Sign in to use this feature.

Years

Between: -

Subjects

remove_circle_outline
remove_circle_outline
remove_circle_outline

Journals

Article Types

Countries / Regions

Search Results (8)

Search Parameters:
Keywords = Triapine

Order results
Result details
Results per page
Select all
Export citation of selected articles as:
14 pages, 581 KB  
Article
Synthesis, In Vitro Antitumor Activity, and In Silico ADMET Evaluation of β-Lapachone-Based Thiosemicarbazones
by Elizabete Silva de Sousa, Edilane Almeida da Silva, Délis Galvão Guimarães, Ingrid Louise Santos de Souza, Arlan de Assis Gonsalves, Paulo Michel Pinheiro Ferreira, Rayran Walter Ramos de Sousa, Marcília Pinheiro da Costa and Cleônia Roberta Melo Araújo
Drugs Drug Candidates 2026, 5(1), 1; https://doi.org/10.3390/ddc5010001 - 21 Dec 2025
Viewed by 467
Abstract
Background/Objectives: β-Lapachone and triapine are compounds with recognized antitumor potential—the former is an ortho-naphthoquinone, and the latter a thiosemicarbazone inhibitor of ribonucleotide reductase. This study aimed to synthesize and evaluate new β-lapachone-based thiosemicarbazones (TSC1TSC6) as potential antineoplastic [...] Read more.
Background/Objectives: β-Lapachone and triapine are compounds with recognized antitumor potential—the former is an ortho-naphthoquinone, and the latter a thiosemicarbazone inhibitor of ribonucleotide reductase. This study aimed to synthesize and evaluate new β-lapachone-based thiosemicarbazones (TSC1TSC6) as potential antineoplastic agents. Methods: Lapachol was isolated from Tabebuia sp. and used to obtain ortho-naphthoquinones (24), which served as precursors for thiosemicarbazones (TSC1TSC6). NMR and HRMS spectra were used to characterize the compounds. Their cytotoxic activity was evaluated in vitro against murine melanoma (B16–F10), colon carcinoma (CT26.WT), and breast cancer (4T1) cell lines, as well as normal fibroblasts (L929). Pharmacokinetic parameters were predicted in silico using ADMETLab 3.0. Results: β-Lapachone exhibited strong cytotoxicity toward tumor cells with moderate effects on normal cells, while thiosemicarbazones of β-lapachone, TSC1, and TSC3 demonstrated lower potency but greater selectivity. The β-lapachone-3-sulfonic acid showed high activity against melanoma and breast cancer cells and low toxicity toward normal cells, indicating tumor selectivity. In contrast, their thiosemicarbazones, TSC2, TSC4, and TSC6, showed weak or no antiproliferative activity. The 3-iodo-β-lapachone was cytotoxic to both tumor and normal cells, whereas its derivative TSC5 demonstrated moderate activity with reduced toxicity. β-Lapachone, β-lapachone-3-sulfonic acid, TSC1, and TSC3 exhibited favorable ADME profiles (QED ≈ 0.61–0.66), suggesting good oral bioavailability. Conclusions: The β-lapachone-3-sulfonic acid and the β-lapachone-based thiosemicarbazones TSC1 and TSC3 emerged as promising lead candidates, combining tumor selectivity, favorable pharmacokinetic properties, and structural innovation for the development of safer and more effective antineoplastic agents. Full article
(This article belongs to the Section Medicinal Chemistry and Preliminary Screening)
Show Figures

Graphical abstract

27 pages, 3598 KB  
Article
Thiosemicarbazone Derivatives Developed to Overcome COTI-2 Resistance
by Vivien Pósa, Alessia Stefanelli, Julia H. Bormio Nunes, Sonja Hager, Marlene Mathuber, Nóra V. May, Walter Berger, Bernhard K. Keppler, Christian R. Kowol, Éva A. Enyedy and Petra Heffeter
Cancers 2022, 14(18), 4455; https://doi.org/10.3390/cancers14184455 - 14 Sep 2022
Cited by 24 | Viewed by 6794
Abstract
COTI-2 is currently being evaluated in a phase I clinical trial for the treatment of gynecological and other solid cancers. As a thiosemicarbazone, this compound contains an N,N,S-chelating moiety and is, therefore, expected to bind endogenous metal ions. However, besides zinc, the metal [...] Read more.
COTI-2 is currently being evaluated in a phase I clinical trial for the treatment of gynecological and other solid cancers. As a thiosemicarbazone, this compound contains an N,N,S-chelating moiety and is, therefore, expected to bind endogenous metal ions. However, besides zinc, the metal interaction properties of COTI-2 have not been investigated in detail so far. This is unexpected, as we have recently shown that COTI-2 forms stable ternary complexes with copper and glutathione, which renders this drug a substrate for the resistance efflux transporter ABCC1. Herein, the complex formation of COTI-2, two novel terminal N-disubstituted derivatives (COTI-NMe2 and COTI-NMeCy), and the non-substituted analogue (COTI-NH2) with iron, copper, and zinc ions was characterized in detail. Furthermore, their activities against drug-resistant cancer cells was investigated in comparison to COTI-2 and Triapine. These data revealed that, besides zinc, also iron and copper ions need to be considered to play a role in the mode of action and resistance development of these thiosemicarbazones. Moreover, we identified COTI-NMe2 as an interesting new drug candidate with improved anticancer activity and resistance profile. Full article
Show Figures

Figure 1

32 pages, 9181 KB  
Review
Inhibitors of the Cancer Target Ribonucleotide Reductase, Past and Present
by Sarah E. Huff, Jordan M. Winter and Chris G. Dealwis
Biomolecules 2022, 12(6), 815; https://doi.org/10.3390/biom12060815 - 10 Jun 2022
Cited by 40 | Viewed by 8416
Abstract
Ribonucleotide reductase (RR) is an essential multi-subunit enzyme found in all living organisms; it catalyzes the rate-limiting step in dNTP synthesis, namely, the conversion of ribonucleoside diphosphates to deoxyribonucleoside diphosphates. As expression levels of human RR (hRR) are high during cell replication, hRR [...] Read more.
Ribonucleotide reductase (RR) is an essential multi-subunit enzyme found in all living organisms; it catalyzes the rate-limiting step in dNTP synthesis, namely, the conversion of ribonucleoside diphosphates to deoxyribonucleoside diphosphates. As expression levels of human RR (hRR) are high during cell replication, hRR has long been considered an attractive drug target for a range of proliferative diseases, including cancer. While there are many excellent reviews regarding the structure, function, and clinical importance of hRR, recent years have seen an increase in novel approaches to inhibiting hRR that merit an updated discussion of the existing inhibitors and strategies to target this enzyme. In this review, we discuss the mechanisms and clinical applications of classic nucleoside analog inhibitors of hRRM1 (large catalytic subunit), including gemcitabine and clofarabine, as well as inhibitors of the hRRM2 (free radical housing small subunit), including triapine and hydroxyurea. Additionally, we discuss novel approaches to targeting RR and the discovery of new classes of hRR inhibitors. Full article
Show Figures

Figure 1

29 pages, 4611 KB  
Review
Mechanistic Insights of Chelator Complexes with Essential Transition Metals: Antioxidant/Pro-Oxidant Activity and Applications in Medicine
by Viktor A. Timoshnikov, Olga Yu. Selyutina, Nikolay E. Polyakov, Victoria Didichenko and George J. Kontoghiorghes
Int. J. Mol. Sci. 2022, 23(3), 1247; https://doi.org/10.3390/ijms23031247 - 23 Jan 2022
Cited by 73 | Viewed by 8510
Abstract
The antioxidant/pro-oxidant activity of drugs and dietary molecules and their role in the maintenance of redox homeostasis, as well as the implications in health and different diseases, have not yet been fully evaluated. In particular, the redox activity and other interactions of drugs [...] Read more.
The antioxidant/pro-oxidant activity of drugs and dietary molecules and their role in the maintenance of redox homeostasis, as well as the implications in health and different diseases, have not yet been fully evaluated. In particular, the redox activity and other interactions of drugs with essential redox metal ions, such as iron and copper, need further investigation. These metal ions are ubiquitous in human nutrition but also widely found in dietary supplements and appear to exert major effects on redox homeostasis in health, but also on many diseases of free radical pathology. In this context, the redox mechanistic insights of mainly three prototype groups of drugs, namely alpha-ketohydroxypyridines (alpha-hydroxypyridones), e.g., deferiprone, anthraquinones, e.g., doxorubicin and thiosemicarbazones, e.g., triapine and their metal complexes were examined; details of the mechanisms of their redox activity were reviewed, with emphasis on the biological implications and potential clinical applications, including anticancer activity. Furthermore, the redox properties of these three classes of chelators were compared to those of the iron chelating drugs and also to vitamin C, with an emphasis on their potential clinical interactions and future clinical application prospects in cancer, neurodegenerative and other diseases. Full article
(This article belongs to the Special Issue Advances on Chelation and Chelator Metal Complexes in Medicine)
Show Figures

Figure 1

24 pages, 13108 KB  
Article
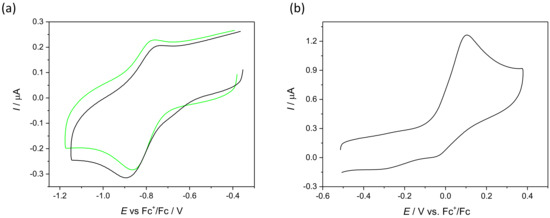
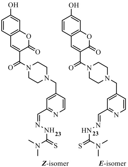
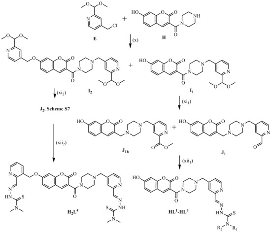
Coumarin-Based Triapine Derivatives and Their Copper(II) Complexes: Synthesis, Cytotoxicity and mR2 RNR Inhibition Activity
by Iryna Stepanenko, Maria V. Babak, Gabriella Spengler, Marta Hammerstad, Ana Popovic-Bijelic, Sergiu Shova, Gabriel E. Büchel, Denisa Darvasiova, Peter Rapta and Vladimir B. Arion
Biomolecules 2021, 11(6), 862; https://doi.org/10.3390/biom11060862 - 9 Jun 2021
Cited by 15 | Viewed by 5180
Abstract
A series of thiosemicarbazone-coumarin hybrids (HL1-HL3 and H2L4) has been synthesised in 12 steps and used for the preparation of mono- and dinuclear copper(II) complexes, namely Cu(HL1)Cl2 (1), Cu(HL2 [...] Read more.
A series of thiosemicarbazone-coumarin hybrids (HL1-HL3 and H2L4) has been synthesised in 12 steps and used for the preparation of mono- and dinuclear copper(II) complexes, namely Cu(HL1)Cl2 (1), Cu(HL2)Cl2 (2), Cu(HL3)Cl2 (3) and Cu2(H2L4)Cl4 (4), isolated in hydrated or solvated forms. Both the organic hybrids and their copper(II) and dicopper(II) complexes were comprehensively characterised by analytical and spectroscopic techniques, i.e., elemental analysis, ESI mass spectrometry, 1D and 2D NMR, IR and UV–vis spectroscopies, cyclic voltammetry (CV) and spectroelectrochemistry (SEC). Re-crystallisation of 1 from methanol afforded single crystals of copper(II) complex with monoanionic ligand Cu(L1)Cl, which could be studied by single crystal X-ray diffraction (SC-XRD). The prepared copper(II) complexes and their metal-free ligands revealed antiproliferative activity against highly resistant cancer cell lines, including triple negative breast cancer cells MDA-MB-231, sensitive COLO-205 and multidrug resistant COLO-320 colorectal adenocarcinoma cell lines, as well as in healthy human lung fibroblasts MRC-5 and compared to those for triapine and doxorubicin. In addition, their ability to reduce the tyrosyl radical in mouse R2 protein of ribonucleotide reductase has been ascertained by EPR spectroscopy and the results were compared with those for triapine. Full article
Show Figures

Figure 1

15 pages, 5507 KB  
Article
Binding Models of Copper(II) Thiosemicarbazone Complexes with Human Serum Albumin: A Speciation Study
by Nóra V. May, Attila Jancsó and Éva A. Enyedy
Molecules 2021, 26(9), 2711; https://doi.org/10.3390/molecules26092711 - 5 May 2021
Cited by 11 | Viewed by 4631
Abstract
Copper(II) complexes of thiosemicarbazones (TSCs) often exhibit anticancer properties, and their pharmacokinetic behavior can be affected by their interaction with blood transport proteins. Interaction of copper(II) complexes of an {N,N,S} donor α-N-pyridyl TSC (Triapine) and an {O,N,S} donor 2-hydroxybenzaldehyde TSC (STSC) [...] Read more.
Copper(II) complexes of thiosemicarbazones (TSCs) often exhibit anticancer properties, and their pharmacokinetic behavior can be affected by their interaction with blood transport proteins. Interaction of copper(II) complexes of an {N,N,S} donor α-N-pyridyl TSC (Triapine) and an {O,N,S} donor 2-hydroxybenzaldehyde TSC (STSC) with human serum albumin (HSA) was investigated by UV–visible and electron paramagnetic resonance spectroscopy at physiological pH. Asp-Ala-His-Lys and the monodentate N-methylimidazole were also applied as binding models. Conditional formation constants were determined for the ternary copper(II)-TSC complexes formed with HSA, DAHK, and N-methylimidazole based on the spectral changes of both charge transfer and d-d bands. The neutral N-methylimidazole displays a similar binding affinity to both TSC complexes. The partially negatively charged tetrapeptide binds stronger to the positively charged Triapine complex in comparison to the neutral STSC complex, while the opposite trend was observed for HSA, which demonstrates the limitations of the use of simple ligands to model the protein binding. The studied TSC complexes are able to bind to HSA in a fast process, and the conditional constants suggest that their binding strength is only weak-to-moderate. Full article
Show Figures

Figure 1

22 pages, 3882 KB  
Article
Triapine Derivatives Act as Copper Delivery Vehicles to Induce Deadly Metal Overload in Cancer Cells
by Kateryna Ohui, Iryna Stepanenko, Iuliana Besleaga, Maria V. Babak, Radu Stafi, Denisa Darvasiova, Gerald Giester, Vivien Pósa, Eva A. Enyedy, Daniel Vegh, Peter Rapta, Wee Han Ang, Ana Popović-Bijelić and Vladimir B. Arion
Biomolecules 2020, 10(9), 1336; https://doi.org/10.3390/biom10091336 - 19 Sep 2020
Cited by 16 | Viewed by 6214
Abstract
Thiosemicarbazones continue to attract the interest of researchers as potential anticancer drugs. For example, 3-aminopyridine-2-carboxaldehyde thiosemicarbazone, or triapine, is the most well-known representative of this class of compounds that has entered multiple phase I and II clinical trials. Two new triapine derivatives HL [...] Read more.
Thiosemicarbazones continue to attract the interest of researchers as potential anticancer drugs. For example, 3-aminopyridine-2-carboxaldehyde thiosemicarbazone, or triapine, is the most well-known representative of this class of compounds that has entered multiple phase I and II clinical trials. Two new triapine derivatives HL1 and HL2 were prepared by condensation reactions of 2-pyridinamidrazone and S-methylisothiosemicarbazidium chloride with 3-N-(tert-butyloxycarbonyl) amino-pyridine-2-carboxaldehyde, followed by a Boc-deprotection procedure. Subsequent reaction of HL1 and HL2 with CuCl2·2H2O in 1:1 molar ratio in methanol produced the complexes [CuII(HL1)Cl2]·H2O (1·H2O) and [CuII(HL2)Cl2] (2). The reaction of HL2 with Fe(NO3)3∙9H2O in 2:1 molar ratio in the presence of triethylamine afforded the complex [FeIII(L2)2]NO3∙0.75H2O (3∙0.75H2O), in which the isothiosemicarbazone acts as a tridentate monoanionic ligand. The crystal structures of HL1, HL2 and metal complexes 1 and 2 were determined by single crystal X-ray diffraction. The UV-Vis and EPR spectroelectrochemical measurements revealed that complexes 1 and 2 underwent irreversible reduction of Cu(II) with subsequent ligand release, while 3 showed an almost reversible electrochemical reduction in dimethyl sulfoxide (DMSO). Aqueous solution behaviour of HL1 and 1, as well as of HL2 and its complex 2, was monitored as well. Complexes 13 were tested against ovarian carcinoma cells, as well as noncancerous embryonic kidney cells, in comparison to respective free ligands, triapine and cisplatin. While the free ligands HL1 and HL2 were devoid of antiproliferative activity, their respective metal complexes showed remarkable antiproliferative activity in a micromolar concentration range. The activity was not related to the inhibition of ribonucleotide reductase (RNR) R2 protein, but rather to cancer cell homeostasis disturbance—leading to the disruption of cancer cell signalling. Full article
(This article belongs to the Section Molecular Biology)
Show Figures

Graphical abstract

8 pages, 7781 KB  
Opinion
Concentration of Fe(3+)-Triapine in BEAS-2B Cells
by William E. Antholine and Charles R. Myers
Int. J. Mol. Sci. 2019, 20(12), 3062; https://doi.org/10.3390/ijms20123062 - 22 Jun 2019
Cited by 3 | Viewed by 3351
Abstract
An electron paramagnetic resonance (EPR) method was used to determine the concentration of the antitumor agent Triapine in BEAS-2B cells when Triapine was bound to iron (Fe). Knowledge of the concentration of Fe-Triapine in tumor cells may be useful to adjust the administration [...] Read more.
An electron paramagnetic resonance (EPR) method was used to determine the concentration of the antitumor agent Triapine in BEAS-2B cells when Triapine was bound to iron (Fe). Knowledge of the concentration of Fe-Triapine in tumor cells may be useful to adjust the administration of the drug or to adjust iron uptake in tumor cells. An EPR spectrum is obtained for Fe(3+)-Triapine, Fe(3+)(Tp)2+, in BEAS-2B cells after addition of Fe(3+)(Tp)2+. Detection of the low spin signal for Fe(3+)(Tp)2+ shows that the Fe(3+)(Tp)2+ complex is intact in these cells. It is proposed that Triapine acquires iron from transferrin in cells including tumor cells. Here, it is shown that iron from purified Fe-transferrin is transferred to Triapine after the addition of ascorbate. To our knowledge, this is the first time that the EPR method has been used to determine the concentration of an iron antitumor agent in cells. Full article
Show Figures

Graphical abstract

Back to TopTop