error_outline You can access the new MDPI.com website here. Explore and share your feedback with us.
 
 
Sign in to use this feature.

Years

Between: -

Subjects

remove_circle_outline
remove_circle_outline
remove_circle_outline
remove_circle_outline
remove_circle_outline
remove_circle_outline
remove_circle_outline
remove_circle_outline
remove_circle_outline

Journals

Article Types

Countries / Regions

Search Results (33)

Search Parameters:
Keywords = Self-Assessment Manikin

Order results
Result details
Results per page
Select all
Export citation of selected articles as:
28 pages, 3120 KB  
Article
Development of a Measurement Procedure for Emotional States Detection Based on Single-Channel Ear-EEG: A Proof-of-Concept Study
by Marco Arnesano, Pasquale Arpaia, Simone Balatti, Gloria Cosoli, Matteo De Luca, Ludovica Gargiulo, Nicola Moccaldi, Andrea Pollastro, Theodore Zanto and Antonio Forenza
Sensors 2026, 26(2), 385; https://doi.org/10.3390/s26020385 - 7 Jan 2026
Abstract
Real-time emotion monitoring is increasingly relevant in healthcare, automotive, and workplace applications, where adaptive systems can enhance user experience and well-being. This study investigates the feasibility of classifying emotions along the valence–arousal dimensions of the Circumplex Model of Affect using EEG signals acquired [...] Read more.
Real-time emotion monitoring is increasingly relevant in healthcare, automotive, and workplace applications, where adaptive systems can enhance user experience and well-being. This study investigates the feasibility of classifying emotions along the valence–arousal dimensions of the Circumplex Model of Affect using EEG signals acquired from a single mastoid channel positioned near the ear. Twenty-four participants viewed emotion-eliciting videos and self-reported their affective states using the Self-Assessment Manikin. EEG data were recorded with an OpenBCI Cyton board and both spectral and temporal features (including power in multiple frequency bands and entropy-based complexity measures) were extracted from the single ear-channel. A dual analytical framework was adopted: classical statistical analyses (ANOVA, Mann–Whitney U) and artificial neural networks combined with explainable AI methods (Gradient × Input, Integrated Gradients) were used to identify features associated with valence and arousal. Results confirmed the physiological validity of single-channel ear-EEG, and showed that absolute β- and γ-band power, spectral ratios, and entropy-based metrics consistently contributed to emotion classification. Overall, the findings demonstrate that reliable and interpretable affective information can be extracted from minimal EEG configurations, supporting their potential for wearable, real-world emotion monitoring. Nonetheless, practical considerations—such as long-term comfort, stability, and wearability of ear-EEG devices—remain important challenges and motivate future research on sustained use in naturalistic environments. Full article
(This article belongs to the Section Wearables)
25 pages, 6832 KB  
Article
Biofeedback-Informed Assessment of Biophilic Interior Variables: A 23 IVR Factorial Study in Design Studio Interiors
by Yasemin Albayrak-Kutlay, Murat Bengisu and Emre Ergül
Architecture 2026, 6(1), 6; https://doi.org/10.3390/architecture6010006 - 6 Jan 2026
Abstract
This study investigates the influence of three biophilic interior design variables: natural light, interior vegetation (vertical green wall), and biomorphic form (biomorphic wall panel) on affective and physiological responses in a design studio interior utilizing immersive virtual reality (IVR) and wearable biofeedback technology. [...] Read more.
This study investigates the influence of three biophilic interior design variables: natural light, interior vegetation (vertical green wall), and biomorphic form (biomorphic wall panel) on affective and physiological responses in a design studio interior utilizing immersive virtual reality (IVR) and wearable biofeedback technology. This study was a within-participant 23 factorial design that included one baseline and eight IVR studio conditions. Participants experienced all conditions while reporting affects using the Self-Assessment Manikin (SAM) valence and arousal scales, electrodermal activity (EDA), and skin temperature (ST). Cybersickness was measured with the Simulator Sickness Questionnaire (SSQ) and presence was assessed using the Igroup Presence Questionnaire and Slater-Usoh-Steed presence measures (IPQ, SUS), while baseline anxiety (STAI) was controlled. The results demonstrated a significant primary influence of natural light on SAM valence ratings: conditions with natural light were evaluated as more pleasant than the non-variable and baseline condition, whereas interior vegetation and biomorphic form had smaller, context-dependent effects that were most evident when layered with natural light. Differences in SAM arousal ratings were modest and non-systematic. EDA did not differentiate, and ST showed only small shifts, indicating that during calm exploratory monitoring, subjective affect was more responsive. The circumplex findings guided to an activity-specific zoned interior rather than a single uniform design studio. Full article
Show Figures

Figure 1

24 pages, 1301 KB  
Article
Through the Frosted Glass Pane: Blunted Physiological Responses to Extremely Under- and Over-Sized Body Pictures in Female Adolescents with Obesity—An Experimental Pilot Study
by Valeska Reichel Pape, Susanna Wiegand, Rebecca Mylius, Antonia Hope and Alexander Korte
Adolescents 2026, 6(1), 4; https://doi.org/10.3390/adolescents6010004 - 4 Jan 2026
Viewed by 64
Abstract
Problematic weight control behaviors during adolescence are associated with an increased risk of chronic obesity. Understanding how adolescents with obesity respond to body-related visual cues may offer insights into underlying motivational deficits. This experimental pilot study employed a peripherally measured startle reflex paradigm [...] Read more.
Problematic weight control behaviors during adolescence are associated with an increased risk of chronic obesity. Understanding how adolescents with obesity respond to body-related visual cues may offer insights into underlying motivational deficits. This experimental pilot study employed a peripherally measured startle reflex paradigm to assess the involuntary emotional responses to images of underweight, normal-weight, and overweight bodies. Twenty female adolescents with obesity and 21 normal-sized control subjects between 14 and 21 years of age were presented with photos of female bodies. Images from the International Affective Picture System served as reference material. The Self-Assessment Manikin was used as the subjective measure, while startle reflex magnitude and skin conductance response served as objective measures. A significant interaction emerged for body-related stimuli. In the normal-weight group, underweight and overweight body images elicited increased skin conductance responses (indicative of heightened attention) and potentiated startle reflexes (indicative of behavioral avoidance). In contrast, adolescents with obesity exhibited a general physiological down-regulation and a subjective vs. objective dissociation across all body image categories, suggesting a dysfunction in motivational processing. Our findings suggest diminished physiological salience of body-related cues in obese adolescents, which may undermine intrinsic motivation for weight loss. The limited sample size restricts generalizability. Full article
Show Figures

Figure 1

13 pages, 254 KB  
Article
Simulation Needs Assessment Project (SNAP): Use of the Borich Model in Undergraduate Medical Education
by Samantha Wong, Bradson Serikawa, Meliza Roman, Nicole Hada, Jannet Lee-Jayaram and Benjamin W. Berg
Int. Med. Educ. 2025, 4(4), 42; https://doi.org/10.3390/ime4040042 - 20 Oct 2025
Viewed by 863
Abstract
Manikin-based simulation is widely used in undergraduate medical education to develop clinical reasoning and communication skills. The Borich Needs Assessment Model has been applied in fields such as nursing and global health to identify gaps between perceived importance and performance, but it has [...] Read more.
Manikin-based simulation is widely used in undergraduate medical education to develop clinical reasoning and communication skills. The Borich Needs Assessment Model has been applied in fields such as nursing and global health to identify gaps between perceived importance and performance, but it has not been used to evaluate simulation-based learning in undergraduate medical education. We applied the Borich model to assess student perceptions of competencies developed in an established simulation curriculum and to inform future simulation curriculum development. A cross-sectional survey was administered to first-, second-, and fourth-year medical students at the University of Hawaii John A. Burns School of Medicine. Students rated eight SNAP competencies for importance, self-reported performance, and perceived influence of simulation. Weighted discrepancy scores were calculated using the Borich model. Faculty completed a parallel survey to compare competency prioritization. Among 164 student respondents, all competencies were rated as highly important. The greatest performance and influence gaps were reported for “Apply knowledge covered in the unit or rotation to simulation cases” (MWDS = 1.37 and 1.61, respectively). Priorities varied by student year, and agreement between faculty and student rankings was limited. The findings highlight a perceived gap between simulation curriculum and knowledge application. The Borich model effectively identified performance gaps and can support targeted simulation curriculum refinement. Full article
26 pages, 947 KB  
Article
Colour Perception in Immersive Virtual Reality: Emotional and Physiological Responses to Fifteen Munsell Hues
by Francesco Febbraio, Simona Collina, Christina Lepida and Panagiotis Kourtesis
Virtual Worlds 2025, 4(4), 45; https://doi.org/10.3390/virtualworlds4040045 - 14 Oct 2025
Viewed by 1533
Abstract
Colour is a fundamental determinant of affective experience in immersive virtual reality (VR), yet the emotional and physiological impact of individual hues remains poorly characterised. This study investigated how fifteen calibrated Munsell hues influence subjective and autonomic responses when presented in immersive VR. [...] Read more.
Colour is a fundamental determinant of affective experience in immersive virtual reality (VR), yet the emotional and physiological impact of individual hues remains poorly characterised. This study investigated how fifteen calibrated Munsell hues influence subjective and autonomic responses when presented in immersive VR. Thirty-six adults (18–45 years) viewed each hue in a within-subject design while pupil diameter and skin conductance were recorded continuously, and self-reported emotions were assessed using the Self-Assessment Manikin across pleasure, arousal, and dominance. Repeated-measures ANOVAs revealed robust hue effects on all three self-report dimensions and on pupil dilation, with medium-to-large effect sizes. Reds and red–purple hues elicited the highest arousal and dominance, whereas blue–green hues were rated most pleasurable. Pupil dilation closely tracked arousal ratings, while skin conductance showed no reliable hue differentiation, likely due to the brief exposure times (30 s). Individual differences in cognitive style and personality modulated overall reactivity but did not alter the relative ranking of hues. Taken together, these findings provide the first systematic hue-by-hue mapping of affective and physiological responses in immersive VR. They demonstrate that calibrated colour shapes both experience and ocular physiology, while also offering practical guidance for educational, clinical, and interface design in virtual environments. Full article
Show Figures

Figure 1

28 pages, 1081 KB  
Article
Machine Learning with Self-Assessment Manikin Valence Scale for Fine-Grained Sentiment Analysis
by Lindung Parningotan Manik, Harry Susianto, Arawinda Dinakaramani, R. Niken Pramanik and Totok Suhardijanto
Information 2025, 16(7), 562; https://doi.org/10.3390/info16070562 - 30 Jun 2025
Viewed by 2539
Abstract
Traditional sentiment analysis methods use lexicons or machine learning models to classify text as positive or negative. These approaches are unable to capture nuance or intensity in short or informal texts. We propose a novel method that uses the Self-Assessment Manikin (SAM) valence [...] Read more.
Traditional sentiment analysis methods use lexicons or machine learning models to classify text as positive or negative. These approaches are unable to capture nuance or intensity in short or informal texts. We propose a novel method that uses the Self-Assessment Manikin (SAM) valence scale, which provides a continuous measurement of sentiment, ranging from extremely positive to extremely negative. We describe the development of a lexicon of emotion-laden words with SAM valence scales and investigate its application to fine-grained sentiment analysis. We also propose a lexicon-based polarity approach to complement textual features in machine learning models trained to predict a numerical sentiment label for a given text. This method is evaluated using a new dataset of short texts with sentiment labels based on expert ratings, which are predicted using various machine learning fusion mechanisms. The lexicon-based polarity method is found to provide improvements of 0.250, 0.999, and 0.261 in the mean squared error for classical machine learning, RNN, and transformer-based architectures, respectively. Full article
Show Figures

Figure 1

24 pages, 5386 KB  
Article
Impact of Emotional Design: Improving Sustainable Well-Being Through Bio-Based Tea Waste Materials
by Ming Lei, Shenghua Tan, Pin Gao, Zhiyu Long, Li Sun and Yuekun Dong
Buildings 2025, 15(9), 1559; https://doi.org/10.3390/buildings15091559 - 5 May 2025
Viewed by 2801
Abstract
Commercial progress concerning biobased materials has been slow, with success depending on functionality and emotional responses. Emotional interaction research provides a novel way to shift perceptions of biobased materials. This study proposes a human-centered emotional design framework using biobased tea waste to explore [...] Read more.
Commercial progress concerning biobased materials has been slow, with success depending on functionality and emotional responses. Emotional interaction research provides a novel way to shift perceptions of biobased materials. This study proposes a human-centered emotional design framework using biobased tea waste to explore how sensory properties (form, color, odor, surface roughness) shape emotional responses and contribute to sustainable wellbeing. We used a mixed-methods approach combining subjective evaluations (Self-Assessment Manikin scale) with physiological metrics (EEG, skin temperature, pupil dilation) from 24 participants. Results demonstrated that spherical forms and high surface roughness significantly enhanced emotional valence and arousal, while warm-toned yellow samples elicited 23% higher pleasure ratings than dark ones. Neurophysiological data revealed that positive emotions correlated with reduced alpha power in the parietal lobe (αPz, p = 0.03) and a 0.3 °C rise in skin temperature, whereas negative evaluations activated gamma oscillations in central brain regions (γCz, p = 0.02). Mapping these findings to human factors engineering principles, we developed actionable design strategies—such as texture-optimized surfaces and color–emotion pairings—that transform tea waste into emotionally resonant, sustainable products. This work advances emotional design’s role in fostering ecological sustainability and human wellbeing, demonstrating how human-centered engineering can align material functionality with psychological fulfillment. Full article
Show Figures

Figure 1

16 pages, 2662 KB  
Article
Uplifting Moods: Augmented Reality-Based Gamified Mood Intervention App with Attention Bias Modification
by Yun Jung Yeh, Sarah S. Jo and Youngjun Cho
Software 2025, 4(2), 8; https://doi.org/10.3390/software4020008 - 1 Apr 2025
Cited by 2 | Viewed by 1714
Abstract
Attention Bias Modification (ABM) is a cost-effective mood intervention that has the potential to be used in daily settings beyond clinical environments. However, its interactivity and user engagement are known to be limited and underexplored. Here, we propose Uplifting Moods, a novel mood [...] Read more.
Attention Bias Modification (ABM) is a cost-effective mood intervention that has the potential to be used in daily settings beyond clinical environments. However, its interactivity and user engagement are known to be limited and underexplored. Here, we propose Uplifting Moods, a novel mood intervention app that combines gamified ABM and augmented reality (AR) to address the limitation associated with the repetitive nature of ABM. By harnessing the benefits of mobile AR’s low-cost, portable, and accessible characteristics, this approach is to help users easily take part in ABM, positively shifting one’s emotions. We conducted a mixed methods study with 24 participants, which involves a controlled experiment with Self-Assessment Manikin as its primary measure and a semi-structured interview. Our analysis reports that the approach uniquely adds fun, exploring, and challenging features, helping improve engagement and feeling more cheerful and less under control. It also highlights the importance of personalization and consideration of gaming style, music preference, and socialization in designing a daily AR ABM game as an effective mental wellbeing intervention. Full article
Show Figures

Figure 1

16 pages, 8003 KB  
Article
AffectiVR: A Database for Periocular Identification and Valence and Arousal Evaluation in Virtual Reality
by Chaelin Seok, Yeongje Park, Junho Baek, Hyeji Lim, Jong-hyuk Roh, Youngsam Kim, Soohyung Kim and Eui Chul Lee
Electronics 2024, 13(20), 4112; https://doi.org/10.3390/electronics13204112 - 18 Oct 2024
Cited by 4 | Viewed by 1701
Abstract
This study introduces AffectiVR, a dataset designed for periocular biometric authentication and emotion evaluation in virtual reality (VR) environments. To maximize immersion in VR environments, interactions must be seamless and natural, with unobtrusive authentication and emotion recognition technologies playing a crucial role. This [...] Read more.
This study introduces AffectiVR, a dataset designed for periocular biometric authentication and emotion evaluation in virtual reality (VR) environments. To maximize immersion in VR environments, interactions must be seamless and natural, with unobtrusive authentication and emotion recognition technologies playing a crucial role. This study proposes a method for user authentication by utilizing periocular images captured by a camera attached to a VR headset. Existing datasets have lacked periocular images acquired in VR environments, limiting their practical application. To address this, periocular images were collected from 100 participants using the HTC Vive Pro and Pupil Labs infrared cameras in a VR environment. Participants also watched seven emotion-inducing videos, and emotional evaluations for each video were conducted. The final dataset comprises 1988 monocular videos and corresponding self-assessment manikin (SAM) evaluations for each experimental video. This study also presents a baseline study to evaluate the performance of biometric authentication using the collected dataset. A deep learning model was used to analyze the performance of biometric authentication based on periocular data collected in a VR environment, confirming the potential for implicit and continuous authentication. The high-resolution periocular images collected in this study provide valuable data not only for user authentication but also for emotion evaluation research. The dataset developed in this study can be used to enhance user immersion in VR environments and as a foundational resource for advancing emotion recognition and authentication technologies in fields such as education, therapy, and entertainment. This dataset offers new research opportunities for non-invasive continuous authentication and emotion recognition in VR environments, and it is expected to significantly contribute to the future development of related technologies. Full article
(This article belongs to the Special Issue Biometric Recognition: Latest Advances and Prospects)
Show Figures

Figure 1

18 pages, 6553 KB  
Article
Assessing the Effects of Various Gaming Platforms on Players’ Affective States and Workloads through Electroencephalogram
by Pratheep Kumar Paranthaman, Spencer Graham and Nikesh Bajaj
Electronics 2024, 13(11), 2043; https://doi.org/10.3390/electronics13112043 - 23 May 2024
Cited by 5 | Viewed by 3447
Abstract
Game platforms have different impacts on player experience in terms of affective states and workloads. By studying these impacts, we can uncover detailed aspects of the gaming experience. Traditionally, understanding player experience has relied on subjective methods, such as self-reported surveys, where players [...] Read more.
Game platforms have different impacts on player experience in terms of affective states and workloads. By studying these impacts, we can uncover detailed aspects of the gaming experience. Traditionally, understanding player experience has relied on subjective methods, such as self-reported surveys, where players reflect on their experience and effort levels. However, complementing these subjective measures with electroencephalogram (EEG) analysis introduces an objective approach to assessing player experience. In this study, we examined player experiences across PlayStation 5, Nintendo Switch, and Meta Quest 2. Using a mixed-methods approach, we merged subjective user assessments with EEG data to investigate brain activity, affective states, and workload during low- and high-stimulation games. We recruited 30 participants to play two games across three platforms. Our findings reveal that there is a statistically significant difference between these three platforms for seven out of nine experience factors. Also, three platforms have different impacts on play experience and brain activity. Additionally, we utilized a linear model to associate player experience aspects such arousal, frustration, and mental workload with different brain regions using EEG data. Full article
(This article belongs to the Special Issue Recent Advances in Extended Reality)
Show Figures

Figure 1

15 pages, 1153 KB  
Data Descriptor
EEG and Physiological Signals Dataset from Participants during Traditional and Partially Immersive Learning Experiences in Humanities
by Rebeca Romo-De León, Mei Li L. Cham-Pérez, Verónica Andrea Elizondo-Villegas, Alejandro Villarreal-Villarreal, Alexandro Antonio Ortiz-Espinoza, Carol Stefany Vélez-Saboyá, Jorge de Jesús Lozoya-Santos, Manuel Cebral-Loureda and Mauricio A. Ramírez-Moreno
Data 2024, 9(5), 68; https://doi.org/10.3390/data9050068 - 15 May 2024
Cited by 2 | Viewed by 4389
Abstract
The relevance of the interaction between Humanities-enhanced learning using immersive environments and simultaneous physiological signal analysis contributes to the development of Neurohumanities and advancements in applications of Digital Humanities. The present dataset consists of recordings from 24 participants divided in two groups (12 [...] Read more.
The relevance of the interaction between Humanities-enhanced learning using immersive environments and simultaneous physiological signal analysis contributes to the development of Neurohumanities and advancements in applications of Digital Humanities. The present dataset consists of recordings from 24 participants divided in two groups (12 participants in each group) engaging in simulated learning scenarios, traditional learning, and partially immersive learning experiences. Data recordings from each participant contain recordings of physiological signals and psychometric data collected from applied questionnaires. Physiological signals include electroencephalography, real-time engagement and emotion recognition calculation by a Python EEG acquisition code, head acceleration, electrodermal activity, blood volume pressure, inter-beat interval, and temperature. Before the acquisition of physiological signals, participants were asked to fill out the General Health Questionnaire and Trait Meta-Mood Scale. In between recording sessions, participants were asked to fill out Likert-scale questionnaires regarding their experience and a Self-Assessment Manikin. At the end of the recording session, participants filled out the ITC Sense of Presence Inventory questionnaire for user experience. The dataset can be used to explore differences in physiological patterns observed between different learning modalities in the Humanities. Full article
Show Figures

Figure 1

12 pages, 590 KB  
Article
The Affective Responses to Moderate Physical Activity: A Further Study to Prove the Convergent and the Discriminant Validity for the German Versions of the Feeling Scale and the Felt Arousal Scale
by Kristin Thorenz, Gorden Sudeck, Andre Berwinkel and Matthias Weigelt
Behav. Sci. 2024, 14(4), 317; https://doi.org/10.3390/bs14040317 - 12 Apr 2024
Cited by 4 | Viewed by 3162
Abstract
The present study proves the construct validity of the German versions of the Feeling Scale (FS) and the Felt Arousal Scale (FAS) for measuring the affective responses (affective valence and arousal) for a moderate-intensity jogging (JG) exercise. In previous studies, both scales were [...] Read more.
The present study proves the construct validity of the German versions of the Feeling Scale (FS) and the Felt Arousal Scale (FAS) for measuring the affective responses (affective valence and arousal) for a moderate-intensity jogging (JG) exercise. In previous studies, both scales were validated for a high-intensity bicycle ergometer exercise and for relaxation techniques. In the present study, 194 participants performed the JG exercise for 45 min and completed the FS and the FAS, as well as the Self-Assessment Manikin (SAM), for a self–other comparison in a pre-test-intervention-post-test design. The results of the correlation analyses replicated the previous findings for the high-intensity bicycle ergometer exercise and the relaxation techniques, revealing significant positive correlations for the valence dimension between the FS and the SAM-Pleasure subscale (r = 0.50) and for the arousal dimension between the FAS and the SAM-Arousal subscale (r = 0.16). These findings suggest that the German versions of the FS and the FAS are also suitable for exercises of moderate intensity. Full article
Show Figures

Figure 1

12 pages, 768 KB  
Article
The Interplay between Fear Reactivity and Callous–Unemotional Traits Predicting Reactive and Proactive Aggression
by Nicholas D. Thomson, Sophie L. Kjærvik, Victoria J. Blondell and Laura E. Hazlett
Children 2024, 11(4), 379; https://doi.org/10.3390/children11040379 - 22 Mar 2024
Cited by 8 | Viewed by 3121
Abstract
Research has indicated that youths with CU traits are fearless, and this fearlessness plays a bidirectional role in both the development of CU traits and engagement in aggressive behavior. However, research specifically testing the role of fear in the association between CU traits [...] Read more.
Research has indicated that youths with CU traits are fearless, and this fearlessness plays a bidirectional role in both the development of CU traits and engagement in aggressive behavior. However, research specifically testing the role of fear in the association between CU traits and aggression is scarce. The goal of the current study was to test if fear reactivity, both conscious (self-report) and automatic (skin conductance reactivity; SCR), moderated the association between CU traits and aggression subtypes (reactive and proactive aggression). Participants included 161 adolescents (Mage = 15 years) diagnosed with conduct disorder. CU traits were assessed using the self-report Inventory of Callous–Unemotional Traits. Conscious and automatic fear reactivity were measured during a virtual reality rollercoaster using the Self-Assessment Manikin and skin conductance reactivity (SCR), respectively. Hierarchical regressions found that high fear reactivity on SCR moderated the link between CU traits and reactive aggression, while feeling more excited during fear induction moderated the link between CU traits and proactive aggression. Overall, a possible explanation of our divergent findings between conscious and automatic fear may be the difference between the instinctual biological response to threat versus the cognitive and emotional appraisal and experience of threat. Implications for intervention strategies targeting emotional recognition and regulation in reducing aggression in CD populations are discussed. Full article
Show Figures

Figure 1

12 pages, 777 KB  
Article
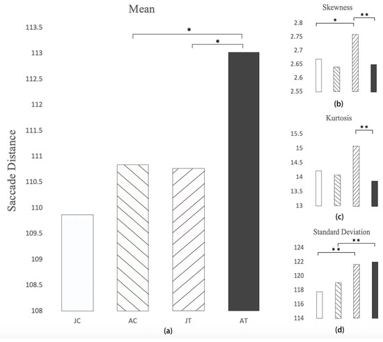
Cultural Influences on Saccadic Patterns in Facial Perception: A Comparative Study of American and Japanese Real and Animated Faces
by Zhi-Lin Chen and Kang-Ming Chang
Appl. Sci. 2023, 13(19), 11018; https://doi.org/10.3390/app131911018 - 6 Oct 2023
Cited by 2 | Viewed by 2293
Abstract
This study investigated the influence of saccadic eye movements and emotions on real and animated faces to enhance a detailed perception of facial information. Considering the cross-cultural differences in facial features, animated faces also influence visual preferences due to their unique visual appeal. [...] Read more.
This study investigated the influence of saccadic eye movements and emotions on real and animated faces to enhance a detailed perception of facial information. Considering the cross-cultural differences in facial features, animated faces also influence visual preferences due to their unique visual appeal. Since there are differences in facial features across cultures, animated faces can also impact visual preferences due to their unique visual appeal. This study involved 60 participants and utilized four stimulus conditions, including real and animated faces from America and Japan. A five-point Likert scale was employed to measure participants’ subjective emotional pleasure and arousal levels, while eye-tracking equipment was used to analyze participants’ saccadic eye movements. The results revealed that, in comparison to Japanese real faces (JT), American real faces (AT) exhibited significantly greater average saccadic distances (AT: 113.03 ± 46.26, JT: 110.78 ± 45.55, p < 0.05). However, there was no statistically significant difference in the average saccadic distance between Japanese and American animated faces (109.88 ± 45.73 and 110.85 ± 45.31, respectively). Additionally, evaluating the mediating role of pleasure and arousal levels among these facial stimuli did not impact saccadic behavior. Our observations suggest that cultural factors wield a pronounced impact on saccadic behavior within real-life scenarios. However, these cultural nuances appear to attenuate in virtual and abstract animated environments. This study’s findings shed new light on the dynamic relationship between saccadic eye movements, emotions, and cultural dimensions, unraveling complexities in facial perception across diverse cultural landscapes. The implications of our research extend to animation, serving as a catalyst for further exploration in this burgeoning field. Full article
Show Figures

Figure 1

10 pages, 654 KB  
Article
A Validation Study for the German Versions of the Feeling Scale and the Felt Arousal Scale for a Progressive Muscle Relaxation Exercise
by Kristin Thorenz, Andre Berwinkel and Matthias Weigelt
Behav. Sci. 2023, 13(7), 523; https://doi.org/10.3390/bs13070523 - 22 Jun 2023
Cited by 6 | Viewed by 3549
Abstract
The aim of the present study is to prove the construct validity of the German versions of the Feeling Scale (FS) and the Felt Arousal Scale (FAS) for a progressive muscle relaxation (PMR) exercise. A total of 228 sport science students conducted the [...] Read more.
The aim of the present study is to prove the construct validity of the German versions of the Feeling Scale (FS) and the Felt Arousal Scale (FAS) for a progressive muscle relaxation (PMR) exercise. A total of 228 sport science students conducted the PMR exercise for 45 min and completed the FS, the FAS, and the Self-Assessment Manikin (SAM) in a pre-test–post-test design. A significant decrease in arousal (t(227) = 8.296, p < 0.001) and a significant increase in pleasure (t(227) = 4.748, p < 0.001) were observed. For convergent validity, the correlations between the FS and the subscale SAM-P for the valence dimension (r = 0.67, p < 0.001) and between the FAS and the subscale SAM-A for the arousal dimension (r = 0.31, p < 0.001) were significant. For discriminant validity, the correlations between different constructs (FS and SAM-A, FAS and SAM-P) were not significant, whereas the discriminant analysis between the FS and the FAS revealed a negative significant correlation (r = −0.15, p < 0.001). Together, the pattern of results confirms the use of the German versions of the FS and the FAS to measure the affective response for a PMR exercise. Full article
(This article belongs to the Section Health Psychology)
Show Figures

Figure 1

Back to TopTop