an increase in the unguided turning angle at the initial transonic vane with a thick and blunt trailing edge, without a change in other basic geometric parameters, allowed for a significant reduction of the profile loss by about 3–4% at the exit Mach number M2is = 0.7–1.0. Experimental investigation of four cascades with cooling air injection into the base flow through the trailing edge allowed us to validate the fact that in blades with a low level of base pressure Cpb < −0.1 at m¯ = 0 a non-monotonic dependence of the change of losses against relative cooling air mass flow m¯ is observed. Firstly, the cooling air injection into wake increases base pressure and decreases losses; then the losses start to increase with increasing cooling mass flow due to the interaction between the main flow and the cooling air (mixing losses) and, finally, due to the cooling mass flow increase and momentum increase losses are decreased. In blades with an increased level of the base pressure coefficient Cpb ≥ −0.1 at m¯ = 0 the cooling air injection results in an increase in losses right from the beginning of the injection and then, according to the cooling mass flow increase and momentum rise, losses decrease. It is also shown that injection through the trailing edge slot parallel to the main flow leads to a neutral loss impact and even a loss reduction in the subsonic range and a loss increase in the supersonic range of exit Mach numbers. Full article
Show Figures

Figure 1

22 pages, 10519 KB  
Article
Numerical Analysis of Flatback Trailing Edge Airfoil to Reduce Noise in Power Generation Cycle
by Hyungki Shin, Hogeon Kim, Taehyung Kim, Soo-Hyun Kim, Soogab Lee, Young-Jin Baik and Gilbong Lee
Energies 2017, 10(7), 872; https://doi.org/10.3390/en10070872 - 29 Jun 2017
Cited by 3 | Viewed by 5193
Abstract
Turbo machinery is an essential part in the power generation cycle. However, it is the main source of noise that annoys workers and users, and contributes to environmental problems. Thus, it is important to reduce this noise when operating the power generation cycle. [...] Read more.
Turbo machinery is an essential part in the power generation cycle. However, it is the main source of noise that annoys workers and users, and contributes to environmental problems. Thus, it is important to reduce this noise when operating the power generation cycle. This noise is created by a flow instability on the trailing edge of the rotor blade—an airfoil that becomes a section of the rotor blade of the rotating machine—manufactured as a blunt trailing edge (T.E.), with a round or flatback shape, rather than the ideal sharp T.E. shape, for the purposes of production and durability. This increases the tonal noise and flow-induced vibrations at a low frequency, owing to vortex shedding behind T.E. when compared with a sharp T.E. In order to overcome this problem, the present study investigates the oblique T.E. shape using numerical simulations. In order to do so, flow was simulated using large eddy simulation (LES) and the noise was analyzed by acoustic analogy coupled with the LES result. Once the simulation results were verified using the flatback airfoil measurements of the Sandia National Laboratories, numerical prediction was performed to analyze the flow and the noise characteristics for the airfoils, which were modified to have oblique trailing edge angles of 60°, 45°, and 30°. From the simulation results of the oblique T.E. airfoil, it could be seen that the vortex shedding frequency moves in accordance with the oblique angle and that the vortex shedding noise characteristics change according to the angle, when compared to the flatback T.E. airfoil. Therefore, it is considered that modifying the flatback T.E. airfoil with an appropriate oblique angle can reduce noise and change the tonal frequency to a bandwidth that is suitable for mechanical systems. Full article
(This article belongs to the Section I: Energy Fundamentals and Conversion)
Show Figures

Figure 1

Back to TopTop