Sign in to use this feature.

Years

Between: -

Subjects

remove_circle_outline
remove_circle_outline
remove_circle_outline

Journals

Article Types

Countries / Regions

Search Results (6)

Search Parameters:
Keywords = biopolyurethane foam

Order results
Result details
Results per page
Select all
Export citation of selected articles as:
18 pages, 3581 KB  
Article
Evaluation of Bio-Polyurethane Foam Synthesized from Liquefied Waste Wood Polyol
by Go Masuda, Christian Ebere Enyoh, Keiju Ishidoya, Weiqian Wang and Qingyue Wang
Recycling 2025, 10(4), 126; https://doi.org/10.3390/recycling10040126 - 22 Jun 2025
Viewed by 714
Abstract
Bio-polyurethane foam was synthesized in this study using bio-polyol derived from liquefied waste wood as a sustainable alternative to petroleum-based polyols. It has been widely reported that polyurethane foams incorporating liquefied wood exhibit biodegradability when buried in soil, with assessments typically relying on [...] Read more.
Bio-polyurethane foam was synthesized in this study using bio-polyol derived from liquefied waste wood as a sustainable alternative to petroleum-based polyols. It has been widely reported that polyurethane foams incorporating liquefied wood exhibit biodegradability when buried in soil, with assessments typically relying on CO2 emission measurements in a close system. However, this method cannot obtain any chemical bonding breakage information of the bio-polyurethane foam. On the other hand, our study investigated the biodegradation process by employing an elemental composition analysis using a CHN coder and functional group analysis through Fourier transform infrared (FT-IR) spectroscopy to capture chemical structure changing. The results demonstrated that biodegradation occurs in three different stages over time, even in the absence of significant early-stage weight loss. The gradual breakdown of urethane bonds was confirmed through changes in the elemental composition and functional group ratios, providing a more detailed understanding of the degradation mechanism. These findings suggest highlighting the importance of complementary chemical analytical techniques for a more accurate evaluation. On the other hand, TG data showed that bio-polyurethane foams remained thermally stable even after biodegradation occurred. Full article
Show Figures

Figure 1

20 pages, 6462 KB  
Article
Effect of Liquid Glass-Modified Lignin Waste on the Flammability Properties of Biopolyurethane Foam Composites
by Agnė Kairytė, Sylwia Makowska, Przemysław Rybiński, Krzysztof Strzelec, Arūnas Kremensas, Jurga Šeputytė-Jucikė and Saulius Vaitkus
Polymers 2024, 16(2), 205; https://doi.org/10.3390/polym16020205 - 10 Jan 2024
Cited by 5 | Viewed by 2260
Abstract
Water-blown biopolyurethane (bioPUR) foams are flammable and emit toxic gases during combustion. Herein, a novel approach suggested by the current study is to use different amounts of lignin waste (LigW), which increases the thermal stability and delays the flame spread and sodium silicate [...] Read more.
Water-blown biopolyurethane (bioPUR) foams are flammable and emit toxic gases during combustion. Herein, a novel approach suggested by the current study is to use different amounts of lignin waste (LigW), which increases the thermal stability and delays the flame spread and sodium silicate (LG), which has foaming ability at high temperatures and acts as a protective layer during a fire. However, there have been no studies carried out to investigate the synergy between these two materials. Therefore, two different ratios, namely 1/1 and 1/2 of LigW/LG, were used to prepare bioPUR foam composites. The obtained bioPUR foam composites with a 1/2 ratio of LigW/LG exhibited inhibition of flame propagation during the ignitability test by 7 s, increased thermal stability at higher temperatures by 40 °C, reduced total smoke production by 17%, reduced carbon monoxide release by 22%, and increased compressive strength by a maximum of 123% and 36% and tensile strength by a maximum of 49% and 30% at 100 °C and 200 °C, respectively, compared to bioPUR foam composites with unmodified LigW. Additionally, thanks to the sufficient compatibility between the polymeric matrix and LigW/LG particles, bioPUR foam composites were characterised by unchanged or even improved physical and mechanical properties, as well as increased glass transition temperature by 16% compared to bioPUR foam composites with unmodified LigW particles, making them suitable for application as a thermal insulating layer in building envelopes. Full article
(This article belongs to the Special Issue Thermal Characterization and Applications of Polymer Composites)
Show Figures

Figure 1

19 pages, 3960 KB  
Article
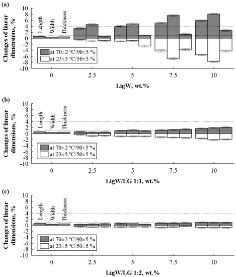
Impact of Different Ratios of Lignin Waste and Liquid Glass on the Performance Characteristics of Biopolyurethane Foams
by Agnė Kairytė, Jurga Šeputytė-Jucikė, Sylwia Członka, Sigitas Vėjelis and Saulius Vaitkus
Polymers 2023, 15(4), 818; https://doi.org/10.3390/polym15040818 - 6 Feb 2023
Cited by 4 | Viewed by 1776
Abstract
In the current study, biopolyurethane foam was modified with 2.5–10 wt.% lignin waste (LigW) and liquid glass (LG)-modified LigW particles at different LigW/LG ratios—1:1 and 1:2—and their impact on performance characteristics—i.e., rheology, foaming times, apparent density, thermal conductivity before and after aging, dimensional [...] Read more.
In the current study, biopolyurethane foam was modified with 2.5–10 wt.% lignin waste (LigW) and liquid glass (LG)-modified LigW particles at different LigW/LG ratios—1:1 and 1:2—and their impact on performance characteristics—i.e., rheology, foaming times, apparent density, thermal conductivity before and after aging, dimensional stability at ambient and elevated conditions, compressive and tensile strengths, short-term water absorption by partial immersion, and water vapor permeability—was determined and evaluated. Structural analysis was implemented and structural parameters were taken into consideration as well. During the study, it was determined that 2.5–10 wt.% particles at the LigW/LG ratio of 1:2 showed a superior impact on the physical and mechanical properties of bioPUR foams. The apparent density only insignificantly increased and was in a density range suitable for commercially available polyurethanes. For particles at 10 wt.% and LigW/LG ratio of 1:1, the thermal conductivity value improved by 3.2%, the compressive strength increased by 153%, while the tensile strength improved by 23.5%, indicating sufficient interfacial adhesion between the filler and polymer matrix. Moreover, the short-term water absorption by partial immersion remained almost unchanged, while the water vapour diffusion resistance factor improved from 43 to 48. Additionally, the incorporation of LigW/LG 1:1 and LigW/LG 1:2 particles made it possible to obtain dimensionally and structurally stable closed-cell bioPUR foams for possible application as thermal insulation in building envelopes. Full article
(This article belongs to the Section Polymer Applications)
Show Figures

Figure 1

19 pages, 3950 KB  
Article
Vacuum-Based Impregnation of Liquid Glass into Sunflower Press Cake Particles and Their Use in Bio-Based Rigid Polyurethane Foam
by Agnė Kairytė, Sylwia Członka, Renata Boris and Sigitas Vėjelis
Materials 2021, 14(18), 5351; https://doi.org/10.3390/ma14185351 - 16 Sep 2021
Cited by 7 | Viewed by 2451
Abstract
The study analyses rigid polyurethane (PUR) foam modified with 10–30 wt.% sunflower press cake (SFP) and liquid glass-impregnated sunflower press cake (LG-SFP) particles and their impact on performance characteristics of PUR foams—foaming behaviour, rheology, thermal conductivity, compressive strength parallel and perpendicular to the [...] Read more.
The study analyses rigid polyurethane (PUR) foam modified with 10–30 wt.% sunflower press cake (SFP) and liquid glass-impregnated sunflower press cake (LG-SFP) particles and their impact on performance characteristics of PUR foams—foaming behaviour, rheology, thermal conductivity, compressive strength parallel and perpendicular to the foaming directions, tensile strength, dimensional stability, short-term water absorption by partial immersion, and thermal stability. Even though the dynamic viscosity and apparent density were increased for SFP and LG-SFP formulations, thermal conductivity values improved by 17% and 10%, respectively, when 30 wt.% of particles were incorporated. The addition of SFP and LG-SFP particles resulted in the formation of more structurally and dimensionally stable PUR foams with a smaller average cell size and a greater content of closed cells. At 30 wt.% of SFP and LG-SFP particles, compressive strength increased by 114% and 46% in the perpendicular direction, respectively, and by 71% and 67% in the parallel direction, respectively, while tensile strength showed an 89% and 85% higher performance at 30 wt.% SFP and LG-SFP particles loading. Furthermore, short-term water absorption for all SFP and LG-SFP modified PUR foam formulations was almost two times lower compared to the control foam. SFP particles reduced the thermal stability of modified PUR foams, but LG-SFP particles shifted the thermal decomposition temperatures towards higher ones. Full article
(This article belongs to the Special Issue Waste-Based Polymer Composites)
Show Figures

Figure 1

10 pages, 2110 KB  
Article
Bio-Polyurethane Foams Modified with a Mixture of Bio-Polyols of Different Chemical Structures
by Aleksander Prociak, Maria Kurańska, Katarzyna Uram and Monika Wójtowicz
Polymers 2021, 13(15), 2469; https://doi.org/10.3390/polym13152469 - 27 Jul 2021
Cited by 25 | Viewed by 2912
Abstract
We report on rigid polyurethane (PUR) foams prepared using different contents of a mixture of two bio-polyols (20–40 php). The bio-polyols were obtained through epoxidation and a ring opening reaction. Different chemical structures of the bio-polyols resulted from the use of 1-hexanol and [...] Read more.
We report on rigid polyurethane (PUR) foams prepared using different contents of a mixture of two bio-polyols (20–40 php). The bio-polyols were obtained through epoxidation and a ring opening reaction. Different chemical structures of the bio-polyols resulted from the use of 1-hexanol and 1,6-hexanediol as opening agents. The bio-polyols were characterized by hydroxyl values of 104 and 250 mgKOH/g and viscosities of 643 and 5128 mPa·s, respectively. Next, the influence of the bio-polyols on the foaming process of PUR systems as well as the foam properties was evaluated. The bio-foams modified with different contents of the bio-polyols were next compared with a reference foam obtained using a polyether petrochemical polyol. The effect of the apparent density reduction as a result of replacing the petrochemical polyol was minimized by decreasing the water content in the formulation. It was found that the modification of the recipe by changing the content of water, acting as a chemical foaming agent, did not affect the foaming process. However, the introduction of the bio-polyols mixture limited the reactivity of the systems by reducing the maximum temperature of the foaming process. The bio-materials with comparable apparent densities to that of the reference material were characterized by similar values of the thermal conductivity coefficient and a decrease in their mechanical strengths. A deterioration of mechanical properties was caused by the plasticization of the polyurethane matrices with the bio-polyols containing dangling chains. However, all materials were dimensionally stable at room temperature. Full article
Show Figures

Figure 1

17 pages, 4193 KB  
Article
Microwave-Assisted Two-Step Liquefaction of Acetone-Soluble Lignin of Silvergrass Saccharification Residue for Production of Biopolyol and Biopolyurethane
by My Ha Tran, Ju-Hyun Yu and Eun Yeol Lee
Polymers 2021, 13(9), 1491; https://doi.org/10.3390/polym13091491 - 6 May 2021
Cited by 10 | Viewed by 2994
Abstract
The application of microwave heating facilitated efficient two-step liquefaction of acetone-soluble lignin obtained from saccharification residue of Miscanthus sacchariflorus (silvergrass), which was prepared by enzymatic hydrolysis, to produce biopolyol with a low acid number and favorable hydroxyl number. The acetone-soluble lignin was liquefied [...] Read more.
The application of microwave heating facilitated efficient two-step liquefaction of acetone-soluble lignin obtained from saccharification residue of Miscanthus sacchariflorus (silvergrass), which was prepared by enzymatic hydrolysis, to produce biopolyol with a low acid number and favorable hydroxyl number. The acetone-soluble lignin was liquefied using a crude glycerol and 1,4-butanediol solvent mixture at various solvent blending ratios, biomass loadings, acid loadings, and reaction temperatures. The optimal reaction condition was determined at a solvent blending ratio of crude glycerol to 1,4-butanediol of 1:2, 20% of biomass loading, and 1% of catalyst loading at a reaction temperature of 140 °C for 10 min. Subsequently, the optimal biopolyol was directly used for the preparation of biopolyurethane foam as a value-added product. The chemical and physical properties of biopolyurethane foams derived from acetone-soluble lignin were characterized by Fourier transform infrared spectroscopy (FT-IR), thermogravimetric analysis (TGA), and high-resolution scanning electron microscopy (HR-SEM). In addition, mechanical properties of produced biopolyurethane foams, including compressive strength and density, were also characterized to suggest their appropriate applications. The results indicated that the biopolyurethane foam can be used as a green replacement for petroleum-based polyurethane foam due to its comparable thermal properties, mechanical strength, and morphological structure. Full article
(This article belongs to the Special Issue Bio-Based Polymers and Biocomposites)
Show Figures

Graphical abstract

Back to TopTop