Sign in to use this feature.

Years

Between: -

Subjects

remove_circle_outline
remove_circle_outline
remove_circle_outline
remove_circle_outline
remove_circle_outline
remove_circle_outline

Journals

Article Types

Countries / Regions

Search Results (6)

Search Parameters:
Keywords = backrest height

Order results
Result details
Results per page
Select all
Export citation of selected articles as:
17 pages, 4689 KB  
Article
Effects of Seat Height and Backrest Inclination on Body Pressure Distribution and Subjective Comfort in Seat Design for the Elderly
by Jianhua Lyu, Sibing Chen, Shanshan Xia, Qinling Zhong, Danninghan Chang, Yuxin Lin, Haiyan Wang and Ming Chen
Appl. Sci. 2025, 15(20), 11224; https://doi.org/10.3390/app152011224 (registering DOI) - 20 Oct 2025
Abstract
Adopting a human-centered approach, this study investigates the influence of seat parameters on comfort for elderly users. Twenty healthy older adults (61–70 years) assessed age-friendly seats with varying seat heights (knee popliteal height H mm, H − 50 mm, H − 25 mm, [...] Read more.
Adopting a human-centered approach, this study investigates the influence of seat parameters on comfort for elderly users. Twenty healthy older adults (61–70 years) assessed age-friendly seats with varying seat heights (knee popliteal height H mm, H − 50 mm, H − 25 mm, H + 25 mm, and H + 50 mm) and backrest inclinations (90°, 105°, 120°, 135°). Body pressure distribution analysis and subjective comfort evaluations were conducted to assess the impact of these parameters. Key findings demonstrated that optimal subjective and objective comfort ratings were achieved at a seat height of H mm or H − 25 mm combined with a backrest inclination of 105°. Seat height showed a positive correlation with contact area, while exhibiting negative correlations with average pressure and maximum pressure. Regional comfort (feet, calves, coccyx, anterior thighs) exhibited significant positive correlations with overall comfort (p < 0.01). Furthermore, increasing the backrest inclination angle led to a higher-pressure gradient, and slippage perception negatively correlated with comfort (p < 0.05). This research confirms that the parameter optimization—specifically height and backrest inclination—effectively optimizes pressure distribution and significantly enhances sitting comfort for the elderly. The findings provide a scientific basis for designing comfortable, age-friendly seating solutions that support sustainable quality of life. Full article
Show Figures

Figure 1

20 pages, 3106 KB  
Article
Ergonomics in Bicycle Saddle Design: Application of TRIZ Innovation System Method with IPA-Kano Model Validation
by Kai-Chao Yao, Ya-Nan Chang, Li-Yun Chen, Kuo-Yi Li, Jing-Ran Xu, Wei-Sho Ho, Wei-Lun Huang, Cheng-Yang Chung and Yao-Ting Chen
Designs 2024, 8(6), 114; https://doi.org/10.3390/designs8060114 - 4 Nov 2024
Cited by 2 | Viewed by 2809
Abstract
This study investigates the innovative design of a bicycle saddle by incorporating sustainable ergonomics, universal design principles, and systematic innovation methods. Initially, the literature related to bicycle saddle design and its impact on the human body during riding was analyzed. The TRIZ contradiction [...] Read more.
This study investigates the innovative design of a bicycle saddle by incorporating sustainable ergonomics, universal design principles, and systematic innovation methods. Initially, the literature related to bicycle saddle design and its impact on the human body during riding was analyzed. The TRIZ contradiction matrix was then used to identify relevant invention principles, which served as references for the innovative design of the bicycle saddle. Biomechanics and the human–machine system analysis within human factors engineering were applied to ensure the innovative design is ergonomic and user-friendly. The design features a horizontally expandable and foldable bicycle saddle, enhancing its adaptability and sustainability. Universal design principles were applied to make the innovative design more accessible to the general public, and the prototype was simulated using Inventor drawing software. The research results include: (1) An innovative bicycle saddle design with horizontal expansion and folding functions is proposed. This design divides the saddle into three components, enabling the left and right parts to expand or retract based on user preferences. (2) A bicycle backrest design featuring vertical adjustability is introduced. It incorporates a quick-release adjustment mechanism at the junction of the backrest and saddle, allowing users to freely adjust the backrest height. (3) A quick-operation bicycle saddle design is presented, utilizing quick-release screws to facilitate the swift operation of the horizontal expansion and folding mechanisms. This validation method confirmed that the innovative design meets both sustainable ergonomic standards and user expectations. The systematic innovation approach used in this study can serve as a valuable reference for future research and design applications. Full article
Show Figures

Figure 1

17 pages, 1349 KB  
Article
The Impact of School Classroom Chair Depth and Height on Learning Tasks
by Hsiu-Feng Chen and Chih-Yung Tsai
Educ. Sci. 2024, 14(6), 661; https://doi.org/10.3390/educsci14060661 - 18 Jun 2024
Cited by 2 | Viewed by 7707
Abstract
The purpose of this study is to investigate the effect of the seating condition on learning tasks. This physical setting and these cognitive activities (that participants then test) are not the totality of education practice and context, but desks and chairs are important [...] Read more.
The purpose of this study is to investigate the effect of the seating condition on learning tasks. This physical setting and these cognitive activities (that participants then test) are not the totality of education practice and context, but desks and chairs are important physical elements for students to learn, because students always spend so much time learning at their seats. At present, the chairs purchased by the school have uniform specifications, so they cannot be customized. To provide students with more comfort, their sitting condition and backrest are commonly adjusted. This study investigated the effects of the sitting condition on the performance of short learning tasks that require high concentration, namely short-term number memorization, mathematical calculations, and logical judgment, through a two-way within-subjects design (seat depth and backrest height). Thirty adults over 20 years old, with visual acuity (including corrected visual acuity) greater than 0.7 and no history of musculoskeletal disease, participated in this experiment. The results indicated that seat depth and backrest height had an interaction effect on task performance. Sitting on the front third of a chair with a lower backrest produced excellent learning tasks outcomes; seat configuration may affect student performance on learning tasks. Thus, schools and educational institutions can try to require students to temporarily sit in this sitting condition to perform such tasks. In addition, schools can purchase chairs with a lower backrest and require that students use lumbar pads to adjust the seat depth to achieve superior learning task outcomes in classrooms. Full article
Show Figures

Figure 1

21 pages, 68460 KB  
Article
Optimization Study on the Comfort of Human-Seat Coupling System in the Cab of Construction Machinery
by Lei Cheng, Hansheng Wen, Xiangyu Ni, Chao Zhuang, Wenjian Zhang and Haibo Huang
Machines 2023, 11(1), 30; https://doi.org/10.3390/machines11010030 - 27 Dec 2022
Cited by 10 | Viewed by 3393
Abstract
The seat of a construction machinery cab is used as the research object. For the current human-seat coupling system comfort research methods and optimization index deficiencies, the seat body pressure comfort and vibration comfort at the same time optimized. Based on the more [...] Read more.
The seat of a construction machinery cab is used as the research object. For the current human-seat coupling system comfort research methods and optimization index deficiencies, the seat body pressure comfort and vibration comfort at the same time optimized. Based on the more specialized Toyota 50 percentile dummy model, a human-seat finite element simulation model is established, and the body pressure distribution and vibration response are simulated and calculated. The transverse and longitudinal pressure distributions of the backrest and seat cushion and the pressure map are used to verify the simulation model’s body pressure comfort evaluation indexes. At the same time, the vibration response test is used to verify the vibration comfort evaluation indexes of the simulation model. The test results show that the accuracy of each evaluation index of the established coupling model is greater than 85%, which can provide model support for the subsequent optimization work. In order to improve the comfort of the seat of construction machinery during operation, the hardness of the upper sponge and lower layer sponge is reduced and increased by 10% and 15%, respectively, on the original seat. The body pressure comfort evaluation indexes of the ischium peak pressure, ischium mean pressure, thigh peak pressure and thigh mean pressure are used to evaluate the improved seat. The proposed optimization scheme is to reduce the hardness of the upper sponge and lower layer sponge of the seat cushion by 10% to improve the seat body pressure comfort. Finally, the evaluation indexes of body pressure comfort and vibration comfort are verified by four subjects in an improved seat, and the cushion pressure of different subjects is reduced while the vibration isolation rate is increased, which shows the rationality of the proposed optimization scheme. In addition, the evaluation results of the improved seat are different for subjects of different body sizes, with the most significant improvement for the subject of greater height and weight. The modeling and comfort evaluation methods adopted in the paper can provide a reference for the design and development of the seat. Full article
(This article belongs to the Special Issue Noise and Vibration Control in Dynamic Systems)
Show Figures

Figure 1

13 pages, 2547 KB  
Article
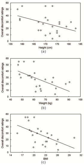
Subjective Preferences and Discomfort Ratings of Backrest and Seat Pan Adjustments at Various Speeds
by Jingdong Li and Yu Huang
Appl. Sci. 2021, 11(4), 1721; https://doi.org/10.3390/app11041721 - 15 Feb 2021
Cited by 4 | Viewed by 3570
Abstract
Power seats (i.e., electrically adjustable seats that can be designed to move in several ways) have become increasingly common in airplanes, vehicles, and offices. Many studies have investigated the effects of seat attitude parameters, for example, the inclined angles of a backrest, on [...] Read more.
Power seats (i.e., electrically adjustable seats that can be designed to move in several ways) have become increasingly common in airplanes, vehicles, and offices. Many studies have investigated the effects of seat attitude parameters, for example, the inclined angles of a backrest, on discomfort during the adjustment process. However, few studies have considered discomfort under different speeds during the adjustment process. In this study, we investigated discomfort with three speeds (i.e., “fast”, “median”, and “slow” corresponding to three durations of 15, 20, and 25 s, respectively) and two adjustments of a power seat, i.e., incline angle adjustment of the backrest and fore-and-aft position adjustment of the seat pan. We also investigated the effects of different physiological parameters on subjects’ discomfort. Twenty-four subjects (12 males and 12 females) completed a questionnaire to indicate their adjustment condition preferences, to rate their overall discomfort during the adjustment processes on a category-ratio scale, and to rate their local body discomfort. The majority of subjects preferred the fast speed adjustment condition and the trend was that a lower backrest adjustment speed increased discomfort during the process. The dominant local discomfort was in the upper and lower back regions during the backrest adjustment, whereas there was no obvious dominant local discomfort during the seat pan adjustment. The physiological parameters also had significant correlations with discomfort in some adjustment movements, for example, the discomfort was negatively correlated with height during the backrest adjustment. Full article
(This article belongs to the Section Mechanical Engineering)
Show Figures

Figure 1

15 pages, 2941 KB  
Article
Data-Driven Design Solution of a Mismatch Problem between the Specifications of the Multi-Function Console in a Jangbogo Class Submarine and the Anthropometric Dimensions of South Koreans Users
by Jihwan Lee, Namwoo Cho, Myung Hwan Yun and Yushin Lee
Appl. Sci. 2020, 10(1), 415; https://doi.org/10.3390/app10010415 - 6 Jan 2020
Cited by 5 | Viewed by 4906
Abstract
The naval multi-function console provides various types of information to the operator. It is equipment that is key for submarine navigation, and fatal human errors can occur due to the mismatch between the console specifications and the operator’s body size. This study proposes [...] Read more.
The naval multi-function console provides various types of information to the operator. It is equipment that is key for submarine navigation, and fatal human errors can occur due to the mismatch between the console specifications and the operator’s body size. This study proposes a method for deriving console specifications suitable for the body size of Korean users. The seat height, seat width, seat depth, upper edge of backrest, and worktable height were selected as the target design variables. Using six anthropometric dimensions, a mismatch equation for each target design variable was developed. Anthropometric measures of 2027 Korean males were obtained, and the optimal specifications of the console were derived via an algorithmic approach. As a result, the match rate, considering all the target design variables, was improved from 2.57% to 76.96%. In previous studies and standards, the optimal console specifications were suggested based on the anthropometric data of a specific percentile of users, and it was impossible to quantitatively confirm the suitability of the console design for the target users. However, the method used in this study calculated the match rate using the mismatch equation devised for comfortable use of the console and a large amount of anthropometric data that represented the user population, and therefore the improvement effect of the recommended specification can be directly identified when compared to the current specifications. Moreover, the methodology and results of this study could be used for deciding the specifications of multi-function consoles in several fields, including nuclear power plants or disaster situation rooms. Full article
(This article belongs to the Special Issue Computer-Aided Manufacturing and Design)
Show Figures

Figure 1

Back to TopTop