Sign in to use this feature.

Years

Between: -

Subjects

remove_circle_outline
remove_circle_outline
remove_circle_outline
remove_circle_outline
remove_circle_outline
remove_circle_outline
remove_circle_outline

Journals

Article Types

Countries / Regions

Search Results (11)

Search Parameters:
Keywords = Seliciclib

Order results
Result details
Results per page
Select all
Export citation of selected articles as:
19 pages, 3804 KB  
Article
Peptide-Engineered Seliciclib Nanomedicine for Brain-Targeted Delivery and Neuroprotection
by Guan Zhen He and Wen Jen Lin
Int. J. Mol. Sci. 2025, 26(12), 5768; https://doi.org/10.3390/ijms26125768 - 16 Jun 2025
Viewed by 811
Abstract
Seliciclib, a cyclin-dependent kinase 5 (CDK5) inhibitor, has demonstrated neuroprotective potential. However, its therapeutic application is limited by poor permeability across the blood–brain barrier (BBB). In this study, polymeric nanoparticles (NPs) modified with a BBB-targeting peptide ligand (His-Ala-Ile-Tyr-Pro-Arg-His) were employed to encapsulate seliciclib. [...] Read more.
Seliciclib, a cyclin-dependent kinase 5 (CDK5) inhibitor, has demonstrated neuroprotective potential. However, its therapeutic application is limited by poor permeability across the blood–brain barrier (BBB). In this study, polymeric nanoparticles (NPs) modified with a BBB-targeting peptide ligand (His-Ala-Ile-Tyr-Pro-Arg-His) were employed to encapsulate seliciclib. In vitro transport studies showed that the peptide-modified NPs exhibited significantly greater translocation across a bEnd.3 cell monolayer compared to unmodified NPs. Furthermore, in vivo biodistribution analysis revealed that the brain accumulation of peptide-modified NPs was 3.38-fold higher than that of unmodified NPs. Notably, the peptide-conjugated, seliciclib-loaded NPs demonstrated a significant neuroprotective effect against the neurotoxin 1-methyl-4-phenylpyridinium (MPP⁺) in differentiated SH-SY5Y cells. Full article
(This article belongs to the Special Issue Multifunctional Nanocomposites for Bioapplications)
Show Figures

Figure 1

28 pages, 14266 KB  
Article
Identification of CDK1 as a Biomarker for the Treatment of Liver Fibrosis and Hepatocellular Carcinoma Through Bioinformatics Analysis
by Jiayi Qin and Zhuan Li
Int. J. Mol. Sci. 2025, 26(8), 3816; https://doi.org/10.3390/ijms26083816 - 17 Apr 2025
Cited by 3 | Viewed by 2495
Abstract
Cyclin-dependent kinase 1 (CDK1) has emerged as a critical regulator of cell cycle progression, yet its role in liver fibrosis-associated hepatocellular carcinoma (LF-HCC) remains underexplored. This study aimed to systematically evaluate CDK1’s prognostic significance, immune regulatory functions, and therapeutic potential in LF-HCC pathogenesis. [...] Read more.
Cyclin-dependent kinase 1 (CDK1) has emerged as a critical regulator of cell cycle progression, yet its role in liver fibrosis-associated hepatocellular carcinoma (LF-HCC) remains underexplored. This study aimed to systematically evaluate CDK1’s prognostic significance, immune regulatory functions, and therapeutic potential in LF-HCC pathogenesis. Integrated bioinformatics approaches were applied to multi-omics datasets from GEO, TCGA, and TIMER databases. Differentially expressed genes were identified through enrichment analysis and protein–protein interaction networks. Survival outcomes were assessed via Kaplan–Meier analysis, while immune cell infiltration patterns were quantified using CIBERSORT. Molecular docking simulations evaluated CDK1’s binding affinity with pharmacologically active compounds (alvocidib, seliciclib, alsterpaullone) using AutoDock Vina. CDK1 demonstrated significant overexpression in LF-HCC tissues compared to normal controls (p < 0.001). Elevated CDK1 expression correlated with reduced overall survival (HR = 2.41, 95% CI:1.78–3.26, p = 0.003) and advanced tumor staging (p = 0.007). Immune profiling revealed strong associations between CDK1 levels and immunosuppressive cell infiltration, particularly regulatory T cells (r = 0.63, p = 0.001) and myeloid-derived suppressor cells (r = 0.58, p = 0.004). Molecular docking confirmed high-affinity binding of CDK1 to kinase inhibitors through conserved hydrogen-bond interactions (binding energy ≤ −8.5 kcal/mol), with alvocidib showing optimal binding stability. This multimodal analysis establishes CDK1 as both a prognostic biomarker and immunomodulatory regulator in LF-HCC pathogenesis. The enzyme’s dual role in driving tumor progression and reshaping the immune microenvironment positions it as a promising therapeutic target. Computational validation of CDK1 inhibitors provides a rational basis for developing precision therapies against LF-HCC, bridging translational gaps between biomarker discovery and clinical application. Full article
(This article belongs to the Special Issue Advancements in Cancer Biomarkers)
Show Figures

Figure 1

16 pages, 1493 KB  
Article
Development and Validation of a New Eco-Friendly HPLC-PDA Bioanalytical Method for Studying Pharmacokinetics of Seliciclib
by Reem M. Abuhejail, Nourah Z. Alzoman and Ibrahim A. Darwish
Medicina 2024, 60(10), 1686; https://doi.org/10.3390/medicina60101686 - 14 Oct 2024
Cited by 1 | Viewed by 2508
Abstract
Background and Objectives: Seliciclib (SEL) is the first selective, orally bioavailable potential drug containing cyclin-dependent kinase inhibitors. Preclinical studies showed antitumor activity in a broad range of human tumor xenografts, neurodegenerative diseases, renal dysfunctions, viral infections, and chronic inflammatory disorders. To support the [...] Read more.
Background and Objectives: Seliciclib (SEL) is the first selective, orally bioavailable potential drug containing cyclin-dependent kinase inhibitors. Preclinical studies showed antitumor activity in a broad range of human tumor xenografts, neurodegenerative diseases, renal dysfunctions, viral infections, and chronic inflammatory disorders. To support the pharmacokinetics and aid in therapeutic monitoring of SEL following its administration for therapy, an efficient analytical tool capable of quantifying the concentrations of SEL in blood plasma is needed. In the literature, there is no existing method for quantifying SEL in plasma samples. This study introduces the first HPLC method with a photodiode array (PDA) detector for the quantitation of SEL in plasma. Materials and Methods: The chromatographic resolution of SEL and linifanib as an internal standard (IS) was achieved on Zorbax Eclipse Plus C18 HPLC column (150 mm length × 4.6 mm internal diameter, 5 µm particle size), with a mobile phase composed of acetonitrile–ammonium acetate, pH 5 (50:50, v/v) at a flow rate of 1.0 mL min−1. Both SEL and IS were detected by PDA at 230 nm. The method was validated according to the ICH guidelines for bioanalytical method validation. Results: The method exhibited linearity in concentrations ranging from 50 to 1000 ng mL−1, with a limit of quantitation of 66.1 ng mL−1. All remaining validation parameters satisfied the ICH validation criteria. The environmental sustainability of the method was verified using three extensive tools. The proposed HPLC-PDA method was effectively utilized to study the pharmacokinetics of SEL in rats after a single oral administration of 25 mg/kg. Conclusions: The proposed method stands as a valuable tool for studying SELs for pharmacokinetics in humans. It aids in achieving the targeted therapeutic advantages and safety of treatment with SEL by optimizing the SEL dosage and dosing schedule. Full article
(This article belongs to the Section Pharmacology)
Show Figures

Figure 1

17 pages, 1608 KB  
Article
A Simple Eco-Friendly HPLC-PDA Method for the Simultaneous Determination of Paclitaxel and Seliciclib in Plasma Samples for Assessing Their Pharmacodynamics and Pharmacokinetics in Combination Therapy for Uterine Sarcoma
by Amsha S. Alsegiani, Sarah Alrubia and Ibrahim A. Darwish
Medicina 2024, 60(10), 1601; https://doi.org/10.3390/medicina60101601 - 29 Sep 2024
Cited by 2 | Viewed by 1898
Abstract
Background/Objectives: Uterine sarcoma, a rare cancer originating in the smooth muscle of the uterus, exhibits high rates of recurrence and metastasis. It represents one of the most challenging types of cancer due to its chemorefractory nature, showing little response to conventional chemotherapy [...] Read more.
Background/Objectives: Uterine sarcoma, a rare cancer originating in the smooth muscle of the uterus, exhibits high rates of recurrence and metastasis. It represents one of the most challenging types of cancer due to its chemorefractory nature, showing little response to conventional chemotherapy methods and displaying a relative survival rate of 30–40%. A potentially promising approach for treating uterine sarcoma involves combination therapy with paclitaxel (PAC), a microtubule-targeting agent, and seliciclib (SEL), a cyclin-dependent kinase inhibitor. SEL has been identified as a drug that can enhance the effectiveness of PAC through synergistic effects. To further refine this treatment strategy, an efficient analytical tool capable of simultaneously measuring the concentrations of PAC and SEL in blood plasma is needed. This tool would make it easier to study the pharmacokinetic interactions of potential drugs and assist in monitoring therapy when administering this combination treatment. Regrettably, a method meeting these specific requirements has not been documented in the existing literature. Methods: This article introduces the first HPLC technique employing a PDA detector to concurrently measure PAC and SEL levels in plasma. The methodology underwent validation in accordance with the ICH standards for validating bioanalytical methods. Results: The method exhibited linearity in the concentrations ranging from 0.8 to 100 µg mL−1 for both PAC and SEL. The limits of quantification were determined and found to be 1.34 and 1.25 µg mL−1 for PAC and SEL, respectively. All the other validation criteria conformed to the ICH validation standards. The HPLC-PDA method was successfully employed to quantify both PAC and SEL in plasma samples with a high level of reliability (in terms of accuracy and precision). The eco-friendliness of the approach was verified using three thorough assessments. This technique serves as a valuable asset in establishing the correct dosage and administration schedule for the combined treatment involving PAC and SEL, ensuring the desired therapeutic effects and safety in managing uterine sarcoma. Conclusions: The proposed HPLC-PDA method is the first reliable and eco-friendly method developed to simultaneously determine PAC and SEL in high-throughput plasma samples in clinical laboratories. Full article
(This article belongs to the Section Pharmacology)
Show Figures

Figure 1

18 pages, 4191 KB  
Article
Inhibition of GCN2 Reveals Synergy with Cell-Cycle Regulation and Proteostasis
by Gregory Gauthier-Coles, Farid Rahimi, Angelika Bröer and Stefan Bröer
Metabolites 2023, 13(10), 1064; https://doi.org/10.3390/metabo13101064 - 9 Oct 2023
Cited by 8 | Viewed by 2851
Abstract
The integrated stress response is a signaling network comprising four branches, each sensing different cellular stressors, converging on the phosphorylation of eIF2α to downregulate global translation and initiate recovery. One of these branches includes GCN2, which senses cellular amino acid insufficiency and participates [...] Read more.
The integrated stress response is a signaling network comprising four branches, each sensing different cellular stressors, converging on the phosphorylation of eIF2α to downregulate global translation and initiate recovery. One of these branches includes GCN2, which senses cellular amino acid insufficiency and participates in maintaining amino acid homeostasis. Previous studies have shown that GCN2 is a viable cancer target when amino acid stress is induced by inhibiting an additional target. In this light, we screened numerous drugs for their potential to synergize with the GCN2 inhibitor TAP20. The drug sensitivity of six cancer cell lines to a panel of 25 compounds was assessed. Each compound was then combined with TAP20 at concentrations below their IC50, and the impact on cell growth was evaluated. The strongly synergistic combinations were further characterized using synergy analyses and matrix-dependent invasion assays. Inhibitors of proteostasis and the MEK–ERK pathway, as well as the pan-CDK inhibitors, flavopiridol, and seliciclib, were potently synergistic with TAP20 in two cell lines. Among their common CDK targets was CDK7, which was more selectively targeted by THZ-1 and synergized with TAP20. Moreover, these combinations were partially synergistic when assessed using matrix-dependent invasion assays. However, TAP20 alone was sufficient to restrict invasion at concentrations well below its growth-inhibitory IC50. We conclude that GCN2 inhibition can be further explored in vivo as a cancer target. Full article
(This article belongs to the Special Issue Metabolism and Cancer Biology)
Show Figures

Figure 1

18 pages, 1987 KB  
Article
Development and Validation of 96-Microwell-Based Spectrophotometric and High-Performance Liquid Chromatography with Fluorescence Detection Methods with High Throughput for Quantitation of Duvelisib and Seliciclib in Their Bulk Forms and Capsules
by Haya I. Aljohar, Abdulmajeed A. Alghamdi, Nasr Y. Khalil, Hany W. Darwish, Rashad Al-Salahi and Ibrahim A. Darwish
Appl. Sci. 2022, 12(20), 10624; https://doi.org/10.3390/app122010624 - 20 Oct 2022
Cited by 2 | Viewed by 2133
Abstract
The Food and Drug Administration (FDA) has approved duvelisib (DUV) for managing follicular lymphoma, small lymphocytic lymphoma, and relapsed or refractory chronic lymphocytic leukemia. Seliciclib (SEL) is a candidate drug for these cancers, neurodegenerative disorders, renal diseases, several viral infections, and chronic inflammation [...] Read more.
The Food and Drug Administration (FDA) has approved duvelisib (DUV) for managing follicular lymphoma, small lymphocytic lymphoma, and relapsed or refractory chronic lymphocytic leukemia. Seliciclib (SEL) is a candidate drug for these cancers, neurodegenerative disorders, renal diseases, several viral infections, and chronic inflammation disorders. This work describes the development and validation of a 96-microwell-based spectrophotometric method (MW-SPM) and a high-performance liquid chromatography with fluorescence detection method (HPLC-FD) for the quantitation of DUV and SEL in their bulk forms and capsules. The MW-SPM is based on the formation of colored charge transfer complexes (CTCs) as products for the reactions of DUV and SEL, as n-electron donors, with 2,3-dichloro-5,6-dicyano-1,4-benzoquinone (DDQ), as a π-electron acceptor. The absorption intensity of the CTCs was measured by using an absorbance plate reader at 450 nm. The stoichiometric ratios of DUV:DDQ and SEL:DDQ were 1:1 and 1:2, respectively, and accordingly the reaction mechanisms were postulated. The HPLC-FD involved the chromatographic separation of DUV and SEL on a Hypersil™ Phenyl HPLC column (250 mm length × 4.6 mm i.d., 5 μm particle diameter) with a mobile phase composed of acetonitrile:acetate buffer, pH 4.5 (35:65, v/v) at a flow rate of 2.2 mL/min. DUV and SEL were detected at 370 nm after excitation at 280 nm. SEL was used as an internal standard (IS) for quantitation of DUV, and DUV was used as an IS for quantitation of SEL. Both MW-SPM and HPLC-FD were validated according to the guidelines of the International Council for Harmonization (ICH) for validation of analytical procedures. The linear ranges for both DUV and SEL were 14.52–200 µg/well (100 µL) and 0.12–3.2 µg/mL for MW-SPM and HPLC-FD, respectively. LOD values in MW-SPM for DUV and SEL were 4.4 and 3.17 µg/well, respectively; however, those for HPLC-FD were 0.03 and 0.05 µg/mL, respectively. The accuracy and precision of both methods were confirmed as the recovery values were ≥98.5% and the values of relative standard deviations (RSD) were ≤2.41%. Both methods were satisfactorily applied to the quantitation of DUV and SEL in their capsules; the mean recovery values were ≥99.2%. Both methods have simple procedures and high analytical throughput. Moreover, they consume a small volume of organic solvent; thus, they are economic and eco-friendly. Accordingly, the methods are valuable for routine use in quality control (QC) laboratories for quantitation of DUV and SEL in their bulk forms and capsules. Full article
(This article belongs to the Section Chemical and Molecular Sciences)
Show Figures

Figure 1

39 pages, 7132 KB  
Review
The Renaissance of Cyclin Dependent Kinase Inhibitors
by Tobias Ettl, Daniela Schulz and Richard Josef Bauer
Cancers 2022, 14(2), 293; https://doi.org/10.3390/cancers14020293 - 7 Jan 2022
Cited by 56 | Viewed by 13266
Abstract
Cyclin-dependent kinases (CDK) regulate cell cycle progression. During tumor development, altered expression and availability of CDKs strongly contribute to impaired cell proliferation, a hallmark of cancer. In recent years, targeted inhibition of CDKs has shown considerable therapeutic benefit in a variety of tumor [...] Read more.
Cyclin-dependent kinases (CDK) regulate cell cycle progression. During tumor development, altered expression and availability of CDKs strongly contribute to impaired cell proliferation, a hallmark of cancer. In recent years, targeted inhibition of CDKs has shown considerable therapeutic benefit in a variety of tumor entities. Their success is reflected in clinical approvals of specific CDK4/6 inhibitors for breast cancer. This review provides a detailed insight into the molecular mechanisms of CDKs as well as a general overview of CDK inhibition. It also summarizes the latest research approaches and current advances in the treatment of head and neck cancer with CDK inhibitors. Instead of monotherapies, combination therapies with CDK inhibitors may especially provide promising results in tumor therapy. Indeed, recent studies have shown a synergistic effect of CDK inhibition together with chemo- and radio- and immunotherapy in cancer treatment to overcome tumor evasion, which may lead to a renaissance of CDK inhibitors. Full article
(This article belongs to the Special Issue The Renaissance of CDK Inhibition in Cancer Therapy)
Show Figures

Figure 1

16 pages, 4667 KB  
Article
Peptide-Functionalized Nanoparticles-Encapsulated Cyclin-Dependent Kinases Inhibitor Seliciclib in Transferrin Receptor Overexpressed Cancer Cells
by Guan Zhen He and Wen Jen Lin
Nanomaterials 2021, 11(3), 772; https://doi.org/10.3390/nano11030772 - 18 Mar 2021
Cited by 30 | Viewed by 4115
Abstract
Seliciclib, a broad cyclin-dependent kinases (CDKs) inhibitor, exerts its potential role in cancer therapy. For taking advantage of overexpressive transferrin receptor (TfR) on most cancer cells, T7 peptide, a TfR targeting ligand, was selected as a targeting ligand to facilitate nanoparticles (NPs) internalization [...] Read more.
Seliciclib, a broad cyclin-dependent kinases (CDKs) inhibitor, exerts its potential role in cancer therapy. For taking advantage of overexpressive transferrin receptor (TfR) on most cancer cells, T7 peptide, a TfR targeting ligand, was selected as a targeting ligand to facilitate nanoparticles (NPs) internalization in cancer cells. In this study, poly(d,l-lactide-co-glycolide) (PLGA) was conjugated with maleimide poly(ethylene glycol) amine (Mal-PEG-NH2) to form PLGA-PEG-maleimide copolymer. The synthesized copolymer was used to prepare NPs for encapsulation of seliciclib which was further decorated by T7 peptide. The result shows that the better cellular uptake was achieved by T7 peptide-modified NPs particularly in TfR-high expressed cancer cells in order of MDA-MB-231 breast cancer cells > SKOV-3 ovarian cancer cells > U87-MG glioma cells. Both SKOV-3 and U87-MG cells are more sensitive to encapsulated seliciclib in T7-decorated NPs than to free seliciclib, and that IC50 values were lowered for encapsulated seliciclib. Full article
(This article belongs to the Special Issue Nanomaterials for Drug Delivery and Cancer Therapy)
Show Figures

Figure 1

16 pages, 3508 KB  
Article
Non-Linear Pharmacokinetics of Oral Roscovitine (Seliciclib) in Cystic Fibrosis Patients Chronically Infected with Pseudomonas aeruginosa: A Study on Population Pharmacokinetics with Monte Carlo Simulations
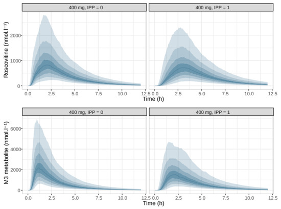
by Cyril Leven, Sacha Schutz, Marie-Pierre Audrezet, Emmanuel Nowak, Laurent Meijer and Tristan Montier
Pharmaceutics 2020, 12(11), 1087; https://doi.org/10.3390/pharmaceutics12111087 - 12 Nov 2020
Cited by 3 | Viewed by 2984
Abstract
Roscovitine (Seliciclib), a new protein kinase inhibitor, was administered orally to adult patients with cystic fibrosis for the first time in the ROSCO-CF trial, a dose-escalation, phase IIa, randomized, controlled trial. Extensive pharmacokinetic sampling was performed up to 12 h after the first [...] Read more.
Roscovitine (Seliciclib), a new protein kinase inhibitor, was administered orally to adult patients with cystic fibrosis for the first time in the ROSCO-CF trial, a dose-escalation, phase IIa, randomized, controlled trial. Extensive pharmacokinetic sampling was performed up to 12 h after the first oral dose. Roscovitine and its main metabolite M3 were quantified by liquid chromatography coupled with tandem mass spectrometry. The pharmacokinetics analyses were performed by non-linear mixed effects modelling. Monte Carlo simulations were performed to assess the impact of dose on the pharmacokinetics of oral roscovitine. Twenty-three patients received oral doses ranging from 200 to 800 mg of roscovitine and 138 data points were available for both roscovitine and M3 concentrations. The pharmacokinetics was best described by a two-compartment parent-metabolite model, with a complex saturable absorption process modelled as the sum of Gaussian inverse density functions. The Monte Carlo simulations showed a dose-dependent and saturable first-pass effect leading to pre-systemic formation of M3. The treatment with proton-pump inhibitors reduced the rate of absorption of oral roscovitine. The pharmacokinetics of oral roscovitine in adult patients with cystic fibrosis was non-linear and showed significant inter-individual variability. A repeat-dose study will be required to assess the inter-occasional variability of its pharmacokinetics. Full article
(This article belongs to the Section Pharmacokinetics and Pharmacodynamics)
Show Figures

Graphical abstract

19 pages, 2538 KB  
Article
Implementing Patient-Derived Xenografts to Assess the Effectiveness of Cyclin-Dependent Kinase Inhibitors in Glioblastoma
by Janis J. Noonan, Monika Jarzabek, Frank A. Lincoln, Brenton L. Cavanagh, Arhona R. Pariag, Viktorija Juric, Leonie S. Young, Keith L. Ligon, Hanne Jahns, Daniella Zheleva, Jochen H. M. Prehn, Markus Rehm, Annette T. Byrne and Brona M. Murphy
Cancers 2019, 11(12), 2005; https://doi.org/10.3390/cancers11122005 - 12 Dec 2019
Cited by 13 | Viewed by 5239
Abstract
Glioblastoma (GBM) is the most common primary brain tumor with no available cure. As previously described, seliciclib, a first-generation cyclin-dependent kinase (CDK) inhibitor, down-regulates the anti-apoptotic protein, Mcl-1, in GBM, thereby sensitizing GBM cells to the apoptosis-inducing effects of the death receptor ligand, [...] Read more.
Glioblastoma (GBM) is the most common primary brain tumor with no available cure. As previously described, seliciclib, a first-generation cyclin-dependent kinase (CDK) inhibitor, down-regulates the anti-apoptotic protein, Mcl-1, in GBM, thereby sensitizing GBM cells to the apoptosis-inducing effects of the death receptor ligand, tumor necrosis factor-related apoptosis-inducing ligand (TRAIL). Here, we have assessed the efficacy of seliciclib when delivered in combination with the antibody against human death receptor 5, drozitumab, in clinically relevant patient-derived xenograft (PDX) models of GBM. A reduction in viability and significant levels of apoptosis were observed in vitro in human GBM neurospheres following treatment with seliciclib plus drozitumab. While the co-treatment strategy induced a similar effect in PDX models, the dosing regimen required to observe seliciclib-targeted responses in the brain, resulted in lethal toxicity in 45% of animals. Additional studies showed that the second-generation CDK inhibitor, CYC065, with improved potency in comparison to seliciclib, induced a significant decrease in the size of human GBM neurospheres in vitro and was well tolerated in vivo, upon administration at clinically relevant doses. This study highlights the continued need for robust pre-clinical assessment of promising treatment approaches using clinically relevant models. Full article
(This article belongs to the Special Issue Tumors of the Central Nervous System: An Update)
Show Figures

Figure 1

8 pages, 498 KB  
Article
Development of Cell-Cycle Inhibitors for Cancer Therapy
by M. A. Dickson and Gary K. Schwartz
Curr. Oncol. 2009, 16(2), 36-43; https://doi.org/10.3747/co.v16i2.428 - 1 Mar 2009
Cited by 168 | Viewed by 2282
Abstract
The cell cycle governs the transition from quiescence through cell growth to proliferation. The key parts of the cell cycle machinery are the cyclin-dependent kinases (cdks) and the regulatory proteins called cyclins. The cdks are rational targets for cancer therapy because [...] Read more.
The cell cycle governs the transition from quiescence through cell growth to proliferation. The key parts of the cell cycle machinery are the cyclin-dependent kinases (cdks) and the regulatory proteins called cyclins. The cdks are rational targets for cancer therapy because their expression in cancer cells is often aberrant and their inhibition can induce cell death. Inhibitors of cdks can also block transcription. Several drugs targeting the cell cycle have entered clinical trials. These agents include flavopiridol, indisulam, AZD5438, SNS-032, bryostatin-1, seliciclib, PD 0332991, and SCH 727965. Phase i studies have demonstrated that these drugs can generally be administered safely. Phase ii studies have shown little single-agent activity in solid tumors, but combination studies with cytotoxic chemotherapy have been more promising. In hematologic malignancies, reports have shown encouraging single-agent and combination activity. Pharmacodynamic studies show that the dose and schedule of these drugs are crucial to permit maximum therapeutic effect. Full article
Back to TopTop