Sign in to use this feature.

Years

Between: -

Subjects

remove_circle_outline
remove_circle_outline
remove_circle_outline
remove_circle_outline
remove_circle_outline

Journals

Article Types

Countries / Regions

Search Results (11)

Search Parameters:
Keywords = anisotropy-based position estimation

Order results
Result details
Results per page
Select all
Export citation of selected articles as:
19 pages, 1164 KB  
Review
Addressing Real-World Localization Challenges in Wireless Sensor Networks: A Study of Swarm-Based Optimization Techniques
by Soumya J. Bhat and Santhosh Krishnan Venkata
Automation 2025, 6(3), 40; https://doi.org/10.3390/automation6030040 - 18 Aug 2025
Viewed by 657
Abstract
Wireless sensor networks (WSNs) have gained significant attention across various industries and scientific fields. Localization, a crucial aspect of WSNs, involves accurately determining node positions to track events and execute actions. Despite the development of numerous localization algorithms, real-world environments pose challenges such [...] Read more.
Wireless sensor networks (WSNs) have gained significant attention across various industries and scientific fields. Localization, a crucial aspect of WSNs, involves accurately determining node positions to track events and execute actions. Despite the development of numerous localization algorithms, real-world environments pose challenges such as anisotropy, noise, and faults. To improve accuracy amidst these complexities, researchers are increasingly adopting advanced methodologies, including soft computing, software-defined networking, maximum likelihood estimation, and optimization techniques. Our comprehensive review from 2020 to 2024 reveals that approximately 29% of localization solutions employ optimization techniques, 48% of which utilize nature-inspired swarm-based algorithms. These algorithms have proven effective for node localization in a variety of applications, including smart cities, seismic exploration, oil and gas reservoir monitoring, assisted living environments, forest monitoring, and battlefield surveillance. This underscores the importance of swarm intelligence algorithms in sensor node localization, prompting a detailed investigation in our study. Additionally, we provide a comparative analysis to elucidate the applicability of these algorithms to various localization challenges. This examination not only helps researchers understand current localization issues within WSNs but also paves the way for enhanced localization precision in the future. Full article
Show Figures

Figure 1

21 pages, 9617 KB  
Article
A Robot Error Prediction and Compensation Method Using Joint Weights Optimization Within Configuration Space
by Fantong Meng, Jinhua Wei, Qianyi Feng, Zhigang Dong, Renke Kang, Dongming Guo and Jiankun Yang
Appl. Sci. 2024, 14(24), 11682; https://doi.org/10.3390/app142411682 - 14 Dec 2024
Cited by 1 | Viewed by 2775
Abstract
With the growing demand for industrial robots in the aerospace manufacturing process, the lack of positioning accuracy has become a critical factor limiting their broad application in precision manufacturing. To enhance robot positioning accuracy, one crucial approach is to analyze the distribution patterns [...] Read more.
With the growing demand for industrial robots in the aerospace manufacturing process, the lack of positioning accuracy has become a critical factor limiting their broad application in precision manufacturing. To enhance robot positioning accuracy, one crucial approach is to analyze the distribution patterns of robot errors and leverage spatial similarity for error prediction and compensation. However, existing methods in Cartesian space struggle to achieve accurate error estimation when the robot is loaded or the end-effector orientations are varied. To address these challenges, a novel method for robot error prediction and accuracy compensation within configuration space is proposed. The analysis of robot error distribution reveals that the spatial similarity of robot errors is more pronounced and stable in configuration space compared to Cartesian space, and this property exhibits significant anisotropy across joint dimensions. A spatial-interpolation-based unbiased estimation method with joint weights optimization is proposed for robot errors prediction, and the particle filter method is utilized to search for the optimal joint weights, enhancing the anisotropic characteristics of the prediction model. Based on the robot error prediction model, a cyclic searching method is employed to directly compensate for the joint angles. An experimental system is established using an industrial robot equipped with a 120 kg end-effector and a laser tracker. Eighty sampling points with diverse poses are randomly selected within the task workspace to measure the robot errors before and after compensation. The proposed method achieves an error prediction accuracy of 0.172 mm, reducing the robot error from the original 4.96 mm to 0.28 mm, thus meeting the stringent accuracy requirements for hole machining in robotic aerospace assembly processes. Full article
Show Figures

Figure 1

21 pages, 15312 KB  
Article
Enhancing Leaf Area Index Estimation with MODIS BRDF Data by Optimizing Directional Observations and Integrating PROSAIL and Ross–Li Models
by Hu Zhang, Xiaoning Zhang, Lei Cui, Yadong Dong, Yan Liu, Qianrui Xi, Hongtao Cao, Lei Chen and Yi Lian
Remote Sens. 2023, 15(23), 5609; https://doi.org/10.3390/rs15235609 - 2 Dec 2023
Cited by 4 | Viewed by 3585
Abstract
The Leaf Area Index (LAI) is a crucial vegetation parameter for climate and ecological models. Reflectance anisotropy contains valuable supplementary information for the retrieval of properties of an observed target surface. Previous studies have utilized multi-angular reflectance data and physically based Bidirectional Reflectance [...] Read more.
The Leaf Area Index (LAI) is a crucial vegetation parameter for climate and ecological models. Reflectance anisotropy contains valuable supplementary information for the retrieval of properties of an observed target surface. Previous studies have utilized multi-angular reflectance data and physically based Bidirectional Reflectance Distribution Function (BRDF) models with detailed vegetation structure descriptions for LAI estimation. However, the optimal selection of viewing angles for improved inversion results has received limited attention. By optimizing directional observations and integrating the PROSAIL and Ross–Li models, this study aims to enhance LAI estimation from MODIS BRDF data. A dataset of 20,000 vegetation parameter combinations was utilized to identify the directions in which the PROSAIL model exhibits higher sensitivity to LAI changes and better consistency with the Ross–Li BRDF models. The results reveal significant variations in the sensitivity of the PROSAIL model to LAI changes and its consistency with the Ross–Li model over the viewing hemisphere. In the red band, directions with high sensitivity to LAI changes and strong model consistency are mainly found at smaller solar and viewing zenith angles. In the near-infrared band, these directions are distributed at positions with larger solar and viewing zenith angles. Validation using field measurements and LAI maps demonstrates that the proposed method achieves comparable accuracy to an algorithm utilizing 397 viewing angles by utilizing reflectance data from only 30 directions. Moreover, there is a significant improvement in computational efficiency. The accuracy of LAI estimation obtained from simulated multi-angle data is relatively high for LAI values below 3.5 when compared with the MODIS LAI product from two tiles. Additionally, there is also a slight improvement in the results when the LAI exceeds 4.5. Overall, our results highlight the potential of utilizing multi-angular reflectance in specific directions for vegetation parameter inversion, showcasing the promise of this method for large-scale LAI estimation. Full article
Show Figures

Figure 1

16 pages, 6490 KB  
Article
Structural and Morphological Features of Anisotropic Chitosan Hydrogels Obtained by Ion-Induced Neutralization in a Triethanolamine Medium
by Sergei L. Shmakov, Tatiana S. Babicheva, Valentina A. Kurochkina, Tatiana N. Lugovitskaya and Anna B. Shipovskaya
Gels 2023, 9(11), 876; https://doi.org/10.3390/gels9110876 - 4 Nov 2023
Cited by 1 | Viewed by 1919
Abstract
For the first time, anisotropic hydrogel material with a highly oriented structure was obtained by the chemical reaction of polymer-analogous transformation of chitosan glycolate—chitosan base using triethanolamine (TEA) as a neutralizing reagent. Tangential bands or concentric rings, depending on the reaction conditions, represent [...] Read more.
For the first time, anisotropic hydrogel material with a highly oriented structure was obtained by the chemical reaction of polymer-analogous transformation of chitosan glycolate—chitosan base using triethanolamine (TEA) as a neutralizing reagent. Tangential bands or concentric rings, depending on the reaction conditions, represent the structural anisotropy of the hydrogel. The formation kinetics and the ratio of the positions of these periodic structures are described by the Liesegang regularities. Detailed information about the bands is given (formation time, coordinate, width, height, and formation rate). The supramolecular ordering anisotropy of the resulting material was evaluated both by the number of Liesegang bands (up to 16) and by the average values of the TEA diffusion coefficient ((15–153) × 10−10 and (4–33) × 10−10 m2/s), corresponding to the initial and final phase of the experiment, respectively. The minimum chitosan concentration required to form a spatial gel network and, accordingly, a layered anisotropic structure was estimated as 1.5 g/dL. Morphological features of the structural anisotropic ordering of chitosan Liesegang structures are visualized by scanning electron microscopy. The hemocompatibility of the material obtained was tested, and its high sorption–desorption properties were evaluated using the example of loading–release of cholecalciferol (loading degree ~35–45%, 100% desorption within 25–28 h), which was observed for a hydrophobic substance inside a chitosan-based material for the first time. Full article
(This article belongs to the Special Issue Chitosan-Containing Hydrogels and Their Applications)
Show Figures

Graphical abstract

18 pages, 4175 KB  
Article
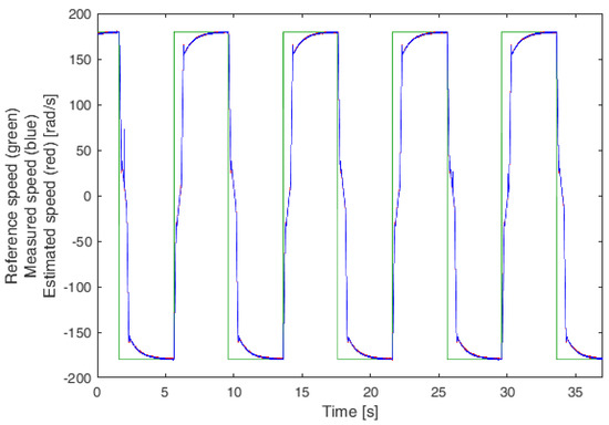
Design and Implementation of a Driving Strategy for Star-Connected Active Magnetic Bearings with Application to Sensorless Driving
by Romain Brasse, Jonah Vennemann, Niklas König, Matthias Nienhaus and Emanuele Grasso
Energies 2023, 16(1), 396; https://doi.org/10.3390/en16010396 - 29 Dec 2022
Cited by 5 | Viewed by 2011
Abstract
For decades, sensorless position estimation methods gained lots of interest from the research community, especially in the field of electric drives and active magnetic bearings (AMBs). In particular, the direct flux control (DFC) technique promises unique advantages over other sensorless techniques, such as [...] Read more.
For decades, sensorless position estimation methods gained lots of interest from the research community, especially in the field of electric drives and active magnetic bearings (AMBs). In particular, the direct flux control (DFC) technique promises unique advantages over other sensorless techniques, such as a higher bandwidth, but on the other hand, it requires the coils to be connected in a star topology. Until now, star-point connections are rarely found on active magnetic bearings. In consequence, there is no known publication about the application of the DFC to an AMB to this date. In order to apply the DFC to an AMB, a star-point driving approach for AMBs must be developed beforehand. A star-connected driving approach, capable of driving a four-phase AMB, is proposed and validated against traditional H-bridges in a simulation. Further, the strategy is tested in a physical application and generalised for 4n phases. In terms of current dynamics, the simulation results can be compared to the well-known full H-bridge driving. The experiments on the physical application show that the actual current in the coils follows a reference with satisfactory accuracy. Moreover, the inductance measurements of the coils show a strong dependency on the rotor’s position, which is crucial for sensorless operation. A star-point connection delivers a satisfying response behaviour in an AMB application, which makes sensorless techniques that require a star point, such as the DFC, applicable to active magnetic bearings. Full article
(This article belongs to the Section F3: Power Electronics)
Show Figures

Figure 1

11 pages, 2811 KB  
Article
State-Space Approach for SPMSM Sensorless Passive Algorithm Tuning
by Lorenzo Carbone, Simone Cosso, Mario Marchesoni, Massimiliano Passalacqua and Luis Vaccaro
Energies 2021, 14(21), 7180; https://doi.org/10.3390/en14217180 - 1 Nov 2021
Cited by 2 | Viewed by 1964
Abstract
Sensorless algorithms for Permanent Magnet Synchronous Motors (PMSM) have achieved increasing interest in the technical literature over the last few years. They can be divided into active methods and passive methods: the first inject high-frequency signals exploiting rotor anisotropy, whereas the second are [...] Read more.
Sensorless algorithms for Permanent Magnet Synchronous Motors (PMSM) have achieved increasing interest in the technical literature over the last few years. They can be divided into active methods and passive methods: the first inject high-frequency signals exploiting rotor anisotropy, whereas the second are based on observers. Recently, a sensorless control based on a rotor flux observer has been presented in the technical literature, which gives very accurate results in terms of rotor position estimation and robustness. In this paper, the aforementioned observer is considered and a procedure for choosing stabilizing gains of the observer is proposed. The contribution of the paper is three-fold: the mathematical modelling of the rotor flux observer, the methodology for the definition of the observer gains, and the presentation of the experimental results. Full article
Show Figures

Graphical abstract

23 pages, 13817 KB  
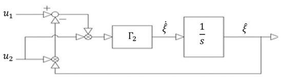
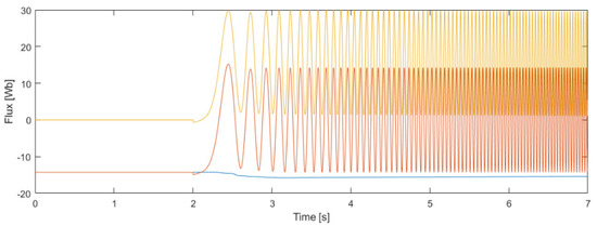
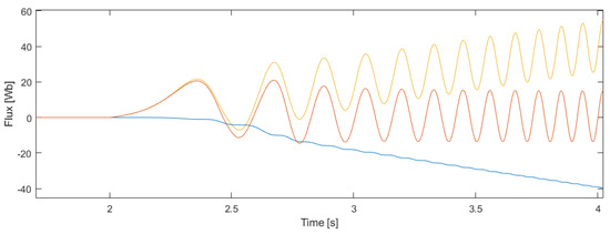
Article
Improvement of Position Estimation of PMSMs Using an Iterative Vector Decoupling Algorithm
by Stefano Fabbri, Klaus Schuhmacher, Matthias Nienhaus and Emanuele Grasso
Energies 2021, 14(1), 245; https://doi.org/10.3390/en14010245 - 5 Jan 2021
Cited by 1 | Viewed by 2571
Abstract
This paper presents an improvement of sensorless techniques based on anisotropy for the estimation of the electrical angular position of synchronous machines by means of an iterative algorithm. The presented method reduces the effect of the fourth saliency harmonics on the measured signals [...] Read more.
This paper presents an improvement of sensorless techniques based on anisotropy for the estimation of the electrical angular position of synchronous machines by means of an iterative algorithm. The presented method reduces the effect of the fourth saliency harmonics on the measured signals avoiding the use of an observer or filter, thus, no additional dynamics are introduced on the system. Instead, a static algorithm based on iterative steps is proposed, minimizing the angular position error. The algorithm is presented and applied using the DFC (Direct Flux Control) technique but it is not limited to this choice. The advantages and limitations of this method are presented within this paper. The proof of the algorithm convergence is given. Simulations and experimental tests are performed in order to prove the effectiveness of the proposed algorithm. Full article
Show Figures

Figure 1

21 pages, 10483 KB  
Article
Analysis of Ionospheric Disturbances Caused by the 2018 Bering Sea Meteor Explosion Based on GPS Observations
by Yiyong Luo, Yibin Yao and Lulu Shan
Sensors 2020, 20(11), 3201; https://doi.org/10.3390/s20113201 - 4 Jun 2020
Cited by 11 | Viewed by 3460
Abstract
The Bering Sea meteor explosion that occurred on 18 December 2018 provides a good opportunity to study the ionospheric disturbances caused by meteor explosions. Total electron content (TEC) is the core parameter of ionospheric analysis. TEC and its changes can be accurately estimated [...] Read more.
The Bering Sea meteor explosion that occurred on 18 December 2018 provides a good opportunity to study the ionospheric disturbances caused by meteor explosions. Total electron content (TEC) is the core parameter of ionospheric analysis. TEC and its changes can be accurately estimated based on the Global Positioning System (GPS). TID is detected in time and frequency domain based on power spectrum and Butterworth filtering method. By analyzing the waveform, period, wavelength, propagation speed and space-time distribution of TID, the location of the TID source is determined, and the process of TID formation and propagation is understood. The TID caused by meteor explosions has significant anisotropy characteristic. Two types of TID were found. For the first type, the average horizontal propagation velocity is 250.22 ± 5.98 m/s, the wavelength is ~135–240 km, the average period is about 12 min, and the propagation distance is less than 1400 km. About 8 min after the meteor explosion, the first type of TID source formed and propagated radially at the velocity of 250.22 ± 5.98 m/s. For the second type, the propagation velocity is ~434.02 m/s. According to the waveform, period, wavelength and propagation velocity of the TID, it is diagnosed to be the midscale traveling ionospheric disturbances (MSTID). Based on the characteristics of TID, we infer that the TID is excited by the gravity waves generated by the meteor explosion, which is in accordance with the propagation law of gravity waves in the ionosphere. And it is estimated that the average velocity of the up-going gravity waves is about 464.58 m/s. A simple model was established to explain the formation and the propagation of this TID, and to verify the characteristics of the TID propagation caused by nuclear explosion, earthquake, tsunami, and Chelyabinsk meteorite blast. It is estimated that the position of the TID source is consistent with the meteor explosion point, which further indicates that the TID is caused by the meteor explosion and propagates radially. Full article
(This article belongs to the Special Issue GNSS and Emerging Applications)
Show Figures

Figure 1

25 pages, 5903 KB  
Article
Estimating Peatland Water Table Depth and Net Ecosystem Exchange: A Comparison between Satellite and Airborne Imagery
by Margaret Kalacska, J. Pablo Arroyo-Mora, Raymond J. Soffer, Nigel T. Roulet, Tim R. Moore, Elyn Humphreys, George Leblanc, Oliver Lucanus and Deep Inamdar
Remote Sens. 2018, 10(5), 687; https://doi.org/10.3390/rs10050687 - 29 Apr 2018
Cited by 44 | Viewed by 9439
Abstract
Peatlands play a fundamental role in climate regulation through their long-term accumulation of atmospheric carbon. Despite their resilience, peatlands are vulnerable to climate change. Remote sensing offers the opportunity to better understand these ecosystems at large spatial scales through time. In this study, [...] Read more.
Peatlands play a fundamental role in climate regulation through their long-term accumulation of atmospheric carbon. Despite their resilience, peatlands are vulnerable to climate change. Remote sensing offers the opportunity to better understand these ecosystems at large spatial scales through time. In this study, we estimated water table depth from a 6-year time sequence of airborne shortwave infrared (SWIR) hyperspectral imagery. We found that the narrowband index NDWI1240 is a strong predictor of water table position. However, we illustrate the importance of considering peatland anisotropy on SWIR imagery from the summer months when the vascular plants are in full foliage, as not all illumination conditions are suitable for retrieving water table position. We also model net ecosystem exchange (NEE) from 10 years of Landsat TM5 imagery and from 4 years of Landsat OLI 8 imagery. Our results show the transferability of the model between imagery from sensors with similar spectral and radiometric properties such as Landsat 8 and Sentinel-2. NEE modeled from airborne hyperspectral imagery more closely correlated to eddy covariance tower measurements than did models based on satellite images. With fine spectral, spatial and radiometric resolutions, new generation satellite imagery and airborne hyperspectral imagery allow for monitoring the response of peatlands to both allogenic and autogenic factors. Full article
(This article belongs to the Special Issue Remote Sensing of Peatlands)
Show Figures

Graphical abstract

17 pages, 9953 KB  
Article
Influence of Chitosan Ascorbate Chirality on the Gelation Kinetics and Properties of Silicon-Chitosan-Containing Glycerohydrogels
by Natalia O. Gegel, Yulia Yu. Zhuravleva, Anna B. Shipovskaya, Olga N. Malinkina and Irina V. Zudina
Polymers 2018, 10(3), 259; https://doi.org/10.3390/polym10030259 - 2 Mar 2018
Cited by 27 | Viewed by 5546
Abstract
The influence of the chirality of chitosan ascorbate on the gelation kinetics and the properties of hybrid silicon-chitosan-containing glycerohydrogels were studied with a deep estimation of the stereospecificity of chitosan polysalts with l- and d-ascorbic acid diastereomers and their biological effects. [...] Read more.
The influence of the chirality of chitosan ascorbate on the gelation kinetics and the properties of hybrid silicon-chitosan-containing glycerohydrogels were studied with a deep estimation of the stereospecificity of chitosan polysalts with l- and d-ascorbic acid diastereomers and their biological effects. It has been established that l- and d-diastereomerically enriched chitosan ascorbates are characterized by a positive Cotton effect and differ in the wavelength of the maximum of the dichroic band (250 and 240 nm), as well as in the values of its specific ellipticity (21.8 × 105 and 39.2 × 105 deg·mL·dm−1·g−1), the sign of specific optical rotation (+ and −), the type of dispersion curves (anomalous and smooth), as well as the condensed phase morphology (anisodiametric particles with optical anisotropy and confocal domains of spherical shape, respectively). In the biomimetic sol-gel synthesis of silicon-chitosan-containing glycerohydrogels using silicon tetraglycerolate as a precursor, it was found that chitosan d-ascorbate retarded gelation. Thin congruent plates obtained from the corresponding glycerohydrogels based on chitosan d-ascorbate have higher mechanical strength and elasticity under uniaxial stretching and lower values of Young’s modulus. It has been shown that the systems based on chitosan d-ascorbate show the greatest antibacterial activity against Staphylococcus aureus 209P and Escherichia coli 113-13 and significantly promote the viability of normal human dermal fibroblasts. The results of our assessment of the biological properties of chitosan polysalts are unexpected, since ascorbic acid exhibits biological activity as its l-isomer only. Full article
(This article belongs to the Collection Polysaccharides)
Show Figures

Graphical abstract

27 pages, 10114 KB  
Article
Uncertainty in Terrestrial Laser Scanner Surveys of Landslides
by Maurizio Barbarella, Margherita Fiani and Andrea Lugli
Remote Sens. 2017, 9(2), 113; https://doi.org/10.3390/rs9020113 - 29 Jan 2017
Cited by 22 | Viewed by 8422
Abstract
Terrestrial laser scanning (TLS) is a relatively new, versatile, and efficient technology for landslide monitoring. The evaluation of uncertainty of the surveyed data is not trivial because the final accuracy of the point position is unknown. An a priori evaluation of the accuracy [...] Read more.
Terrestrial laser scanning (TLS) is a relatively new, versatile, and efficient technology for landslide monitoring. The evaluation of uncertainty of the surveyed data is not trivial because the final accuracy of the point position is unknown. An a priori evaluation of the accuracy of the observed points can be made based on both the footprint size and of the resolution, as well as in terms of effective instantaneous field of view (EIFOV). Such evaluations are surely helpful for a good survey design, but the further operations, such as cloud co-registration, georeferencing and editing, digital elevation model (DEM) creation, and so on, cause uncertainty which is difficult to evaluate. An assessment of the quality of the survey can be made evaluating the goodness of fit between the georeferenced point cloud and the terrain model built using it. In this article, we have considered a typical survey of a landsliding slope. We have presented an a priori quantitative assessment and we eventually analyzed how good the comparison is of the computed point cloud to the actual ground points. We have used the method of cross-validation to eventually suggest the use of a robust parameter for estimating the reliability of the fitting procedure. This statistic can be considered for comparing methods and parameters used to interpolate the DEM. Using kriging allows one to account for the spatial distribution of the data (including the typical anisotropy of the survey of a slope) and to obtain a map of the uncertainties over the height of the grid nodes. This map can be used to compute the estimated error over the DEM-derived quantities, and also represents an “objective” definition of the area of the survey that can be trusted for further use. Full article
(This article belongs to the Special Issue Uncertainties in Remote Sensing)
Show Figures

Graphical abstract

Back to TopTop