Bio-Polyurethane Foams Modified with a Mixture of Bio-Polyols of Different Chemical Structures
Abstract
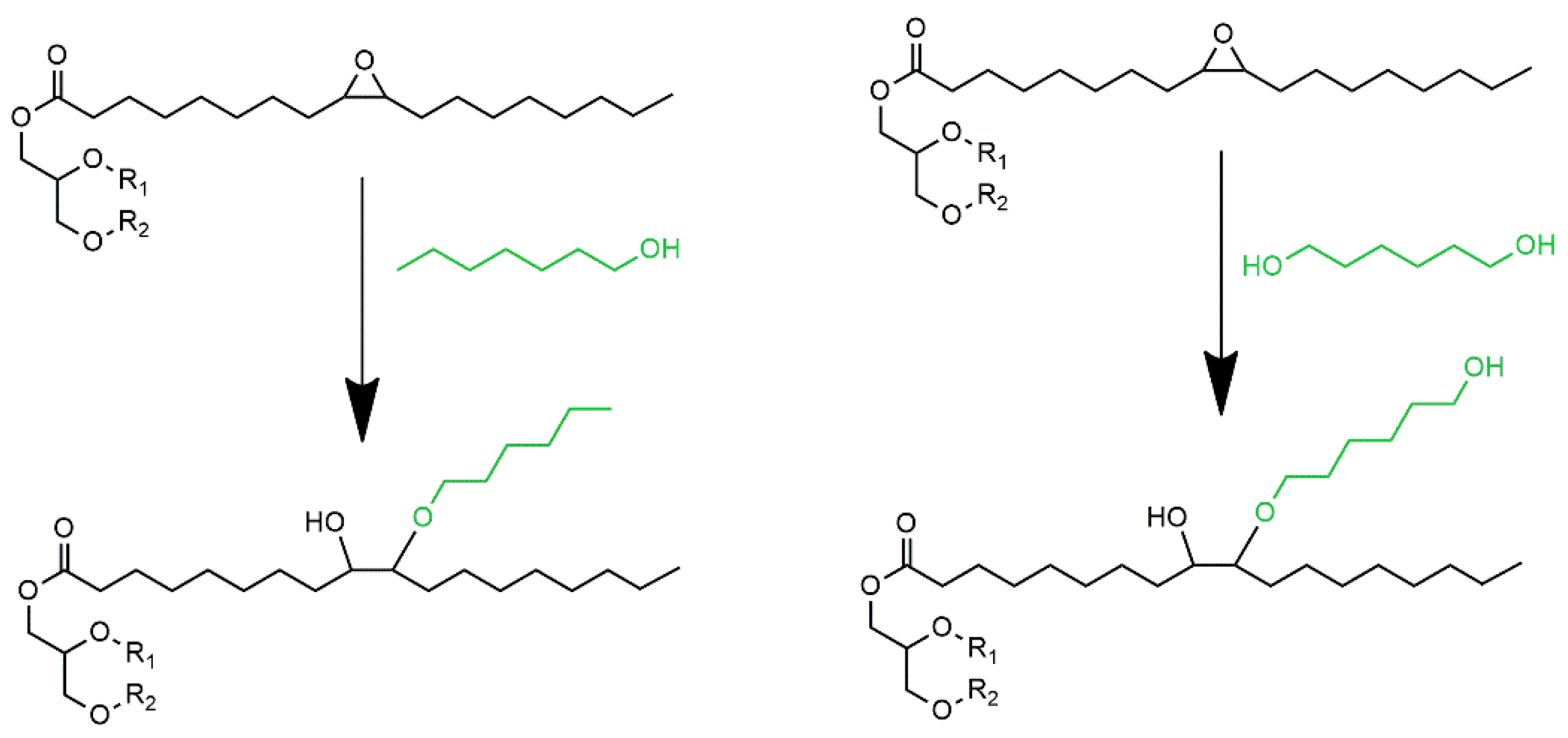
:1. Introduction
2. Materials and Methods
2.1. Foam Formulation and Preparation
2.2. Characterization of Foaming Process and Foam Properties
3. Results and Discussion
4. Conclusions
Author Contributions
Funding
Institutional Review Board Statement
Informed Consent Statement
Data Availability Statement
Acknowledgments
Conflicts of Interest
References
- Leszczyńska, M.; Malewska, E.; Ryszkowska, J.; Kurańska, M.; Gloc, M.; Leszczyński, M.K.; Prociak, A. Vegetable Fillers and Rapeseed Oil-Based Polyol as Natural Raw Materials for the Production of Rigid Polyurethane Foams. Materials 2021, 14, 1772. [Google Scholar] [CrossRef] [PubMed]
- Singh, H.; Sharma, T.P.; Jain, A.K. Reactivity of the Raw Materials and Their Effects on the Structure and Properties of Rigid Polyurethane Foams. J. Appl. Polym. Sci. 2007, 106, 1014–1023. [Google Scholar] [CrossRef]
- Chen, M.J.; Wang, X.; Tao, M.C.; Liu, X.Y.; Liu, Z.G.; Zhang, Y.; Zhao, C.S.; Wang, J.S. Full substitution of petroleum-based polyols by phosphorus-containing soy-based polyols for fabricating highly flame-retardant polyisocyanurate foams. Polym. Degrad. Stab. 2018, 154, 312–322. [Google Scholar] [CrossRef]
- Dhaliwal, G.S.; Anandan, S.; Chandrashekhara, K.; Lees, J.; Nam, P. Development and characterization of polyurethane foams with substitution of polyether polyol with soy-based polyol. Eur. Polym. J. 2018, 107, 105–117. [Google Scholar] [CrossRef]
- Hejna, A.; Kirpluks, M.; Kosmela, P.; Cabulis, U.; Haponiuk, J.; Piszczyk, Ł. The influence of crude glycerol and castor oil-based polyol on the structure and performance of rigid polyurethane-polyisocyanurate foams. Ind. Crop. Prod. 2017, 95, 113–125. [Google Scholar] [CrossRef]
- Kirpluks, M.; Kalnbunde, D.; Walterova, Z.; Cabulis, U. Rapeseed Oil as feedstock for high functionality polyol synthesis. J. Renew. Mater. 2017, 5, 258–270. [Google Scholar] [CrossRef]
- Kosmela, P.; Hejna, A.; Formela, K.; Haponiuk, J.; Piszczyk, Ł. The Study on Application of Biopolyols Obtained by Cellulose Biomass Liquefaction Performed with Crude Glycerol for the Synthesis of Rigid Polyurethane Foams. J. Polym. Environ. 2018, 26, 2546–2554. [Google Scholar] [CrossRef] [Green Version]
- Prociak, A.; Kurańska, M.; Cabulis, U.; Ryszkowska, J.; Leszczyńska, M.; Uram, K.; Kirpluks, M. Effect of bio-polyols with different chemical structures on foaming of polyurethane systems and foam properties. Ind. Crop. Prod. 2018, 120, 262–270. [Google Scholar] [CrossRef]
- Stanzione, M.; Russo, V.; Oliviero, M.; Verdolotti, L.; Sorrentino, A.; Di Serio, M.; Tesser, R.; Iannace, S.; Lavorgna, M. Synthesis and characterization of sustainable polyurethane foams based on polyhydroxyls with different terminal groups. Polymer 2018, 149, 134–145. [Google Scholar] [CrossRef]
- Zhang, J.; Hori, N.; Takemura, A. Optimization of preparation process to produce polyurethane foam made by oilseed rape straw based polyol. Polym. Degrad. Stab. 2019, 166, 31–39. [Google Scholar] [CrossRef]
- Borowicz, M.; Paciorek-Sadowska, J.; Isbrandt, M.; Grzybowski, Ł.; Czupryński, B. Glycerolysis of poly(lactic acid) as away to extend the “life cycle” of this material. Polymers 2019, 11, 1963. [Google Scholar] [CrossRef] [Green Version]
- Cateto, C.A.; Barreiro, M.F.; Ottati, C.; Lopretti, M.; Rodrigues, A.E.; Belgacem, M.N. Lignin-based rigid polyurethane foams with improved biodegradation. J. Cell. Plast. 2014, 50, 81–95. [Google Scholar] [CrossRef]
- Kurańska, M.; Malewska, E.; Polaczek, K.; Prociak, A.; Kubacka, J. A pathway toward a new era of open-cell polyurethane foams—influence of bio-polyols derived from used cooking oil on foams properties. Materials 2020, 13, 5161. [Google Scholar] [CrossRef] [PubMed]
- Kurańska, M.; Leszczyńska, M.; Malewska, E.; Prociak, A.; Ryszkowska, J. Implementation of circular economy principles in the synthesis of polyurethane foams. Polymers 2020, 12, 2068. [Google Scholar] [CrossRef] [PubMed]
- Marcovich, N.E.; Kurańska, M.; Prociak, A.; Malewska, E.; Bujok, S. The effect of different palm oil-based bio-polyols on foaming process and selected properties of porous polyurethanes. Polym. Int. 2017, 66, 1522–1529. [Google Scholar] [CrossRef]
- Kirpluks, M.; Cabulis, U.; Kurańska, M.; Prociak, A. Three Different Approaches for Polyol Synthesis from Rapeseed Oil. Key Eng. Mater. 2013, 559, 69–74. [Google Scholar] [CrossRef]
- Paciorek-Sadowska, J.; Borowicz, M.; Isbrandt, M. New poly(lactide-urethane-isocyanurate) foams based on bio-polylactideWaste. Polymers 2019, 11, 481. [Google Scholar] [CrossRef] [Green Version]
- Paciorek-Sadowska, J.; Borowicz, M.; Isbrandt, M.; Czupryński, B.; Apiecionek, Ł. The use of waste from the production of rapeseed oil for obtaining of new polyurethane composites. Polymers 2019, 11, 1431. [Google Scholar] [CrossRef] [PubMed] [Green Version]
- Paruzel, A.; Michałowski, S.; Hodan, J.; Horák, P.; Prociak, A.; Beneš, H. Rigid Polyurethane Foam Fabrication Using Medium Chain Glycerides of Coconut Oil and Plastics from End-of-Life Vehicles. ACS Sustain. Chem. Eng. 2017, 5, 6237–6246. [Google Scholar] [CrossRef]
- Ribeiro Da Silva, V.; Mosiewicki, M.A.; Yoshida, M.I.; Coelho Da Silva, M.; Stefani, P.M.; Marcovich, N.E. Polyurethane foams based on modified tung oil and reinforced with rice husk ash I: Synthesis and physical chemical characterization. Polym. Test. 2013, 32, 438–445. [Google Scholar] [CrossRef]
- Kirpluks, M.; Kalnbunde, D.; Benes, H.; Cabulis, U. Natural oil based highly functional polyols as feedstock for rigid polyurethane foam thermal insulation. Ind. Crops Prod. 2018, 122, 627–636. [Google Scholar] [CrossRef]
- Prociak, A.; Kurańska, M.; Malewska, E. Porous polyurethane plastics synthetized using bio-polyols from renewable raw materials. Polimery 2017, 62, 353–363. [Google Scholar] [CrossRef]
- Zhang, C.; Kessler, M.R. Bio-based polyurethane foam made from compatible blends of vegetable-oil-based polyol and petroleum-based polyol. ACS Sustain. Chem. Eng. 2015, 3, 743–749. [Google Scholar] [CrossRef]
- Uram, K.; Prociak, A.; Kurańska, M. Influence of the chemical structure of rapeseed oil-based polyols on selected properties of polyurethane foams. Polymers 2020, 65, 698–707. [Google Scholar] [CrossRef]
- Polaczek, K.; Kurańska, M.; Auguścik-Królikowska, M.; Prociak, A.; Ryszkowska, J. Open-cell polyurethane foams of very low density modified with various palm oil-based bio-polyols in accordance with cleaner production. J. Clean. Prod. 2021, 290, 125875. [Google Scholar] [CrossRef]
- Leszczyńska, M.; Ryszkowska, J.; Szczepkowski, L.; Kurańska, M.; Prociak, A.; Leszczyński, M.K.; Gloc, M.; Antos-Bielska, M.; Mizera, K. Cooperative effect of rapeseed oil-based polyol and egg shells on the structure and properties of rigid polyurethane foams. Polym. Test. 2020, 90, 106696. [Google Scholar] [CrossRef]
- Gama, N.V.; Ferreira, A.; Barros-Timmons, A. Polyurethane foams: Past, present, and future. Materials 2018, 11, 1841. [Google Scholar] [CrossRef] [PubMed] [Green Version]
- Arniza, M.Z.; Hoong, S.S.; Idris, Z.; Yeong, S.K.; Hassan, H.A.; Din, A.K.; Choo, Y.M. Synthesis of transesterified palm olein-based Polyol and rigid polyurethanes from this polyol. JAOCS J. Am. Oil Chem. Soc. 2015, 92, 243–255. [Google Scholar] [CrossRef] [Green Version]







| Properties | P_1Hex | P_1.6Hex | RF551 |
|---|---|---|---|
| Hydroxyl value, mgKOH/g | 104 | 250 | 428 |
| Acid value, mgKOH/g | 1.38 | 4.05 | 0.10 |
| Water content, %mas. | 0.05 | 0.38 | 0.10 |
| Average molecular weight, g/mol | 1442 | 978 | 625 |
| Viscosity, mPa·s | 643 | 5128 | 4000 |
| Functionality | 2.67 | 4.36 | 4.77 |
| Raw Materials, g | PU_0 | PU_20 | PU_20m | PU_40 | PU_40m |
|---|---|---|---|---|---|
| RF551 | 36.00 | 30.40 | 30.40 | 24.00 | 24.00 |
| P_1Hex | 0 | 3.80 | 3.80 | 8.00 | 8.00 |
| P_1.6Hex | 0 | 3.80 | 3.80 | 8.00 | 8.00 |
| Polycat 218 | 0.54 | 0.57 | 0.57 | 0.60 | 0.60 |
| L-6915 | 0.54 | ||||
| Water | 1.22 | 1.22 | 1.20 | 1.22 | 1.18 |
| Isocyanate index | 1.1 | ||||
| Symbol | Cross Section Area, mm2 | Anisotropy Index | Cell Density | |
|---|---|---|---|---|
| Parallel direction | PU_0 | 0.0063 ± 0.0006 | 1.12 ± 0.06 | 670.33 ± 82.43 |
| PU_20 | 0.0059 ± 0.0004 | 1.11 ± 0.02 | 690.79 ± 183.80 | |
| PU_20m | 0.0054 ± 0.0004 | 1.12 ± 0.03 | 710.25 ± 65.14 | |
| PU_40 | 0.0068 ± 0.0009 | 1.17 ± 0.04 | 575.19 ± 51.33 | |
| PU_40m | 0.0054 ± 0.0007 | 1.12 ± 0.04 | 805.07 ± 84.30 | |
| Perpendicular direction | PU_0 | 0.0045 ± 0.0007 | 0.90 ± 0.04 | 948.41 ± 104.04 |
| PU_20 | 0.0045 ± 0.0004 | 0.99 ± 0.04 | 968.75 ± 77.87 | |
| PU_20m | 0.0040 ± 0.0005 | 0.91 ± 0.04 | 1029.87 ± 118.97 | |
| PU_40 | 0.0047 ± 0.0011 | 0.93 ± 0.02 | 1026.74 ± 170.52 | |
| PU_40m | 0.0037 ± 0.0003 | 0.92 ± 0.02 | 1103.82 ± 56.91 |
Publisher’s Note: MDPI stays neutral with regard to jurisdictional claims in published maps and institutional affiliations. |
© 2021 by the authors. Licensee MDPI, Basel, Switzerland. This article is an open access article distributed under the terms and conditions of the Creative Commons Attribution (CC BY) license (https://creativecommons.org/licenses/by/4.0/).
Share and Cite
Prociak, A.; Kurańska, M.; Uram, K.; Wójtowicz, M. Bio-Polyurethane Foams Modified with a Mixture of Bio-Polyols of Different Chemical Structures. Polymers 2021, 13, 2469. https://doi.org/10.3390/polym13152469
Prociak A, Kurańska M, Uram K, Wójtowicz M. Bio-Polyurethane Foams Modified with a Mixture of Bio-Polyols of Different Chemical Structures. Polymers. 2021; 13(15):2469. https://doi.org/10.3390/polym13152469
Chicago/Turabian StyleProciak, Aleksander, Maria Kurańska, Katarzyna Uram, and Monika Wójtowicz. 2021. "Bio-Polyurethane Foams Modified with a Mixture of Bio-Polyols of Different Chemical Structures" Polymers 13, no. 15: 2469. https://doi.org/10.3390/polym13152469
APA StyleProciak, A., Kurańska, M., Uram, K., & Wójtowicz, M. (2021). Bio-Polyurethane Foams Modified with a Mixture of Bio-Polyols of Different Chemical Structures. Polymers, 13(15), 2469. https://doi.org/10.3390/polym13152469

